关于慢阻肺病、支扩及慢阻肺支扩重叠综合征的气道微生物研究是目前非常热点的话题,过去肠道微生态学被更多关注,而呼吸道相关的研究比较少。今天我们就围绕肺部是否存在微生物组、慢阻肺病及支扩肺部微生物组的变化、慢阻肺支扩重叠综合征与肺微生物组相关研究、总结与展望等方向来展开。
一、肺部是否存在微生物组
微生物组也是一个跨专业话题,从概念来说,如下图,人体微生态学的研究对象为微生物群(microbiota)或微生物组(microbiome),范畴包括微生物群(组)的特征及其与宿主的相互作用关系。其中「微生物组」是特定时间特定生境中微生物群所包含的基因序列(含同源序列)的总和,和微生物群两者不完全对应。

图:人体微生态学、微生物群和微生物组示意图(A微生态学;B微生物群;C微生物组)
此前对肠道微生物的相关研究比较多,那么肺部到底存不存在微生物组呢?
为研究正常人群的微生物组情况,2007年美国国立卫生研究院启动了人类微生物组计划(Human Microbiome Project, HMP),对300例健康人群的18个身体部位的110000样本进行了测序。需要注意的是,由于假设健康人肺是无菌的,所以下呼吸道未被包括在该项研究中(过去,由于菌群检测技术水平有限,下呼吸道合格标本很难获得,即使获得合格标本也很难体外培养成功,或者即使从痰液标本中培养出微生物,也无法排除口咽部污染的原因,所以学界曾一致认为健康状态下的肺是一个无菌的器官)。
其实,随着新一代高通量测序技术发展,可以快速对人体大量微生物基因进行测序和分类,证实健康人群下呼吸道中存在微生物组。在一些研究中,我们可以发现微生物群和宿主具有共进化、共发育、共代谢、互调节的相互作用,研究发现微生物组或微生物群也影响了宿主的免疫。
2010年,Hilty等运用16S rRNA测序技术对肺部微生物菌群的研究[1](其中包括5例慢阻肺病患者,11例哮喘患者以及8例健康对照),首次发现了下呼吸道微生物组的存在,不同气道水平菌群分布和菌属丰度情况:鼻标本极为显著的特点是放线菌门(尤其是棒状杆菌属)和厚壁菌门(尤其是葡萄球菌属)较多;口咽部最常见的菌群为拟杆菌门(特别是普氏菌属);左上肺叶标本中嗜血杆菌属最为常见,因此慢阻肺患者容易发生流感嗜血杆菌感染。

二、慢阻肺病肺部微生物组的变化
1、慢阻肺病患者稳定期肺部微生物组的变化
Robert P Dickson的一项研究[2]显示,健康人群肺部微生物组中,最常见的菌门是拟杆菌门(普氏菌属、拟杆菌属)、厚壁菌门(韦永世球菌属、链球菌属、葡萄球菌属)和变形菌门(假单胞菌属、嗜血杆菌属、莫拉氏菌属、奈瑟氏菌属、不动杆菌属、埃希氏杆菌属)。
刚刚提到的Hilty M研究中[1],Hilty M等应用16S rRNA PCR技术,通过支气管镜检比较了慢阻肺病、哮喘和健康人群支气管刷片的微生物组,结果显示:慢阻肺病、哮喘和健康人群微生物组分布不同;与健康人群相比,慢阻肺病患者变形菌门相对丰度增加,尤其是嗜血杆菌属明显增加,而拟杆菌门,尤其是普氏菌属相对丰度降低。

在另一项研究中,Sze等收集了行外科手术者肺泡组织样本[3],分析发现慢阻肺病患者与吸烟对照组、非吸烟对照组相比,慢阻肺病患者厚壁菌门丰度增加并以乳酸菌属增加为主,而拟杆菌门及变形菌门变化不大。

Erb-Downward等对3名肺活量正常的不吸烟者、7名肺活量正常的吸烟者和4名慢阻肺病患者进行了BAL[4](所有受试者均检测到细菌16s序列,各组间无明显数量差异),肺功能较差的患者其肺部菌群的多样性往往较低,假单胞菌属与这种变化密切相关。

