Sep. Purif. Technol.:使用电纺DTPA改性的壳聚糖/聚环氧乙烷纳米纤维可有效去除废水中的Cu2+、Pb2+和Ni2+
DOI:10.1016/j.seppur.2020.116914
开发了二乙烯三胺五乙酸改性的壳聚糖/聚环氧乙烷纳米纤维(CS-DTPA/PEO NFs)以增强重金属离子的吸附。通过静电纺丝制备了这些纳米纤维,采用扫描电子显微镜(SEM)和傅里叶变换红外光谱(FTIR)分别对其形态和结构进行研究。在室温下测试了CS-DTPA/PEO纳米纤维从水溶液中去除铜(Cu2+)、铅(Pb2+)和镍(Ni2+)离子的能力。研究了[DTPA]/[NH2]摩尔比、pH和金属离子初始浓度对其吸收能力的影响,以优化工艺条件,使用拟一级和表观二级、Boyd和粒子内扩散模型测定了金属离子吸附的限速步骤。转而,使用Freundlich、Langmuir、Temkin和Dubinin-Radushkevich等温模型来描述实验数据。结果表明,CS-DTPA/PEO纳米纤维对金属离子的吸附能力依次降低:Cu2+˃Pb2+˃Ni2+。从第一次接触含金属离子的溶液开始90分钟后,建立吸附平衡,并使用Langmuir等温线模型描述实验数据。CS-DTPA/PEO纳米纤维对Cu2+、Pb2+和Ni2+离子的最大吸附容量分别为177、142和56 mg g-1。经过五次吸附-解吸试验后,测定了CS-DTPA/PEO纳米纤维的稳定性和可重复性。

图1.稳定前后的CS/PEO(a-c)和CS-DTPA/PEO(b-d)纳米纤维的SEM图像和尺寸分布。

图2.PEO(蓝色)、稳定的CS/PEO(绿色)和CS-DTPA/PEO纳米纤维(黑色)的ATR-FTIR光谱。

图3.CS-DTPA/PEO(a,c)和CS/PEO(b,d)纳米纤维的高分辨率C 1s和N 1s XPS光谱。实测光谱用空心圆表示,而其对应的拟合包络用红线表示。不同功能组的单独贡献用蓝线表示。

图4.(a)吸附Cu2+(右)和Ni2+(左)离子后的CS-DTPA/PEO纳米纤维,(b)吸附在CS-DTPA/PEO纳米纤维上的Cu2+、Pb2+和Ni2+离子的量与[DTPA]/[NH2]摩尔比的关系图。所有样品均包含20 mg CS-DTPA/PEO纳米纤维,初始金属离子浓度为300 mg L-1。在150 rpm搅拌下接触120分钟后,测量金属离子的量。

图5.(a)吸附在纳米纤维上的Cu2+、Pb2+和Ni2+离子与pH值的关系图(20 mg CS-DTPA/PEO纳米纤维[DTPA]/[NH2]摩尔比为0.4;初始金属离子浓度为300 mg L-1)。(b)吸附在纳米纤维上的Cu2+、Pb2+和Ni2+离子与初始金属离子浓度的关系图(20 mg CS-DTPA/PEO纳米纤维[DTPA]/[NH2]摩尔比为0.4,Cu2+和Pb2+的pH为5,Ni2+离子的pH为6)。在150 rpm搅拌下接触120分钟后,测量金属离子的量。

图6.(a-d)吸附在纳米纤维上Cu2+、Pb2+和Ni2+的量(qt)与时间的关系图(20 mg CS-DTPA/PEO纳米纤维,初始离子浓度为500 mg L-1,搅拌速度为150 rpm)。(b-d)使用拟一阶和拟二阶动力学模型拟合的实验动力学数据。

图7.(a)使用粒子内扩散模型拟合的纳米纤维上吸附Cu2+、Pb2+和Ni2+的量(qt)与t1/2时间的关系。(b)使用Boyd模型拟合的-ln (1-F)与纳米纤维上吸附Cu2+、Pb2+和Ni2+时间的关系。实验条件:20 mg CS-DTPA/PEO纳米纤维,初始离子浓度为500 mg L-1,搅拌速度为150 rpm。

图8.使用Langmuir和Freundlich等温模型拟合的CS-DTPA/PEO纳米纤维的平衡Cu2+(a)、Pb2+(b)和Ni2+(c)吸收容量(qe)与溶液中平衡金属离子浓度(Ce)的关系。实验条件:20 mg CS-DTPA/PEO纳米纤维,搅拌速率为150 rpm,接触时间为90分钟,初始金属离子浓度范围为50至750 mg L-1。

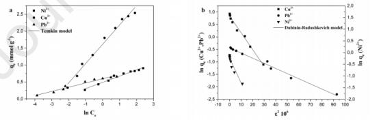
图9.(a)使用Temkin等温模型拟合的CS-DTPA/PEO纳米纤维的平衡Cu2+、Pb2+和Ni2+吸收容量(qe)与InCe的关系图。(b)使用Dubinin-Radushkevich等温模型拟合的Inqe和波尼兰势ε2的关系图。实验条件:20 mg CS-DTPA/PEO纳米纤维,150 rpm的搅拌速度和90分钟的接触时间;初始金属离子浓度范围为50至750 mg L-1。

图10.(a)CS-DTPA/PEO纳米纤维和CS/PEO纳米纤维上的竞争性Cu2+、Pb2+和Ni2+吸附。实验条件:pH=5,金属的初始浓度为200 mg L-1,100 mg CS-DTPA/PEO纳米纤维或CS/PEO纳米纤维,搅拌速度为150 rpm,接触时间为90分钟。(b)CS-DTPA/PEO纳米纤维的Cu2+、Pb2+和Ni2+回收率(%)以及吸收容量(qe)与吸附-解吸循环的关系。实验条件:初始金属离子浓度为500 mg L-1,20 mg CS-DTPA/PEO纳米纤维,搅拌速度为150 rpm,接触时间为90分钟。(c)Cu2+、Pb2+和Ni2+在CS-DTPA/PEO纳米纤维上的可能吸附-解吸机理。
链接地址:http://www.espun.cn/News/Detail/43287
文章来源:易丝帮