模电想必是电子专业的学生头疼的一门课程了。
小编用一句话形容一下:
"老师说第一遍不懂,第二遍还是不懂,第三遍还是不懂。"
网友们是这么看模电的:
*老师自己都不懂,还来教,更是不懂了,天书般难懂。
*模电=魔电
*本科模电就够痛苦了,研究生的高阶模电简直是欲仙欲死。
*二极管、三极管、MOS带入门;运放、震荡电路、斩波电路显神通。
*课堂上老师讲的都会了 课后又都不会了。
*模电学起来不算难,应付考试也简单,刚开始用起来觉得有点难,用的时间长了,感觉越来越难。
……

难归难,但是不懂模电?你好意思说你是电工么?
不知道下面这些知识点的也别说你学好了模电。
1.在常温下,硅二极管的门槛电压约为0.5V,导通后在较大电流下的正向压降约为0.7V;锗二极管的门槛电压约为0.1V,导通后在较大电流下的正向压降约为0.2V。
2、二极管的正向电阻小;反向电阻大。
3、二极管的最主要特性是单向导电性。PN结外加正向电压时,扩散电流大于漂移电流,耗尽层变窄。
4、二极管最主要的电特性是单向导电性,稳压二极管在使用时,稳压二极管与负载并联,稳压二极管与输入电源之间必须加入一个电阻。
5、电子技术分为模拟电子技术和数字电子技术两大部分,其中研究在平滑、连续变化的电压或电流信号下工作的电子电路及其技术,称为模拟电子技术。
6、PN结反向偏置时,PN结的内电场增强。PN具有具有单向导电特性。
7、硅二极管导通后,其管压降是恒定的,且不随电流而改变,典型值为0.7伏;其门坎电压Vth约为0.5伏。
8、二极管正向偏置时,其正向导通电流由多数载流子的扩散运动形成。
9、P型半导体的多子为空穴、N型半导体的多子为自由电子、本征半导体的载流子为电子—空穴对。
10、因掺入杂质性质不同,杂质半导体可为空穴(P)半导体和电子(N)半导体两大类。
11、二极管的最主要特性是单向导电性,它的两个主要参数是反映正向特性的 最大整流电流和反映反向特性的反向击穿电压。
12、在常温下,硅二极管的开启电压约为0.5 V,导通后在较大电流下的正向压降约为0.7V。
13、频率响应是指在输入正弦信号的情况下,输出随频率连续变化的稳态响应。
15、N型半导体中的多数载流子是电子,少数载流子是空穴。
16、按一个周期内一只三极管的导通角区分,功率放大电路可分为甲类、乙类、 甲乙类三种基本类型。
17、在阻容耦合多级放大电路中,影响低频信号放大的是耦合和旁路电容,影响高频信号放大的是结电容。
18、在NPN三极管组成的基本共射放大电路中,如果电路的其它参数不变,三极管的β增加,则IBQ增大,ICQ增大,UCEQ减小。
19、三极管的三个工作区域是截止,饱和,放大。集成运算放大器是一种采用直接耦合方式的放大电路。
20、某放大电路中的三极管,在工作状态中测得它的管脚电压Va = 1.2V, Vb = 0.5V, Vc = 3.6V, 试问该三极管是硅管管(材料),NPN型的三极管,该管的集电极是a、b、c中的C。
21、已知某两级放大电路中第一、第二级的对数增益分别为60dB和20dB, 则该放大电路总的对数增益为80dB,总的电压放大倍数为10000。
22、 三极管实现放大作用的外部条件是:发射结正偏、集电结反偏。某放大电路中的三极管,测得管脚电压Va = -1V,Vb =-3.2V, Vc =-3.9V, 这是硅管(硅、锗),NPN型,集电极管脚是a。
23、三种不同耦合方式的放大电路分别为:阻容(RC)耦合、直接耦合和变压器耦合,其中直接耦合能够放大缓慢变化的信号。
24、在多级放大电路中,后级的输入电阻是前级的负载,而前级的输出电阻可视为后级的信号源的内阻。多级放大电路总的通频带比其中每一级的通频带要窄。