Cabrera-Rubio等分析了8 例慢阻肺病患者的4 种不同样本,包括痰、气管抽吸液、BALF和气道黏膜组织,同样发现常见的4大菌门(厚壁菌门、拟杆菌门、变形菌门和放线菌门)和7大菌属;同时,他们也发现BALF和气道黏膜组织菌群结构相似,但上呼吸道获取的样本(痰和气管抽吸物)菌群多样性降低,拟杆菌门和厚壁菌门占主导地位、下呼吸道获取的样本(BALF 和气道黏膜组)具有更多的菌群多样性。[2,5]

Erb-Downward JR等对2个重度慢阻肺病患者移植肺组织的不同部位进行9种菌群分析,研究结果表明,各部位菌群差异具有统计学意义[4]。最引人注目的是,在患有慢性阻塞性肺病的患者中,同一肺内的细菌群落存在显著的微观解剖差异。

随着慢阻肺疾病严重程度增加,肺部微生物组多样性减少,还有研究认为放线菌门与慢阻肺病患者严重程度之间的变化最为显著,放线菌门多见于中度患者,而在重度患者较少观察到(P<0.01)。[6,7]

2、药物治疗与慢阻肺病肺微生物组
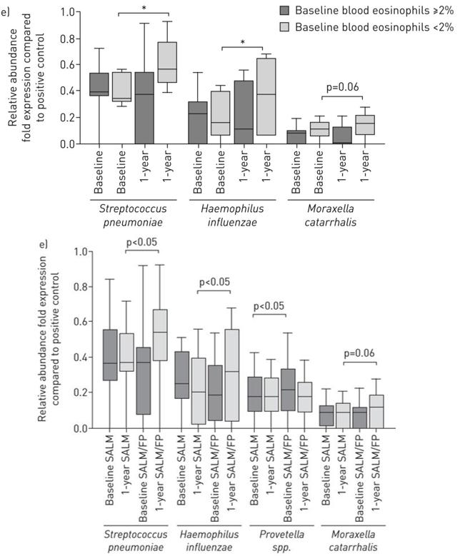
在长期吸入皮质类固醇(ICS)患者中观察到变形杆菌属(嗜血杆菌属和链球菌属)增加,特别是在血嗜酸性粒细胞低(<2%)的患者中;而在使用长效 β 2受体激动剂(LABAs)单药治疗的患者中观察到拟杆菌属(普雷沃氏菌属)增加。[8]

3、慢阻肺病急性加重肺部微生物组的变化
Molyneaux等收集了慢阻肺病患者稳定期和急性加重期患者痰液样本,分析后发现病毒感染后,呼吸道中的细菌菌群负荷显著增加,其中流感嗜血杆菌的比例显着增长,菌群向变形菌门转变,这也解释了慢阻肺病患者急性加重期假单胞菌属丰度增加。[9]

图:(A)B鼻病毒感染前,COPD组与对照组两组间细菌载量无差异;(B and C)鼻病毒感染后15天,两组间细菌载量存在显著差异;(D)感染后15天,16S rRNA的细菌拷贝数与痰液炎性细胞、中性粒细胞、痰中性粒细胞弹性蛋白酶的水平存在正相关关系(斯皮尔曼等级相关的)。

图:(A)对照组中,与基线相比在鼻病毒(RV)感染后没有观察到任何一个菌门变化。(B)COPD组在RV后的第15天,变形杆菌的数量较基线有显著增加,菌群向变形菌门转变。
Millares等通过比较同一慢阻肺病患者稳定期和急性加重期痰液标本,发现假单胞菌属、嗜血杆菌属及莫拉氏菌属在急性加重期相对丰度是增加的[9]:

这项研究[10]认为急性加重期莫拉菌属(属于变形杆菌门)显著增加(下图上),一部分经抗生素治疗后好转的患者表现为变形杆菌门丰度下降,与此相反的是经皮质类固醇治疗后好转的患者却表现为变形杆菌门的丰度上升(下图下)。


