
第一章
三角函数

第二章
平面向量
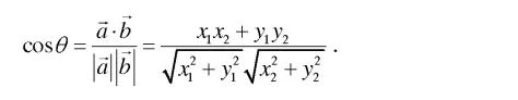
16、向量:既有大小,又有方向的量.
数量:只有大小,没有方向的量.
有向线段的三要素:起点、方向、长度.
零向量:长度为 0的向量.
单位向量:长度等于1个单位的向量.
平行向量(共线向量):方向相同或相反的非零向量.
(零向量与任一向量平行.)
相等向量:长度相等且方向相同的向量.
17、向量加法运算:
(1)三角形法则的特点:首尾相连.

(2)平行四边形法则的特点:共起点.

18、向量减法运算:
(1)三角形法则的特点:共起点,连终点,方向指向被减向量.

第三章
三角恒等变换

25、二倍角的正弦、余弦和正切公式:

28、三角函数式的化简运算通常从“角、名、形、幂”四方面入手,基本规则是:见切化弦,异角化同角,复角化单角,异名化同名,高次化低次,无理化有理,特殊值与特殊角的三角函数互化.
同学们要学会根据条件,灵活运用三角公式,掌握化简运算的方法和技巧,从而解决问题.常用的变换技巧如下:
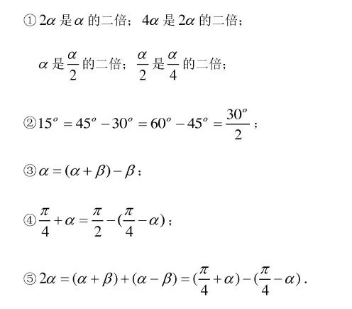
(1)角的变换:
在三角化简、求值、证明中,表达式中往往出现较多的相异角,观察条件与结论中角的差异,根据角与角之间的和、差、倍、半、互补、互余等关系对三角函数式进行化简.常见的角的变换有:

(2)函数名称变换:
在三角函数中正余弦是基础,通常可以化切为弦,从而达到化异名函数为同名函数的目的.
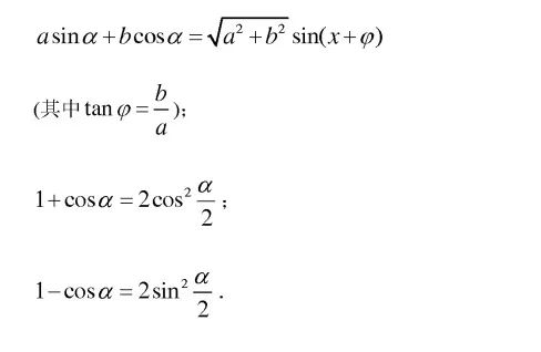
(3)常数代换:
在三角函数运算、求值、证明中,有时需要将常数转化为三角函数值,例如常数“1”的代换变形有:

--END--
