跟很多初学者一样,刚开始做中央空调系统设计时,有些无从下手,不知道设计中各个步骤该查阅哪里,以及在设计过程中有些问题不理解为什么应该这样,所以本人查阅了一些资料,以防忘记,做了中央空调系统设计步骤和其中的一些问题的个人理解的总结,其中可能有些公式或理解有错误的地方,注意印证下,但希望可以对暖通初学者有一点点帮助,就可以了。暖通高手们,见笑了!(向作者致敬!)
以下都是用本人自己的通俗易懂的文字写的。
(注:暖通南社整理编辑,但作者不详)。
再说几句:作为一个水暖设计的初学者,跟很多初学者一样,由于设备专业的设计确实太繁杂了,尤其是空调方面涉及到的理论也很多,中央空调的类型和设计方式也很多样,所以对于经验很有限的暖通设计初学者来说,对于同类型的建筑,如果有那些大型有名的设计院的暖通高手的设计图纸作为参考的话,设计的时候就觉得心里有底了,设计时就会少走很多弯路和错路,因为手册规范技术措施都是些文字的阐述,其实设计人员的设计画图大多都是看别人的图纸,才学到各种类型和情况下该如果去设计画图的,大家都是看别人的设计图纸才学会设计画图的,所以好的设计图纸对于设计初学者确实很重要,尤其是那些有名设计院的设计图纸,对于提高一个设计师的设计水平很重要,因为有名的设计院的专家们毕竟走在设计的前端,设计经验更丰富,他们的设计要更加的合理,这种合理的设计是需要传承和传授的,对提高设计行业的整体设计水平也是很有帮助的,设计合理了也就更利于节能和节约,对项目也是更负责的,哪怕初学者只是吸取了一点好的设计理念和设计方式也是有意义的。当然任何事情都是有两面的,这可能涉及到设计人的“知识产权”,但相比对别人的帮助和提高,利要远远大于弊的。
但是让很多设计初学者很心烦的是,在网上的论坛里面到处找也找不到一个觉的“好点”的设计图纸,什么网易筑龙里面的图纸不是残缺不全的,就是过时的过气的没什么参考价值的图纸,不然就是收费的,对于设计初学者还是很急迫能有好点的图纸作为学习和参考的,希望那些设计高手们设计专家们能多多帮助设计的初学者,你们就是设计导师!
多去帮助别人,与人为善对自己也是很有意义的!就像曾经的一部老电影讲的那样,人人为我,我为人人。希望大家都向电影里的主人公学习!
中央空调系统设计过程和步骤
设计时最主要的依据就是:
第一是规范(包括地方设计标准);
第二是技术措施和最常用的手册;
第三是其他资料。
风系统:
(一)一次回风系统:
确定空调机组的所需冷量Q和送风量G
说明:一次回风系统的空调机组,常采用转轮热回收式空调机组,冷热水盘管共用一套(公共建筑节能标准有规定)。
1、确定空调机组的所需冷量Q:
(1)采用空调房间总冷负荷面积概算指标来确定。
房间的总冷负荷面积概算指标:可查阅:陆耀庆《实用供热空调设计手册第二版》19.4.1节第1478页,或《2003全国民用建筑工程设计技术措施-暖通空调·动力》1.3节第11页(此表源于陆耀庆第一版实用供热空调设计手册,09版技术措施无面积指标)。
说明:其中该总冷负荷面积指标包括房间的余热冷负荷+新风冷负荷。
房间的空调系统的冷、热负荷概述指标:可查询《简明空调设计手册》2.4节63页。
建筑物的空调总冷、热负荷面积指标:可查阅 CJJ34-2010《城镇供热管网设计规范》第3.1节,里面的数据还是挺准确的,尤其是热负荷指标。或建筑物空调冷负荷指标《2003全国民用建筑工程设计技术措施-暖通空调·动力》1.3.2。
采暖热负荷指标的确定:
建筑物的采暖热负荷指标:可查阅 CJJ34-2010《城镇供热管网设计规范》第3.1节,里面的数据还是挺准确的。或者是查阅《2003全国民用建筑工程设计技术措施-暖通空调·动力》1.3.1。(或陆耀庆《实用供热空调设计手册第二版》5.1.3节第317页)
居住建筑的建筑物采暖热负荷指标:据DBJ14-037-2006《山东省居住建筑节能设计标准》4.1.6条规定:不宜超过32w/m²(公共建筑节能标准无热负荷指标规定)。
(2)人员密度:可查阅陆耀庆《实用供热空调设计手册第二版》19.3.3节第1466页(源于国际标准),或《2003全国民用建筑工程设计技术措施-暖通空调·动力》1.3节第11页(此表源于北京建筑设计研究院《建筑设备专业设计技术措施》)。
或《公共建筑节能设计标准》 GB50189-2005,附录B
其中新版实用供热空调手册上的人员密度要偏小些,设计常采用的人员密度值比手册上的要大。
2、确定空调机组的送风量G
(1)、定性分析参数时,可将房间的总冷负荷Q分解成新风冷负荷Q1+房间余热冷负荷Q2:
一次回风系统的所需的总冷负荷为:新风冷负荷Q1和消除室内余热的冷负荷Q2,其实,一次回风系统跟风机盘管加新风系统,就其制冷的最终结果即维持房间的温度和新风量来说是一样,比如同一个房间,其所需的新风量为G1,室内的余热冷负荷为Q2,那么此房间的总冷负荷Q应该是一定的,不论采用一次回风系统还是风机盘管加新风系统,消耗的总冷负荷都是固定的Q,也就是计算软件算出的房间总冷负荷。所以对于一个房间来说,其用于消耗余热的冷负荷Q2是一定的,不变的,而空调机组所要提供的总冷负荷Q大小只与系统为改房间送入的新风量大小有关,如果一点新风不送的话,那么空调机组所需要为改房间提供的总冷负荷Q就等于该房间的余热冷负荷Q2,此时该房间所需外界提供的总冷负荷最小。