这两项研究认为,慢阻肺病稳定期微生物组未发生明显变化[6,11],慢阻肺病急性加重初期,未观察到微生物组丰度、均匀度和多样性改变。然而,在分类组成上观察到显著变化,变形菌门增加;放线菌属、梭菌属等减少。

Huang YJ等发现:当急性加重患者流感嗜血杆菌数量增加,在菌群分类系谱树与其相近的细菌也会增加,而距离较远的细菌则会下降——说明细菌与细菌之间也有相互作用,慢阻肺病急性加重受到多种细菌影响。流感嗜血杆菌(变形菌门)数量增加,变形菌门里多种细菌数量也会随之增加,而与变形菌门相隔较远的门类数量则会减少[11]。

慢阻肺病急性加重最常见的表型是「细菌」和「嗜酸性」。通常认为「细菌表型」增加变形菌门、「嗜酸性表型」增加厚壁菌门。细菌和嗜酸性表型之间的差异最为明显,组成成分不同;尤其是与嗜酸性表型相比,细菌表型菌群多样性和厚壁菌门显著减少,变形菌门增加。[10]

4、肺部微生物组参与COPD发病机制
微生物组在免疫系统的构成和完整性中具有重要作用;如果某种细菌在健康免疫系统中发展成为优势菌种,肺部微生物组的改变将导致疾病发生[12]。如下图可见,宿主和肺部微生物群之间的相互作用是一个微妙的平衡,如果一些有害因素影响自身免疫系统,使得肺部微生物组改变产生炎症以及定植细胞激活导致COPD急性加重。

这是一个示意图,为恶性循环假说(Vicious circle hypothesis),用以解释吸烟者慢性下呼吸道细菌定植如何引起持续性的慢性炎症并引起吸烟相关性肺病的机制[13]:

该假说的核心在于提出,一旦病原体因吸入烟雾、颗粒引起的黏膜纤毛清除功能障碍而在下呼吸道中定植,那么将会进一步损害黏膜纤毛的清除功能,同时也导致黏液生成增加、损伤气道上皮、下调 IgA 水平、影响吞噬细胞的吞噬功能。细菌有关产物和细菌导致的上皮损伤均会损害宿主的免疫力,进一步使得微生物进入下呼吸道,并最终导致持续的慢性炎症和肺部微生物定植。最终,这个无止境的循环被称为恶性循环。
炎症为某些细菌提供有利的生存的环境,细菌则又诱导了更强的免疫炎症,形成正反馈导致炎症持续存在,而持续的慢性炎症肯定也参与了COPD疾病的发生发展。
从吸烟者以及存在菌群定植患者的下呼吸道中经常分离出流感嗜血杆菌、卡他莫拉菌、肺炎链球菌和铜绿假单胞菌,而在慢阻肺病急性发作期间分离出的病原菌最常见的是流感嗜血杆菌。
实际上,人体有个「肠-肺轴」的调节,肠道菌群微生态是机体内环境稳定的重要保障因素,肠道菌群在调节机体免疫中发挥了重要的作用,而肺作为全身血液的重要滤过器官,难免会受到肠道作用的影响,例如,大气中的 PM 一方面通过呼吸道黏膜纤毛运输迅速从肺部清除而进入肠道,另一方面 PM 还能够通过污染我们的食物和水源的方式直接进入我们的肠道。

5、肺部微生物组与慢阻肺病不同炎症类型的关系
Wang Z等探究了气道微生物组与慢阻肺病炎症类型的关系,发现嗜中性粒细胞性慢阻肺病的气道微生物群是具有异质性的[14]。下图为四种菌落类型在中性、嗜酸性(Eosino)、混合和少粒细胞(Pauci)亚群中的分布:

根据嗜血杆菌的优势分为有两种主要的群落亚型:一组是以嗜血杆菌为主的中性粒细胞(嗜血杆菌)组(Neultro H);另一组的中性粒细胞亚群具有平衡的微生物群中性粒细胞(平衡组)(Neultro B)。


