1、 有一台LZB型气体浮子流量计用来测量氢气流量,工作温度为27℃,工作压力为0.3MPa (表压)。当流量计的读数为40m3/h时,氢气的实际流量是多少(氢气在0℃、1.01325×105Pa下密度为0.08988kg/m3)?
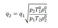
解 根据公式

其中
——测量介质的流量换算为标准状态(20℃,1.01325×10Pa)的流量值,m3/h;
——仪表的读数,m3/h;
——在0℃:1.01325×10Pa下空气的密度,1.293kg/m;
——被测介质在0℃;1.01325×105Pa下的密度,kg/nm”;
p2、T2——工作状态下被测介质的绝对温度和绝对压力;
p1、T1:——标定状态下被测介质的绝对温度和绝对压力:p1=0.10132MPa,T1=293K。
将已知数值代入上式

将有关被测介质的数值代入