如果不考虑空气的中间处理过程,则无论是一次回风系统,还是风机盘管加新风系统,只考虑始末两个状态点时,则必然都是:风量G1的新风由最初的Iw变成了最终变为了In,所以用于处理新风的冷负荷Q1=G1(In-Iw),这部分就是新风冷负荷Q1,而同时还有一部分冷负荷是用于消除室内余热的冷负荷Q2,两者加起来Q1+Q2=Q为消耗的总冷负荷,见《空气调节》第4.3节118页。
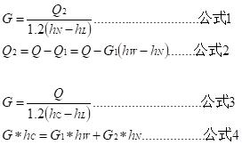
(2)、一次回风系统,送风状态点O与房间的总冷负荷Q是已知的,确定新风量G1即可求出总的送风量G及Q1,Q2,G2,或者确定总送风量G即可求出新风量G1及Q1,Q2,G2。计算公式如下:
Q=G(Ic-Io),又Ic*G=In*G1+Iw*(G-G1),已知G1即可求出G,或已知G即求出G1。
通常房间要满足最小新风要求,所以通常要根据规范规定的最新新风量G1来求得一次回风系统的空调机组的总送风量G,如果是根据空调机组样本上的总冷负荷Q所对应的送风量G来选择空调机组时,这时要根据样本上的总送风量G来计算出新风量G1,核对G1是否满足规范规定的最小新风量要求。
通常一次回风系统,采用的是机器*点露**温度送风,就室内温度Tn的*点露**温度Tn,l,送风状态点为Tn,l的等温线与相对湿度线90%的交点O,或者是按规范规定的最大温差送风(具体见周继红《中央空调工程设计与施工》67页),所以送风状态点O肯定是固定不变的,已知的,同时还已知的是房间的总冷负荷Q,那么此时总冷负荷Q中,具体新风负荷Q1和用于消除室内余热冷负荷Q2都是未知的,按道理来说,送风状态点O的参数已知,那么总的送风量G就只跟室内余热冷负荷Q2有关了,即G=Q2/(In-Io),但是总冷负荷Q中新风负荷Q1和余热冷负荷Q2具体分配比例多少是未知的,所以此时总送风量G无法确定,只有当新风量确定时,那么新风负荷Q1就确定了,那么Q2就确定了,那么总的送风量G就确定了,或者当先确定了总的送风量G,那么就确定了Q2,那么就确定了Q1,那么新风量G1就确定了。
(2)、当已知房间总冷负荷Q和送风状态点O时,调整新风量G1的大小,对总风量G的影响如下:
新风G1增加时,那么新风负荷Q1增加,而总冷负荷Q是固定的,所以余热冷负荷Q2减小,G=Q2/(In-Io),所以总送风量G减小;
新风G1减小时,那么新风负荷Q1减小,而总冷负荷Q是固定的,所以余热冷负荷Q2增加,G=Q2/(In-Io),所以总送风量G增加;当新风量G1减小到零,那么此时Q2达到最大值即Q,即房间的总冷负荷Q都为余热负荷Q2,那么此时送风量G也达到最大值G=Q/(In-Io)。
采用风机盘管加新风系统来分析,此时供应新风机组的Q1和风机盘管的QF,其供应的总冷负荷Q=Q1+QF是固定的,此时增加新风量G1,那么用于冷却新风的供应的冷负荷Q1增加,从而风机盘管的供应冷负荷QF减小,而风机盘管的回风送风量G2=QF/(In-IL2)也减小,而混合后C点的总风量G=Q2/(In-Ic),其中Q2为房间的余热冷负荷。因为Q2=QF所以Q2是减小的,而从焓湿图上看,由于L2点和L1点位置不变,而G1增加,G2减小,则混合点C的位置一定是上移的,所以Ic是增加的,所以根据G=Q2/(In-Ic),总风量G是减小的。
因为新风机组处理到与室内空气等焓状态L1后与风机盘管处理后的空气L2混合后达到状态点C,从焓湿图上可见,C点与L2点很接近,所以可以将风机盘管的制冷量QF近似等于用于消除室内余热冷负荷Q2,所以总风量G是减小的(理解错了)。
但是有个疑问,按道理来说,房间所需的总冷负荷Q应该为新风冷负荷Q1与室内余热冷负荷Q2的和,而新风机组消耗的冷负荷就是Q1,但风机盘管消耗的冷负荷QF却是不等于余热冷负荷Q2,而是QF>Q2,所以实际消耗的总冷负荷Q1+QF大于Q1+Q2,这是为什么呢?
其实是理解错了,实际上QF=Q2,QF=G2(In-IL2),而Q2=G(In-Ic),从焓湿图上看上去IL2与Ic不相等,这主要是因为G2与G不相等,从上面公式就可以看出来,如果IL2与Ic相等的话,而G2与G不相等,那么QF就不可能与Q2相等了,所以不要被焓湿图迷惑了。
(4)、当供应房间的总冷负荷Q和及总送风量G及送风状态点O固定不变时,调整新风量G1与回风量G2的比例时,对房间空气状态的影响:
新风G1增加时,那么新风负荷Q1增加,而总冷负荷Q是固定的,所以用于消除余热的冷负荷Q2减小,那么此时房间的空气温度将会升高;
新风G1减小时,那么新风负荷Q1减小,而总冷负荷Q是固定的,所以用于消除余热的冷负荷Q2增加,那么此时房间的空气温度将会降低;如果将新风量减小到零时,那么供应房间的总冷负荷Q将都用于消除室内余热Q2,此时房间的温度将会降为最低。
从以上可看出,对于一次回风系统来说,平时运行中,可以通过调节改变新风量和回风量的大小,来调整空调房间内的空气温度。
(二)总结概述一次回风系统:
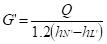
1、已知总冷负荷Q和送风状态点O(L)情况下,确定总送风量G,有两种方法:


(1)其中利用公式1和公式2要比公式3和公式4计算方便容易些,因为根据新风量G1直接可以求出新风负荷

,从而根据总冷负荷Q求得余热负荷Q2,从而求得总送风量G。利用公式3,和公式4的计算送风量G的方法可见周继红《中央空调工程设计与施工》68页的例题
(2)最值得注意的是:一次回风系统的新风负荷由公式

,来计算式完全正确可行的,因为通过 周继红《中央空调工程设计与施工》68页的例题,已经验证了,利用公式

计算出来的新风负荷,代入公式1和公式2中计算出来的总送风量G,与例题中通过公式3和公式4所计算出来的送风量G是完全相等的。
(3)还有一点值得注意的是:一次回风系统的总冷负荷Q是完全可以拆分成两部分,即把新风和回风进行单独考虑,也就是把一次回风系统转换成了风机盘管加新风系统,即一部分是新风由室外空气W最终处理成室内空气N,所以新风负荷 ,一部分是室内回风由室内空气N经空调机组处理到空气状态L,然后该回风空气L去吸收室内余热Q2变成室内空气N,此过程处理回风消耗的冷负荷就等于余热冷负荷Q2=G2(hN-hL),所以在一次回风系统做定性分析时会用到这个公式。
注意:其实这个公式Q2=G2(hN-hL)是不对的,与公式Q2=G(hN-hL)是冲突的,比考虑新风,G1的新风由室外W处理到L,然后吸收室内余热变成N,但是在这个过程机组提供给新风的冷负荷Q1并不等于G1(hw-hL),而是新风冷负荷 ,所以由此可以看出,两种混合的空气经处理到达状态点L,这个过程不能拆开两种空气分别处理到L。
2、分析一次回风系统,当总送风量,新风量,回风量的参数G、G1、G2发生变化时,会出现的结果怎样?


主要参数有:
Q、Q1、Q2,G、G1、G2,
Q=Q1+Q2,G=G1+G2
(1)在设计时,根据总冷负荷面积指标确定的总冷负荷Q,然后根据该总冷负荷Q与*点露**送风状态点L的参数,以及规范规定的最小新风量G1,利用上述公式12或34来计算出一次回风系统的空调机组的总送风量G。
但是由于总冷负荷Q是估算的,而新风负荷Q1是通过计算得出的,是负荷规范规定的,那么剩下的余热负荷Q2就是估算的,如果该估算的余热冷负荷Q2是比实际房间的余热冷负荷Q2'偏大或偏小时,将会出现什么情况,该如何处理呢?
a、此时如果按此估算的余热负荷Q2来运行时,那么该估算的余热冷负荷Q2是比实际房间的余热冷负荷Q2'偏大或偏小时,将会出现房间的实际温度要比房间设计的温度偏低或偏高,即偏冷或偏热。
b、偏冷时:此时我们该如何处理呢?方法就是减小供应的余热冷负荷Q2,方法有以下几种:
要从负荷和风量两个方面来分析,注意空调机组的供冷量是可以通过改变水量来改变的,但是空调机组的总送风量通常不好改变,只能改变新风和回风的比例。但是其实在一定程度上因为风机的总风量G大小与压力损失P有关,所以其实在一定程度上空调机组的送风量,新风量,回风量都可以通过调节阀门,来改变各自的风量值,但是改变其中一种风量时,同时也会对另外两种风量造成影响,所以也要同时通过调节阀来改变另两种风量。
c、方法1是:我们要维持规范规定的最小新风量G1不变,那么新风负荷Q1也不变,要减小供应的余热冷负荷Q2,那么我们就要减小供应的总冷负荷Q,即减小空调机组的水量,而风量方面,由于新风量G1不改变,并且总的送风量G也不易改变,这时根据公式:

,余热负荷Q2减小,送风量G不变,这时送风温差将减小。则*点露**送风点由L变成新的*点露**送风点L',且hL'>hL。也就是提高了机组的送风温度,通常空调机组设置送风温度传感器和室内温度传感器,通过室内温度传感器测定的温度高低,来控制机组水管的流量和机组的送风温度,当测定室内温度比设定值低时,这是空调机组将控制关小机组水流量,同时维持送风量不变,那么必然检测出的送风温度将会升高,也就是所谓的减小了送风温差。
此时如果通过风量调节阀门的关小来减小送风量G也是在一定程度上可以实现的,也就是减少总送风量G和回风量G2,而新风量维持不变,这是就可以维持送风温差不变了。
d、方法2是:在总冷负荷保持不变时,增加新风量,从而新风负荷Q1增加了,这样用于消除余热的冷负荷Q2就减小了,同样根据公式:

,送风量G不变时,就要减小送风温差。
e、同样如果偏热时,方法是增加供应的余热冷负荷Q2,维持最小新风量不变时,即新风负荷Q1不变时,增加总冷负荷Q,根据公式:

,风量方面,由于空调机组的总送风量G不好增加,所以只能维持不变,那么由于Q2增加了,所以只能增加送风温差,即减小hL,但是此时由于设计时已经是按最大温差送风,即按室内空气*点露**温度TnL送风的,所以再降低送风温度,必然导致风口结露,所以这种情况不容易解决,
(2)如果在设计时,根据总冷负荷Q,*点露**送风状态点L,最小新风量(或新回风比例),通过公式1234计算出的空调机组总送风量G,查空调机组样本,根据总冷负荷Q,没有对应于计算得出的送风量G的空调机组,这时我们选择的机组风量G' 就会与计算出的风量G有偏差,那么选择的空调机组的风量G' 比计算值G偏大或偏小会造成什么样的结果呢?并应如何处理呢?
(或者根本就没有经过计算得出总送风量G,而是直接根据总冷负荷Q查样本选择对应Q 时的风量G' ,那么必然该风量G' 与实际的送风量G有差别,此时偏大偏小会造成什么结果呢?)
具体可详见 国杰君 论文《空调机组风量偏差对室内状态点的影响》。
3、一次回风系统,无再热时,分析讨论如下:
见周继红《中央空调工程设计与施工》第4.1节 67页。
(1)可以确定真正的房间余热Q和余湿W所对应的热湿比线ε=Q/W值时:



分析:房间真正的热湿比线ε=Q/W,即房间真正的余热量为Q,余湿量为W,那么送入房间的空气消除房间的余热余湿,由状态点O到达状态点N,在这个过程中一定是沿着该房间的热湿比线ε=Q/W的平行线变化的。由于要保证送入的空气状态最终与室内空气状态相同即N点,所以送入房间的空气,消除室内的余热Q和余湿W,最终达到状态N点,则这个空气状态变化过程一定是过N点的直线斜率为ε=Q/W的直线,则送风状态点O也一定在这条直线上,至于具体O点在这条过N点斜率为ε=Q/W的直线的具体位置,是由送风温度或送风量来决定的,因为根据公式:

,如果选定一个送风温度To,那么该送风点O的位置一定处在上述过N点的热湿比线ε上,且该点的温度值为To,此时根据To即可确定出送风量G的值,那么如果这个送风点O的位置不是落在热湿比线ε与相对湿度90%线的交点L上,那么空调机组就必须经过再热处理,才能使混合C点的混合空气经过空调机组的冷却减湿处理到与O点等湿度的L'点,然后再等湿加热到O点,只有该O点的空气且风量为G,才能正好吸收房间的余热Q和余湿W,最后到达N点,再热处理 过程如下图所示:

注意空调机组的冷却减湿过程一定是沿着相对湿度线90%进行的,因为空调机组冷却减湿的过程是开始时等湿冷却,冷却到与90%相对湿度线相交时,再继续冷却就开始有水凝结出来,从而开始冷却减湿的过程,所以冷却减湿的过程一直沿着相对湿度90%的线进行的,那么为什么一定要再经过等湿加热才能处理到送风状态点O呢?这是因为因为冷却减湿的过程一直处在90%的相对湿度线上,那么要到达O点,由于O点不是在90%的相对湿度线上,所以根本不可能仅仅通过冷却减湿的处理过程而到达O点,那么为什么一定要通过等湿加热的房间到达O点呢?这是因为等湿加热的处理过程很容易控制和实现,即当空气处理到O点等湿线与90%的相对湿度线交点L' 时,(计算确定出L'点的参数如温度值,然后根据温度传感器检测当冷却减湿的空气温度为TL'时,就可以打开加热器开关通入热量为设计计算出的热量值),就可以使空气达到状态点O的位置。当然其实冷却减湿的空气可以一直冷却减湿到90%相对湿度线上的任何一点,然后再经过某个处理过程,如等焓减湿或等温减湿等等,处理到O点,但是这些乱七八糟的处理过程根本不容易通过处理设备来实现,也不容易控制,而等湿加热的处理过程简单方便很容易实现,所以通常都采用这个处理过程。
那么怎么样才能没有等湿加热即再热的过程呢?那么只有将送风状态点O沿着过N的热湿比线ε=Q/W的直线一直下移,只至热湿比线与90%相对湿度线的交点L,此交点L就做为送风状态点O,这是就可以将混合和的空气冷却减湿一直到达O(L)点,而不需要再使用再热过程,在L点处的空气参数值如温度值TL,焓值hL,根据公式:

,计算出消除房间余热Q所需要的送风量G。
但是此时,由于该L点的送风温度和送风量G的数值并非是没有任何约定的,因为送风状态点L的温度值太低的话会可能造成人不舒服,或者L点的温度值小于了室内空气N的*点露**温度值,会造成风口结露,同时送风量G的值,规范规定也要满足房间换气次数的值,所以L点处的温度值和送风量值是有限制的,如果送风点L处的送风参数值TL和风量G与上述的规定值有矛盾时,为了提高送风温度To或者增加送风量G,那么此送风点L的位置就必须要移动,即沿热湿比线ε=Q/W向上移动,这时就又会出现送风状态点O不在90%的相对湿度线上,所以还是要进行再热处理才行。
注意:当仅仅是为了增加送风量G的话,其实还有一种方法可以,就是维持送风状态点在L处,然后直接增加送风量到G,这时送入的空气吸收房间余热余湿后必然达到新的空气状态点N',该N'位置一定是位于室内空气状态点N的下面,这种增加风量G,但仍然维持原送风状态点L的做法是相对于上述调整送风状态点为L'的做法要不合理,具体可详见 论文刘何清《*点露**送风方案的两种特殊空气处理过程分析》的论述。
当然,如果是为了满足规范要求的送风温度,而提高送风温度To时,则就无法仍然维持原有的送风状态点L,只能是调整送风状态点为L'。
如果为了提高送风温度To或者增加送风量G,使得送风点O不处在L处,按道理就要进行再热处理才行,但是工程上一般还是不采用再热处理,而是将混合空气沿着90%相对湿度线冷却减湿到过O点的等温线TO或过O点的等焓线hO与90%相对湿度线的交点L'处(注意:如果是为了满足规范的送风温度要求,那就只能是采用过O点的等温线TO与90%相对湿度线的交点L'处,这样才能满足规范规定的L'处的送风温度为To),然后直接送风去消除房间的余热和余湿,但此L'处的温度值和送风量值要满足之前规范的要求才行,此时送入房间L'处的空气,去吸收房间的余热量Q和余湿量W,那么空气处理过程一定是过L'的热湿比线为ε=Q/W的一条直线,而空气吸收房间的热量和湿量后的最终状态N'的位置,可以通过公式:

,来计算出来,但是此时由于公式里面G'和hN' 都是未知的,所以这时要先确定我们要使最终的空气状态是与室内空气温度相同,还是焓值相同,如果选择与室内空气温度相同,那么焓值hN’为过N点的等温线与过L点热湿比线的交点N'的焓值,从而计算出送风量G',或者是选择与室内空气焓值相等,那么空气的最终状态点就是过N点的等焓线与过L'的热湿比线的交点N'点,再或者就是先确定送风量G,然后计算出空气的最终状态点N’的参数值。
但是其实,在设计时送风量G'是通过O点和N点的状态参数来计算确定的,即G'=G,

,所以L'送风状态点,最终的状态点N'的位置就仅仅由最初的L'的参数来决定的,因为G'=G,从上面两个公式可见,如果L'点是与O点等焓的即hL'=ho,那么N'点就是与N点等焓的hN'=hN,如果L'点是与O点等温的,那么N'点就是与N点等温的,也就是ON-L'N'一定是平行四边形。
具体可参见 论文刘何清《*点露**送风方案的两种特殊空气处理过程分析》的论述。
(2)无法准确的确定真正的房间余热Q和余湿W所对应的热湿比线ε=Q/W值:
通常房间真正的热湿比线ε=Q/W值不容易确定(湿负荷不易确定),所以无法确定房间真正的热湿比线ε值,这时也就无法在焓湿图上确定过N点的热湿比线ε=Q/W与90%相对湿度线的交点L,对于此种情况,工程上通常采用过室内空气状态点N的*点露**温度TNL的等温线与90%相对湿度线的交点L'作为送风状态点,用此送风状态点L'近似等于真正的送风状态点L,此时送风状态点L'的空气吸收房间的真正的余热Q和余湿W,其实最终状态点落在了N'点,此N'的位置是过L'的热湿比线ε=Q/W的某个位置处,同样跟上述情况一样,根据公式:

,但是此时由于公式里面G'和hN' 都是未知的,所以这时要先确定我们要使最终的空气状态是与室内空气温度相同,还是焓值相同,通常情况下由于我们默认为N'点处的焓值与N点处的焓值相同,所以通常是选择了N'的位置是位于与N点的等焓的位置处,所以就可以根据上面公式计算出送风量G'。
为了方便分析和计算,我们通常将N'视为与N点重合,即真正的余湿量W反正也计算不出来,就把直线NL’做为真正的热湿比线ε,这样方便分析计算。

(3)一次回风系统采用*点露**送风时的处理过程确定和计算:
a、首先,我们要确定送风状态点O的位置,由于房间真正的热湿比线不好确定,所以我们无法确定真正的*点露**送风状态点L,即房间真正热湿比线与90%相对湿度线的交点L。
b、所以我们采用室内空气状态点N的*点露**温度TNL的等温线与90%相对湿度线的交点L'做为送风状态点(此时L'的送风温度时保证风口不结露的最低送风温度,即最大的送风温差,从而此时计算得到的送风量为最小送风量),用此状态点L'来近似代替状态点L,近似的认为按该送风状态点L'送风后,吸收房间真正的余热量Q和非真正的余湿量W'后,最终达到室内空气状态N,(但是实际上应该是L'吸收真正的余热Q和余湿W,最终到达新的状态点N',但是设计时L'的送风量G是按照G=Q2/(hN-hL')来计算确定的,所以N’点的位置可以求得的,但是L'N'-LN应该不是平行四边形)
但是我们都忽略这些真正的处理过程,而是近似的认为L'吸收了房间余热余湿都到达了空气状态点N。
c、这时我们就要核对按室内空气状态点N的*点露**温度TNL的等温线与90%相对湿度线的交点L'做为送风状态点时:
第一:此时的送风温度TNL是否满足规范规定的送风温差小于10℃的要求,即TN-TNL≤10℃,如果满足送风温差要求则该送风温度没问题,则计算出该送风状态点L'送风时的送风量G'

;如果不满足规范规定送风温度要求,即TN-TNL>10℃,则要采用新的送风温度TL''=TN-10,新的送风状态点为L'',它是过TN-10的等温线与90%湿度线的交点L'',这是只能是再次的近似认为该送风状态点L''吸收房间真正的余热Q和非真正的余湿W''后最终达到室内空气N点,此时计算出该送风状态点L''送风时的送风量G''

。
第二:还要核对上述两种送风温度情况下所计算出来的送风量G'和G''是否满足规范规定的房间换气次数要求,如果不满足规范规定的换气次数要求,则应该先确定送风量分别为G'和G'',然后在通过上述两个公式计算确定出送风状态点L'和L''处的焓值hL'和hL'',然后根据过hL'和hL''两点处的等焓线(或等温线)与90%相对湿度线的交点L'和L''作为送风状态点。具体可参见 论文刘何清《*点露**送风方案的两种特殊空气处理过程分析》的论述。
注意:设计时,送风量的确定还是尽量选择大些,要比风量选择小些好,因为如果按最大送风温差选择,即按室内温度的*点露**温度TNL作为送风温度时,则此时计算出的送风量为最新送风量,尽管此时的送风温度是TNL,相对湿度是90%,但是如果此送风遇到金属风口,金属风口被送风不断的冷却,很可能导致金属风口的温度低于送风温度TNL,则此时90%相对湿度的空气遇到温度比自己低的金属是很容易结露的。结露是很麻烦的,会不断的从送风口滴水,这会造成很麻烦的后果,严重影响房间的使用!!!
而一旦结露的话,此时处理方法只能是增加送风量,才能提高送风温度,但是空调机组风量是很难增加的,所以此时一旦结露很难解决,只能是通过减小空调机组的供冷量,根据公式