图:(A)气道微生物组富含于中性粒细胞(嗜血杆菌)组(Neultro H)、中性粒细胞(平衡组)(Neultro B)和嗜酸性粒细胞组;(B)各亚群中的优势微生物
三、支扩肺部微生物组的变化
支气管扩张症患者常出现咳嗽和反复呼吸道感染,并出现肺部症状恶化,常需要进行抗菌治疗;病程中表现为慢性、不可逆的支气管扩张与弹性蛋白降解,进一步「容易导致微生物定植」;慢性反复使用抗菌药物治疗可能进一步影响患者气道中的微生物稳态,破坏现有的微生物相互作用网络,增加「微生物群耐药性」。

图:与支扩患者咳嗽症状相关的因素包括微生物
1、支气管扩张常见微生物组
一项研究BLESS队列纳入84名支扩患者的口咽拭子,其中链球菌、普氏菌属、韦荣氏菌属、罗氏菌属和放线菌属为口咽部优势属。口腔微生物群的丰富度和多样性在长期使用低剂量红霉素(48W)的情况下保持稳定。[15]

图:支气管扩张患者的口咽微生物群落
还有一项研究,Sang等人纳入63名支扩患者的前瞻性研究发现:支扩患者痰液标本中主要属包括嗜血杆菌属、假单胞菌属、韦荣氏菌属和链球菌属。嗜血杆菌是研究中最常见的属,其相对丰度在轻度支气管扩张组中较高,而假单胞菌在中度/重度支气管扩张组中的相对丰度显着较高[16]。
这也非常符合临床实际,我们遇到的重度支气管扩张患者往往有铜绿假单胞菌的定植,因为患者存在了结构性的毁损。

图:支气管扩张患者的痰微生物群落
2、支扩微生物组与疾病进展
支扩微生物组与疾病进展是密切相关的,健康气道和支气管扩张的微生物组不同。
|
微生物 |
表型 |
免疫反应 |
|
|
共生 |
缓症链球菌 |
保护小鼠免受 肺炎链球菌 攻击 |
小鼠模型中增加Th17炎症表型;抗原对肺炎链球菌有潜在交叉反应性 |
|
产黑素普雷沃菌 |
|||
|
小韦荣氏球菌 |
|||
|
酵母菌属 |
健康受试者的丰度高于支气管扩张组 |
未知 |
|
|
致病 |
铜绿假单胞菌 |
易恶化,降低FEV1,加重疾病严重程度 |
CRP, IL-8, 和 IL-1β. |
|
流感嗜血杆菌 |
易恶化,降低FEV1,加重疾病严重程度 |
CRP、IL-8 和 IL-1β + MMP-2 和 MMP-8 |
|
|
韦荣氏球菌属 |
与恶化风险相关 |
未知 |
|
|
曲霉菌属 |
易恶化,降低FEV1,加重疾病严重程度 |
致敏并增加 IL1β 和 TNFα |
|
|
念珠菌属 |
老年受试者和支气管扩张患者的丰度增加 |
TNFα 和IFNγ |
|
|
隐球菌属 |
支气管扩张症患病率增加 |
未知 |
|

图:正常人与支气管扩张患者的肺微生物群落
健康的微生物组由已知的共生微生物组成(上图绿色) ,在正常生理情况下被认为是良性或有益的。相反,支气管扩张气道被明显致病的类群(上图红色)所支配,每个类群都与不良的临床结果相关。较高的微生物(细菌、病毒和真菌)负荷,会引发解剖学改变和免疫失调[17]。
3、支气管扩张与真菌微生物组
CAMEB研究纳入了来自英国苏格兰、新加坡、马来西亚三处的支扩患者。念珠菌属、酵母菌属和青霉属是正常人群与支扩人群中最常检测到的属;支气管扩张特异性菌属包括曲霉属、隐球菌属、棒孢属、葡萄孢属和链格孢属。