25、某放大电路在负载开路时的输出电压为4V,接入12kΩ的负载电阻后,输出电压降为3V,这说明放大电路的输出电阻为4kΩ。
26、为了保证三极管工作在放大区,要求:
①发射结正向偏置,集电结反向偏置。②对于NPN型三极管,应使VBC<0。
27、放大器级间耦合方式主要有阻容(RC)耦合、直接耦合和变压器耦合三大类。
28、在三极管组成的三种不同组态的放大电路中,共射和共基组态有电压放大作用,共射组态有电流放大作用,共射和共集组态有倒相作用;共集组态带负载能力强,共集组态向信号源索取的电流小,共基组态的频率响应好。
29、三极管放大电路的三种基本组态是共集、共基、共射。
30、多级放大器各级之间的耦合连接方式一般情况下有直接耦合,阻容耦合,变压器耦合。
31、在单级共射放大电路中,如果输入为正弦波形,用示波器观察VO和VI的波形,则VO和VI的相位差为180°;当为共集电极电路时,则VO和VI的相位差为0。
32、放大器有两种不同性质的失真,分别是饱和失真和截止失真。
33、晶体管工作在饱和区时,发射结正偏,集电结正偏;工作在放大区时,集电结反偏,发射结正偏。
34、在共射、共集和共基三种放大电路组态中,希望电压放大倍数大、输出电压与输入电压反相,可选用共射组态;希望输入电阻大、输出电压与输入电压同相,可选用共集组态。
35、场效应管同双极型三极管相比,其输入电阻大,热稳定性好。
36、影响放大电路通频带下限频率fL的是隔直电容和极间电容。
37、三极管工作在放大区时,它的发射结保持正向偏置,集电结保持反向偏置。
38、场效应管有共源、共栅、共漏三种组态。
39、在多级放大电路中总的通频带比其中每一级的通频带窄。
40、场效应管从结构上分成结型FET和MOSFET两大类型,它属于电压控制型器件。
41、场效应管属于电压控制电流型器件,而双极型半导体三极管则可以认为是 电流控制电流型器件。
42、场效应管是电压控制电流器件,只依靠多数载流子导电。
43、根据场效应管的输出特性,其工作情况可以分为可变电阻区、恒流区、击穿区和截止区四个区域。
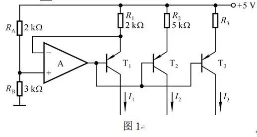
44、当栅源电压等于零时,增强型FET无导电沟道,结型FET的沟道电阻最小。
45、FET是电压控制器件,BJT是电流控制器件。
46、在甲类、乙类和甲乙类功率放大电路中,效率最低的电路为甲类。
47、一个输出功率为10W的扩音机电路,若用乙类推挽功放,则应选额定功耗至少应为2W的功率管2只。
48、在甲类、乙类和甲乙类功率放大电路中,效率最低的电路为甲类,为了消除交越失真常采用甲乙类电路。
49、乙类功放的主要优点是效率高,但出现交越失真,克服交越失真的方法是 采用甲乙类。
50、乙类互补对称功率放大电路产生特有的失真现象叫交越失真。
51、双电源互补对称功率放大电路(OCL)中VCC=8v,RL=8Ω,电路的最大输出功率为4W,此时应选用最大功耗大于0.8W功率管。
52、差动放大电路中的长尾电阻Re或恒流管的作用是引人一个共模负反馈。
53、已知某差动放大电路Ad=100、KCMR=60dB,则其AC=0.1。集成电路运算放大器一般由差分输入级、中间级、输出级、偏置电路四部分组成。
54、差分式放大电路能放大直流和交流信号,它对差模信号具有放大能力,它对 共模信号具有抑制能力。
55、差动放大电路能够抑制零漂和共模输入信号。
56、电路如图1所示,T1、T2和T3的特性完全相同,则I2≈0.4mA,I3≈0.2mA,则R3≈10kΩ。

