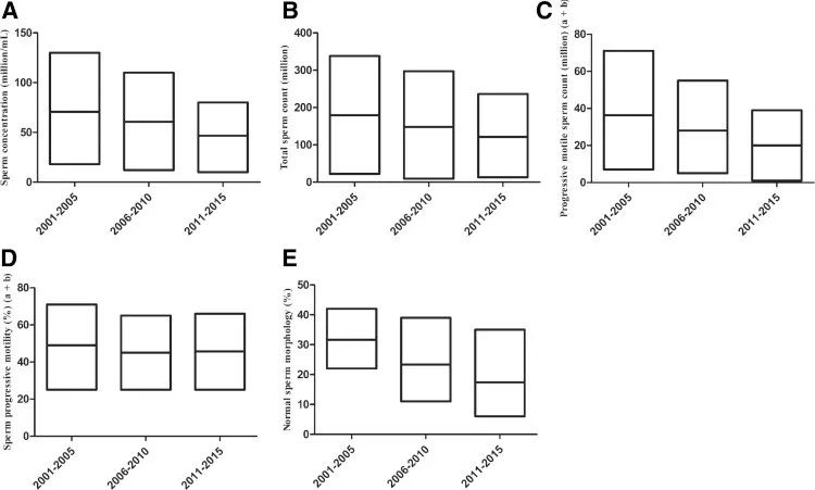
2017年1月,国内某精子库,对2001-2015年的30636名捐精志愿者的精液质量进行回顾分析。
发现过去15年间男性的精子浓度、活力和前向运动精子总数均呈下降趋势。

其中,湖南省捐献精子的青年男子中(比较自信的人群), 只有不到五分之一的男性精子合格 ,而在2001年的时候,还有一半以上合格。

当然,这种现象不仅在中国,全世界的男人,都越来越不行。
2017年11月,发表在Human Reproduction Update上的一项研究,汇集了1973-2011年近200项研究的结果后发现。
来自北美、欧洲、澳大利亚和新西兰的男性精子浓度下降了52.4%,总精子数量下降了59.3%。

而且,这种下降速度还在持续,甚至可能还会增加。
男人们为什么越来越不行了?
造成精子质量下滑的原因真的很多,正所谓,真正行的男人,都是相似的, 『不行的男人』各有各的原因 。
01.压力是罪魁祸首
中国男人的压力来自哪里?
- 高房价
2019年,北上深的平均房价接近6万,而这几个城市的平均薪资最高也就一万出头。买房,对很多人来说,太过奢侈。

- 择偶难
有人说,中国的房价逐年快速增长,丈母娘“功不可没”,有房有车成了很多女性择偶的标准之一,没钱没房,优先择偶权基本就丧失了。
- 养家难
即使国家全面开放二胎、三胎政策,仍有很多家庭选择不要二胎,更别说三胎。有人做过调查,大部分家庭养一个孩子的支出接近200万。
除此之外, 工作、婚姻、孝敬老人...... 经济压力几乎无处不在。

02
抽烟、喝酒、咖啡
吸烟者的的精子密度、活率、活力和正常形态率有一定程度的降低,大量长期吸烟者更为明显。况且*草烟**里面还含有78种致癌物,会对身体造成不良影响。
酒精对人体肝脏和男性*丸睾**更有直接的影响。过量饮用咖啡也会使精子向前运动规律降低,而且喝太多咖啡还会长胖(黑咖啡除外)~