其实我们在临床中遇到的支扩患者中,曲霉菌属以烟曲霉和土曲霉为主。相比无真菌或单烟曲霉菌感染,土曲霉和两种菌群共同感染的患者恶化情况更多。亚洲患者多患有烟曲霉和/或土曲霉,而来自英国患者土曲霉占比更高,提示地理位置、气温适度、生活治疗习惯对微生物群的影响[18]。

图:曲霉菌感染的患者一年内出现恶化的组内中位数更高
需要注意不同生物样本对微生物群也存在影响,口腔、痰液、灌洗液、肺组织的主要菌群是不同的。[19]
四、慢阻肺支扩重叠综合征与肺微生物组
目前对于慢阻肺-支扩重叠综合征 (bronchiectasis-COPD overlap,BCO)的定义尚不明确,影像学诊断较困难。AERIS 研究组在慢阻肺病患者队列中发现合并支扩的患者痰液样本中「嗜血杆菌属」占优势,但并不会影响病情恶化。[20]

Jeffrey T-J Huang等利用16S rRNA扩增子测序和无标签蛋白质组学方法,对BCO、COPD、支气管扩张患者队列进行了痰液微生物组研究发现,BCO患者的变形菌门丰度更高。同时,该研究根据炎症、黏蛋白和微生物特征,将慢阻肺病、支气管扩张和BCO患者分为了5个内型,其中「感染与上皮反应」型和变形菌型可能对应BCO[21]。

图:5种内型,其中BCO的发生与「感染与上皮反应」型和变形菌型相关
Nowiński A等人搜集了慢阻肺病合并或不合并支气管扩张患者的气道微生物标本,发现分离出的铜绿假单胞杆菌比例最高[22]。研究中所有受试者都进行了痰液检查,慢阻肺组培养阳性率为30%,慢阻肺合并支气管扩张组培养阳性率则高达46%,虽然由于患者数量有限,数据无统计学差异,但是该试验结果依旧值得注意。

在实际工作中,我们发现慢阻肺患者中,细菌负荷越高,越容易出现感染,越容易出现急性加重。
在另一项研究里,Sibel等人对COPD加重期合并支气管扩张患者进行微生物学研究发现与不合并支气管扩张患者相比,BCO患者痰培养阳性率更高(24.7% vs 55.8%,P<0.001)、铜绿假单胞菌阳性率更高(OR=4.5,p=0.02)。该研究表明慢阻肺加重期合并支气管扩张患者有更高的细菌负荷和痰培养阳性率[23]。
在「真菌微生物组」方面,Pei Yee Tiew等纳入280名患者的研究显示:同单纯COPD组和单纯支气管扩张组患者相比,BCO的发生与感染变应性支气管肺曲霉菌(ABPA)显著相关[24]。

图:(A)同单纯支气管扩张患者相比,BCO与ABPA感染显著相关(OR 3.85; 95% CI: 1.58 - 9.4; p=0.003);(B)同单纯COPD患者相比,BCO与ABPA感染显著相关(OR 10.68; 95% CI: 1.07 - 107.1; p=0.044)
总体来说,BCO作为慢阻肺病的一种独特的表型,通常预后较差,病原微生物慢性感染往往会引起症状频繁急性加重。目前还需要更多的研究来证实微生物群对BCO临床表现与预后的影响,并为制定个性化的治疗方案提供理论支持。
五、总结与展望
通过二代测序,可以了解慢阻肺病和支气管扩张患者间不同的微生物菌属分布,这些差别可能影响疾病的进展与预后。
微生物在慢阻肺病和支气管扩张的发病机制和进展中起重要作用,特别是「嗜血杆菌和假单胞菌」。微生物失调可能与宿主免疫和炎症反应的激活有关,进一步导致疾病恶化。通过包含细菌组、微生物组和病毒组的微生物相互作用网络和多生物组分析,可能有助于预测疾病的异质性与进展预后[19]。

图:COPD、支气管扩张和支气管扩张-COPD 重叠 (BCO) 中的微生物组概况和临床结果
未来我们也面临一些思考 ,例如,1、下呼吸道微生物来自何处?是母体的羊水、阴道、口腔还是环境?2、肺部微生物群的改变是肺部疾病的原因还是结果?这是个先有鸡还是先有蛋的问题?3、肺部屏障和免疫功能谁决定?下呼吸道微生物群或远端上皮细胞?还是两者共同决定?4、合并症引起的微生物群结构变化是否会影响肺部疾病的预后和长期病理状态?5、呼吸道微生物群与免疫系统相互作用如何影响呼吸道「机会性病原体的侵袭性」?6、调节呼吸道微生物群的重新定植或影响其代谢物是否可用于治疗慢阻肺病、支气管哮喘等慢性肺部疾病?以上问题都是非常值得我们探讨的。
参考文献
[1]Hilty M, et al.PLoS ONE.2010;5(1): e8578.
[2]Robert P Dickson,et al.Expert Rev. Respir. Med. 2013,7(3): 245–257
[3]Sze MA. et al . Am J Respir Crit Care Med. 2015 Aug 15;192(4):438-45.
[4]Erb-Downward JR et al. PLoS One. 2011 Feb 22;6(2):e16384.
[5]Cabrera-Rubio R, et al. J Clin Microbiol, 2012, 50(11): 3562-3568.
[6]Mammen MJ,et al. Respirology. 2016 May;21(4)590-9.
[7]Galiana A,et al. Eur.Respir. J. 2014; 43: 1787–90.
[8]Contoli M, Pauletti A, Rossi MR, et al. Eur Respir J. 2017;50(4):1700451. Published 2017 Oct 5.
[9]Molyneaux PL, et al.. Am J Respir Crit Care Med. 2013 Nov 15;188(10):1224-31.
[10]Wang Z, et al. Eur Respir J. 2016 Apr;47(4):1082-92.
[11]Huang YJ, et al. J Clin Microbiol 2014;52:2813–2823..
[12]Gomez C,et al. Eur Respir J. 2016 Apr;47(4):1034-6.
[13]李乃健等. Chinese Journal of Respiratory and Critical Care Medicine, Mar. 2018, Vol. 17, No.2
[14]Wang Z, Locantore N, Haldar K, et al. Am J Respir Crit Care Med. 2021;203(12):1488-1502..
[15]Choo JM, Abell GCJ, Thomson R, et al. 2018;3(2):e00103-18. Published 2018 Apr 18.
[16]Lee SH, Lee Y, Park JS, et al 2018;7(11):429. Published 2018 Nov 9
[17]Mac Aogáin M, Chotirmall SH.. Clin Chest Med. 2022 Mar;43(1):23-34
[18]Mac Aogáin M, Chandrasekaran R, Lim AYH, et al.. Eur Respir J. 2018;52(1):1800766. Published 2018 Jul 27.
[19]Clin Respir J. 2021 Feb;15(2):123-133
[20]Mayhew D, Devos N, Lambert C, et al. Thorax. 2018;73(5):422-430
[21]Huang JT, Cant E, Keir HR, et al. Am J Respir Crit Care Med. 2022;206(4):417-426.
[22]Nowiński A, Korzybski D, Bednarek M, et al. Adv Respir Med. 2019;87(6):214-220.
[23]Sibel Atış Naycı, Eylem Sercan Ozgur, Gamze Çavusoglu Bozdoğan, et al. Eur Respir J. 2019 54: PA2689
[24]Tiew PY, Lim AYH, Keir HR, et al. Chest. 2022;161(1):40-53.
专家介绍

周敏
上海交通大学医学院附属瑞金医院;呼吸与危重医学科 主任医师,科副主任;博士生导师,正教授,法国居里研究所博士后;中华医学会呼吸病分会工作秘书,呼吸治疗学组副组长;中国医师协会呼吸分会慢阻肺委员会委员、政策委员会副主委;上海医学会呼吸病分会委员和慢阻肺学组副组长;上海女医师协会肺部肿瘤专委会副主任委员。
本文由《呼吸界》编辑 Jerry 整理、排版,感谢周敏教授的审阅修改!
* 文章仅供医疗卫生相关从业者阅读参考
本文完
责编:Jerry