57、集成运放通常由输入级、中间级;输出级、偏置级四个部分组成。
58、正反馈是指反馈信号增强净输入信号;负反馈是指反馈信号减弱净输入信号。
59、电流并联负反馈能稳定电路的输出电流,同时使输入电阻减小。
60、负反馈对放大电路性能的改善体现在:提高增益的稳定性、减小非线性失真、抑制反馈环内噪声、扩展频带、改变输入电阻和输出电阻。
61、为了分别达到下列要求,应引人何种类型的反馈:
①降低电路对信号源索取的电流:串联负反馈。
②当环境温度变化或换用不同值的三极管时,要求放大电路的静态工作点保持稳定:直流负反馈。
③稳定输出电流:电流负反馈。
62、电压串联负反馈能稳定电路的输出电压,同时使输入电阻大。
63、某负反馈放大电路的开环放大倍数A=100000,反馈系数F=0.01,则闭环放大倍数

100。64、负反馈放大电路产生自激振荡的条件是

。
65、负反馈放大电路的四种基本类型是电压串联、电压并联、电流串联、电流并联。
66、为稳定电路的输出信号,电路应采用负反馈。为了产生一个正弦波信号,电路应采用正反馈。
67、理想集成运算放大器的理想化条件是

68、理想运算放大器的理想化条件中有

69、电流源电路的特点是,直流等效电阻小,交流等效电阻大。
70、电流源的特点是输出电流恒定,直流等效电阻小,交流等效电阻大。
71、工作在线性区的理想集成运放有两条重要结论是虚断和虚短。
72、理想运算放大器,

73、在构成电压比较器时集成运放工作在开环或正反馈状态。
74、如果有用信号频率高于1000Hz, 可选用高通滤波器;如果希望500 Hz以下的有用信号,可选用低通滤波器。
75、选取频率高于1000Hz的信号时, 可选用高通滤波器;抑制50 Hz的交流干扰时,可选用带阻滤波器;如果希望抑制500 Hz以下的信号,可选用高通 滤波器。
76、有用信号频率高于1000Hz, 可选用高通滤波器;希望抑制50Hz的交流电源干扰,可选用带阻滤波器;如果希望只通过500Hz到1kHz的有用信号,可选用带通滤波器。
77、根据工作信号频率范围滤波器可以分为:低通滤波器、高通滤波器、带通滤波器及带阻滤波器。
78、集成运算放大器在线性状态和理想工作条件下,得出两个重要结论,它们是: 虚断和虚短。
79、通用型集成运算放输入级大多采用差分放大电路, 输出级大多采用共集 电路。
80、正弦波振荡电路是由放大电路、反馈网络、选频网络、稳幅环节四个部分组成。
81、正弦波振荡电路产生振荡时,幅度平衡条件为

,相位平衡条件为

82、信号发生器原理是在电路负反馈时

,例如自激电路。在正反馈时

,例如文氏振荡电路。
83、石英晶体振荡器是LC振荡电路的特殊形式,因而振荡频率具有很高的稳定性。
84、正弦波振荡电路利用正反馈产生振荡的条件是

、其中相位平衡条件是

,n为整数 、为使电路起振,幅值条件是

。
85、正弦波振荡电路必须由放大电路、反馈网络、选频网络、稳幅环节 四部分组成。
86、RC正弦波振荡电路达到稳定平衡状态时有:

87、正弦波自激振荡电路振荡的平衡条件是

n为整数 。
88、正弦波振荡电路起振的条件是

n为整数。89、有用信号频率高于1000Hz, 可选用高通滤波器。文氏电桥振荡器中的放大电路电压放大倍数

,才能满足起振条件。
90、为了稳定电路的输出信号,电路应采用交流负反馈。为了产生一个正弦波信号,电路应采用正反馈。
91、直流电源是将电网电压的交流电转换成直流电的能量转换电路。
92、三端集成稳压器7805输出电压+5V,7915输出电压-15V。
93、直流电源一般由下列四部分组成,他们分别为:电源变压器、滤波电路、稳压电路和整流电路。稳压集成电路W7810输出电压+10 V。
94、将交流电变换成脉动直流电的电路称为整流电路;半波整流电路输出的直流电压平均值等于输入的交流电压(即变压器副边电压)有效值的0.45倍;全波整流电路输出的直流电压平均值等于输入的交流电压(即变压器副边电压)有效值的0.9倍。
95、三端集成稳压器7915的输出电压为-15伏。
96、串联型稳压电路中的放大环节所放大的对象是输出取样电压。
97、开关型直流电源比线性直流电源效率高的原因是调整管的的状态不同。
98、小功率稳压电源一般由电源变压器、整流电路、滤波器、稳压电路等四部分构成。
99、幅度失真和相位失真总称为频率失真。
100、串联反馈式稳压电路由调整管、比较放大、基准电压、取样环节四部分组成。
本文转载自网络,如涉版权请联系我们删除
看完本文有收获?请分享给更多人
回复关键词有干货:电路设计丨电容丨三极管丨PCB丨接地‧‧‧‧‧‧
长按二维码识别关注
阅读原文可一键关注+历史信息