03
熬夜
多位网友也曾在网上分享自己熬夜的危害:
@瑞
经常熬夜会丧失食欲,加上我自己还不太爱喝水。最后不仅肾虚肾炎,还尿血。
@不了吧
熬夜三年多,一年前突发性耳聋,现在我的左耳已经听不见了。
@我很爱玉米
我的闺蜜,熬夜四年,是护士,最后得癌症去世了。
@匿名
三个月没来大姨妈,检查出得了卵巢多囊症,差不多提前闭经,严重可能影响以后怀孕。
@谁在意我的微笑
长期熬夜造成了全血细胞减少,是血液病中比较严重的疾病。
尽管最近几年,熬夜猝死的新闻屡见不鲜,但依旧无法阻挡年轻人习惯于晚睡、熬夜的步伐。加班、学习、娱乐、失眠......不睡的理由各不相同,但一个不争的事实是,熬夜已成为很多人生活“新常态”。
熬夜一时爽,一直熬夜火葬场,熬夜的危害,我再来给大家重复第801遍:
01
对心血管系统的危害
心脑血管疾病的发生跟熬夜脱不了干系
猝死则跟心脑血管疾病有关
02
对消化系统的危害
熬夜就容易肚子饿
肚子饿了就要吃夜宵
长期不规律的进食
也是导致胃癌发生的原因之一
03
肥胖
宵夜,肠胃消化不良、代谢紊乱
都可以导致肥胖
04
免疫力下降
熬夜的人特别容易感冒
05
记忆力减退
晚上兴奋过头导致白天疲惫不堪
容易头昏脑涨、记忆力减退
06
变丑
眼睛浮肿、脸色蜡黄、精神萎靡不振
能好看吗?
07
脱发
长期熬夜,会引起脱发的现象

04
不良生活方式、环境
久坐、重口味,服用过多激素类、抗生素等药物、吸食*品毒**、手淫过度、*生活性**混乱、不注意卫生......
这些坏习惯都会让你的身体处于亚健康状态,肥胖、脱发、性功能减退、精子质量越来越差只是其中之四。

其次还有环境因素,过去半个世纪里,化学产业的兴起使得渗人环境中的化学物质在种类和数量上都急剧增加。
比如我们的日常用品、包装袋、化妆品等都是用塑料制作的,其中有一种叫邻苯二甲酸酯的化学物质,可以干扰甲状腺中重要的激素通路,并且抑制*丸睾**酮发挥作用。简而言之就是会影响精子质量。

男人怎么能让自己越来越行?
其实很多男性已经有了通过外在形象来改变自己的意识,据京东数据研究院的数据表明:男性在护肤、服装、甚至整形上的花销并不比多少女孩子少。
但是真正能让男人越来越好的,其实是内外结合。
01
保持良好的生活习惯
✔ 酒、咖啡尽量少喝:
最好戒烟,或者控制数量;*生活性**要有度、不要胡乱寻求刺激。
✔ 避免久坐:
上班族一定要经常站起来走一走,给蛋蛋放放风,没事做做劈叉,压腿等运动,有利于降温。
平时建议穿宽松一点的裤头,不要穿牛仔裤,特别是夏天,保持通风,给蛋蛋降温,有人发现,夏天的精子成活率,会比冬天下降很多。
✔ 适当运动
于内:促进新陈代谢、减压、预防心血管疾病、增强肺功能、提高免疫力.…..
于外:身形健美、年轻有活力。
建议每周运动150分钟以上~(以第二天不感到疲乏为准)

02
饮食习惯很重要
均衡的营养摄入,在此基础上还要多吃含锌、硒较高的食物,如坚果、牛奶、玉米等。还有富含维生素E的食物,如新鲜蔬菜、水果、瘦肉、蛋类,不要过量摄入奶油糕点、油炸食品、烧烤类食品。

03
居住、工作环境避免这几类危害
✘ 辐射: 大剂量的辐射可引起*丸睾**组织结构改变,降低精子数量;
✘ 噪音: 噪音会使人体分泌紊乱,导致精液和精子异常,长时间的噪音污染还可以引起男性发育不良;
✘ 汽车尾气: 汽车尾气中有大量的有害物质,如二氧化硫等。长时间接触,不仅影响生殖健康,还可能增加肿瘤疾病的发生率;
✘ 高温: 高温对*丸睾**会产生损害,不然蛋蛋也不会长在外面了是吧? 男性应该尽量避免在高温环境下久待,蒸桑拿、泡澡什么的,时间不要太长哦!
04
学会释放压力,男人也需要关爱
男人似乎天生被设定了坚强的人设,可是除了力量相差悬殊以外,无论是生理还是心理,男女的承受力并没有相差太多。
男人也要适当的释放自己,其实很多时候,男人比女人更需要关爱。
就最后一点,有必要举个栗子:
比如,谈恋爱的多时候,女生也应该多让着男生一点:
让他做饭,让他洗碗,让他洗衣,让他赚钱...