,送风量G不变,而hc也近似不变,Q总供冷量减小,则hL增加,则送风温度就会增加,但是此时总供冷量减小了,那么室内的温度就会升高,可能会造成达不到规范规定的室内温度要求,所以一旦结露是很麻烦很难解决的!
所以设计时,还是尽量留有余地,即送风量尽量选择大点,即送风温度尽量取大点,尽量不要取室内的*点露**温度TNL,工程上很多人采用送风温度要确保比室内空气N的*点露**温度TNL高2~3℃,就是为了防止结露。
4、根据计算得出的风量G与总冷负荷Q,按样本进行空气处理机组选型时,由于设计的进风温度与样本中的标准工况进风温度不同,所以要进行风量冷量的校核:
a、根据计算的送风量G和总冷负荷Q,选择空气处理机组,如果样本中没有与计算的风量和冷量值相同的空气处理机组时,或者说即使有相同的风量冷量值,由于样本的中的风量冷量值是按照标准工况,即标准工况的进风温度,通过试验得出的风量冷量值,所以由于我们设计的进风温度与标准工况进风温度不同,所以即使样本中的风量冷量值与我们设计所需的风量冷量值相同,但在实际运行时,由于进风温度与样本上的不同,所以仍然是运行时的设计风量冷量值与设计要求的不同,所以在按样本选择空气处理机组时,一定要进行风量冷量的校核。
b、通常情况我们是按照先按计算的风量G来选择空气处理机组,然后再根据所需的供冷量Q来选择换热盘管的排数,通常是由新风是按6排选,无新风时按4排选。
同时由于样本上的标准工况进风温度与设计时的进风温度不同,这样要对冷量进行校核,即要选择样本上的进风温度比设计的进风温度低的,且供冷量比设计所需的供冷量Q要大些的空气处理机组所对应的盘管的排数,这样选择是保守安全的,因为换热盘管的进风温度越高,换热盘管的换热效率越高,即其供冷量也就越大。如果样本上的供冷量与设计所需的供冷量相差较大,那么我们就在设备表上标注上我们计算所需的供冷量,然后厂家会根据我们所需的供冷量来特殊定制相对应的盘管的排数及换热面积。
c、如果根据风量G选择的空气处理机组时,发现样本上的机组风量没有与设计所需的风量相同的,那么我们可以选择风量稍大点的机组,这样选择是保守安全的,因为风量稍大点,实际运行时,送风的温差会比设计的小些,送风的温度会稍高些,这是可以的,并且风量大了,也可以通过调节阀门减小风量,但如果风量选小了会造成结露,而且也无法通过调节加大风量,所以还是风量稍大点安全有利些,但如果样本上的风量与设计相差的太大,就在材料表上标注设计的风量值G,到时厂家特殊定制风机风量。
当空气处理机组,冷热盘管共用时,空气处理机组的制热量,通常是直接按照样本上的机组所提供的制热量标注,而不是标注计算出的该机组所需要的热负荷(不计算)。
风机盘管加新风系统
有关风机盘管加新风系统的综合论述,可详见周继红《中央空调工程设计与施工》第3.2节 72页。
1、新风机组的选择计算
(1)确定新风机组的新风量G1:
根据房间的人员密度或房间的人数,及人员最小新风量要求,确定新风机组总的送风量G1。
总新风量G1=(人员密度x面积x人员最小新风量)x10%

人员密度:可查阅陆耀庆《实用供热空调设计手册第二版》19.3.3节第1466页(源于国际标准),或《2003全国民用建筑工程设计技术措施-暖通空调·动力》1.3节第11页(此表源于北京建筑设计研究院《建筑设备专业设计技术措施》)。
或《公共建筑节能设计标准》 GB50189-2005,附录B
其中新版实用供热空调手册上的人员密度要偏小些,设计常采用的人员密度值比手册上的要大。
人员的最小新风量要求:可查询GB50736-2012《民用建筑供暖通风与空气调节设计规》第3.0.6条规定,或者可参见2009JSCS-4《全国民用建筑工程设计技术措施-暖通空调、动力》第1.2.3条4页。
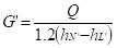
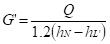
(2)确定新风机组的新风冷负荷或所需供冷量Q1:
Q1=1.2*G1(hW-hN)

2、风机盘管的选择计算
(1)确定风机盘管所需冷量Q2
按总冷负荷面积概算指标确定的房间总冷负荷Q,它包含了新风冷负荷Q1和房间余热冷负荷Q2,而风机盘管的供冷量就等于房间余热冷负荷Q2,要确定房间余热冷负荷Q2,由以下两种方法:
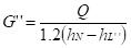
a、对于用人员密度确定最小新风量的房间:根据房间人员密度和人员最小新风量,可以求出房间单位面积最小新风量,然后根据公式Q1=1.2*G1(hW-hN),可以求出房间单位面积的新风冷负荷Q1,然后用房间总冷负荷面积概述指标Q,减去单位面积的新风冷负荷Q1,即得出房间的单位面积余热冷负荷指标Q2,然后根据房间的面积,这样就方便计算出各个房间的余热冷负荷Q2。
b、对于用房间人数来确定房间最小新风量的房间:根据房间人数和人员最小新风量确定出房间的新风量,然后根据公式Q1=1.2*G1(hW-hN)确定出房间的新风冷负荷Q1,然后根据房间总冷负荷Q,求得房间的余热冷负荷Q2=Q-Q1
(2)确定风机盘管的风量G2
通常,风机盘管有低中高档共三档,三档的供冷量和风量都是不同的,通常情况下实际运行中都是按中档来运行的,所以为了安全起见和留有供冷量余量,通常是按风机盘管的中档来选择确定风机盘管的冷量和风量的。
注意:对于接风管的盘管机,应采用中、高静压的风管机,且出风管道上不宜多于两个出风口。
中央空调及通风系统风管、风口、风量、风压等的选择计算:
可查询:GB50736-2012《民用建筑供暖通风与空气调节设计规范》
2009JSCS-4《全国民用建筑工程设计技术措施-暖通空调、动力》
陆耀庆《实用供热空调设计手册第二版》
09版北京市建筑设计研究院(BIAD)编《建筑设备专业技术措施》
1、空调及通风系统风管、风口等的流速选择:
(1)通风及空调系统风管内的流速选择:
查询GB50736-2012《民用建筑供暖通风与空气调节设计规范》第6.6.3条41页
也可查询2009JSCS-4《全国民用建筑工程设计技术措施-暖通空调、动力》第4.6.11条63页。


(2)通风及空调系统风口的流速选择:
1)机械通风系统的进排风口风速:(送风机和排风机的进排风口)
查询GB50736-2012《民用建筑供暖通风与空气调节设计规范》第6.6.5条43页

2)空调系统回风口的风速:(就是排风口的风速)
查询GB50736-2012《民用建筑供暖通风与空气调节设计规范》第7.4.13条59页

3)空调系统送、排风口的风速:
空调系统的送风口风速:可查询2009JSCS-4《全国民用建筑工程设计技术措施-暖通空调、动力》第5.4.11、5.4.13条84页。
回风口的风速就是排风口(吸风口)的风速
2、机械通风系统的风量的确定:
(1)可根据GB50736-2012《民用建筑供暖通风与空气调节设计规范》第6.3节条35页来确定风量,
(2)或者根据2009JSCS-4《全国民用建筑工程设计技术措施-暖通空调、动力》第4.1节~4.7节55页来确定风量。
(3)或者根据09版北京市建筑设计研究院《建筑设备专业技术措施》第四篇17节来确定风量。
(4)有关事故通风的风量等要求详见《高层民用建筑设计防火规范》4.1节和GB50736-2012《民用建筑供暖通风与空气调节设计规范》
3、空调及通风系统 风机的风量、风压、管网压力损失(估算)的确定:
(1)根据GB50736-2012《民用建筑供暖通风与空气调节设计规范》第6.5.1条39页规定:


(2)根据2009JSCS-4《全国民用建筑工程设计技术措施-暖通空调、动力》第4.6.1、3条36页确定:


(3)根据09版北京市建筑设计研究院《建筑设备专业技术措施》第四篇17.6.1、2条确定:

(4)可按照陆耀庆《实用供热空调设计手册第二版》11.5.3节 1145页的方法估算:


陆耀庆《实用供热空调设计手册第二版》12.4.4节 1192页确定风机风压、风量:

水系统:
(一)制冷主机:
1、电动压缩式冷水机组
(1)压缩式冷水机组的总负荷、台数和类型确定
a 、主机总负荷:
对于像宾馆酒店或综合性建筑,大部分建筑需要考虑房间的同时使用率,一般建筑的同时使用率为70~80%(建筑的负荷或空调总负荷×70%-80%的同时使用率),特殊情况需根据建筑功能和使用情况确定。
对于像商场或超市等,通常是全部区域会同时使用的场所,同时使用率取100%。
b 、台数:
《民用建筑供暖通风与空气调节设计规范》8.1.5条文说明:

以上是针对变流量一级泵系统(主机与水泵流量不改变),如果主机与水泵变流量时,通常同一系统中不得采用容量不同和类型不同的主机。

c 、类型:
《民用建筑供暖通风与空气调节设计规范》规范规定:压缩式冷水机组的类型,选择宜按下表:


1美国冷吨(TR)=3.517KW,500TR=1758KW
离心式与螺杆式压缩式冷水机组类型比较:
一般来说离心机组的能量调节范围为40%~100%,在低于40%负荷运行时,离心机组比较容易发生“喘振”现象,“喘振”严重时,可以使机组的整个核心部件——叶轮被损坏,使离心压缩机报废。目前很多离心机组厂家通过“补气”手段是机组“喘振”临界点达到“20%”或“10%”,而“补气”是需要消耗大量能量的,使机组在50%以下能效比相对较低。
而对于多机头的螺杆机组来说,其能量调节范围一般在7.5%~100%之间,而且可以连续能量调节。特别是民用场所和商用场所,比如宾馆、商场、会议中心等,其空调负荷随着季节变化和人流变化而变化较大,要求制冷机组有较宽的能量调节范围。
离心机和螺杆机的耗电量较大,但在相同制冷量情况,由于螺杆机部分负荷时能效要大大高于离心机组的部分负荷能效,所以螺杆机组的运行费用大大低于离心机组的运行费用。
离心机组相比螺杆机组:有负荷调节范围有限,部分负荷时效率相对要低,易损件多。但是螺杆机组制冷量通常小于1758KW,所以制冷量小于1758KW时尽量选螺杆机,大于1758KW时就只能选离心机组了。
但通常情况满负荷时离心机组的效能比COP要稍高于螺杆机组。
(二)冷冻水泵(空调热水循环泵):(电动压缩式冷水机组)
《民用建筑供暖通风与空气调节设计规范》8.5.4条文说明:
...更多内容请参见暖通南社当日发布课件。