各位同学们大家好,今天小任老师继续为23、24考研的同学带来考研专业的深度解析,其中包括专业基本目录、就业方向、院校排名以及考研影响核心因素,希望同学们多多留意。
今天为大家带来的是 天文学 专业的深度解析。

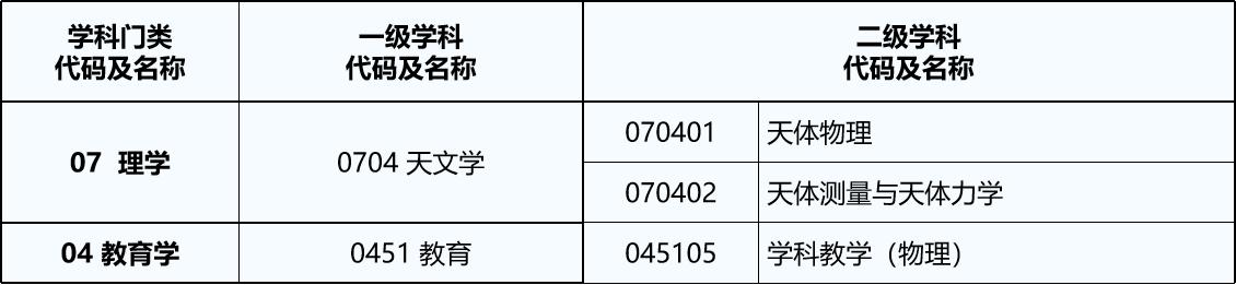
学科与专业目录

天文学专业就业方向
天文学专业就业方向:天文学专业培养具备良好的数学、物理和天文等方面的基本知识和基本能力,能在天文学及相关学科从事科研、群众科普、教学和技术工作的高级专门人才。
毕业后,天文学专业学生一般有两种选择:毕业生考研方向:有志于从事天文研究的学生,可以继续在国内攻读研究生,或者出国留学,将来献身于科学事业。毕业生就业方向:天文学是和航天、测地、国防等应用学科有交叉的学科,学生毕业后可在这些领域一展才华。
天文学专业院校排名

天文学专业院校难度梯队

热门院校天文学专业录取分析

*京大南**学2021年硕士研究生录取统计

上海交通大学2021年硕士研究生录取统计