初学微积分,最绕不过去的当然是导数了。我们试着百度了一下导数,得到下面的定义:
当自变量的增量趋于零时,因变量的增量与自变量的增量之商的极限。一个函数存在导数时,称这个函数可导或者可微分。
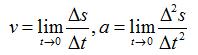
也有同学是从物理学角度了解微积分的,说对于一个s-t位移方程式,导数就是速度,二阶导数就是加速度。跟上面的定义差不多,都是极限值。

有同学总是习惯将微积分与“动态”、“极限”这样的字眼联系在一起,在脑海中烙下“结果极限近似”的误解。其实,很多时候我们只是用极限的方法去理解和证明它,结果不见得都是极限近似。比如微分集合与积分差就是曲线在不同空间维度上的互逆转换,它是完全等价的,导数也一样。
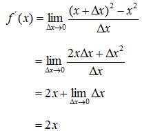
先看一个简单函数的求导数过程,以函数f(x)=x^2为例:

之所以说导数是极限近似的,是不是因为那个略去的无穷小Δx?
下面我们做一个不严谨的假定,假定0是可以被除的,重要的事情说三遍:假定!假定!假定!
在曲线y=x^2上取任一点对应x。

我们就停留在这个点上求导数,不论向左还是向右,它在平面坐标轴上的变化都为0,那么:

结果是不是一样的?连极限运算都不用了吧。
通过以“0可以被除”的假定为前提的求导过程,我们可以这样理解:
对于一段连续的函数曲线f(x,y)=0,可以把任一点的空间状态拿出来单独描述,这一描述就是导数f'(x),如果需要对这个点进行量化,就赋予它一个无穷小的自变量Δx,结果就是微分f'(x)Δx。导数f'(x)和微分f'(x)Δx是曲线上任一点的一体两面,一个用来描述状态,一个用来量化尺度。
当然,如果Δx不是无穷小,微分f'(x)Δx也可以量化曲线的变化尺度,我们后面再讲。
对f(x,y)=0,做一下补充说明。把y=x^2变换一下形式,得x^2-y=0,就得到f(x,y)=0,可知道它是一条曲线。如果f(x,y)≠0,x^2-y=z,再变换一下x^2-y-z=0,就得到f(x,y,z)=0,可知道它是一个曲面。依次类推,f(x,y,z,w)=0就是一个曲体,f(x,y,z,w,v)=0就是一个超曲体等等。
那么导函数是怎么回事呢?就像你观察一个原子内部,发现里面还藏着一个小宇宙一样,在一个曲线空间的点上,开拓一个新的曲线空间。求高阶导数呢,就是一层层嵌套的曲线空间,直至开拓出一个常数空间,导数才归0,不能继续向下开拓。

偏导数理解起来可能要难一点点,但道理是相同的,无论对曲面、曲体还是超曲体求导都是要压缩掉一个空间维度。
以对一个曲面f(x,y,z)=0求导为例,压缩掉一个空间维度就是要描述曲面上每一条曲线的空间状态。因为曲面有两个方向的自变量x和y,相当于取曲面上横竖垂直交叉的两条曲线,我们先视其中一个方向的自变量为常数,然后对这两条线分别求导。

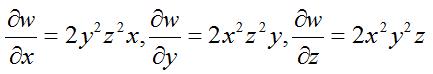
例如曲面函数z=x^2*y^2(它的曲面差不多相当于一个窄口高杯子),对其求偏导数得:

我们前面讲了,对曲线求导得到的是点的空间状态。但当x或y作为常数布满整个定义域区间时,这些点就连成一条线了,所以曲面函数的偏导数是对x,y两个方向上曲线的空间状态的描述。

于是,曲面函数的全微分的表述就要考虑为两个方向的微分之和:

如果再增加一个自变量,对一个曲体w=x^2*y^2*z^2求导,用图形就没法描述了,但求导方法是一样的:

它的全微分:
