
估值的标尺
作者:马喆
阅读时长:10小时
评分:5星+
一家公司的内在价值就是这家公司未来10年可以为股东创造的税后净利润总和。我不是在K线图中去找明天可能上涨的股票,而是去找未来十年有竞争力的生意。
马喆用于评判是否值得投资的一个重要时间量度是“十年回本”,也就是年化 7.18%的回报率。简单地说,一项投资是否值得,就看能不能十年回本,能够十年之内赚回本金就投,否则就不投。
对于什么是投资,沃伦·巴菲特给出了这样的定义:“投资即现在先投入一笔钱,在未来某个时间再拿回一笔更多的钱,拿回这笔钱要先扣除这个时期的通货膨胀。”
苹果公司的股票也是一种生意。 2009年的一天,我和W总坐在中关村的上岛咖啡。W总兴奋地对我说:“我要开始第二次创业了,我的公司将成为苹果(中国)的一级代理商,我代理的可是最畅销的iPhone手机啊!”我当时这样问他:“W总,既然你这么看好iPhone手机,为什么不换个思维方式,你完全可以买进苹果公司的股票啊!”记得当时W总对我的建议不置可否。
所有基于生意本身思考的是投资,否则就是投机。 我有一个论断:“每一家实体公司的老板都是用一倍市净率买进了自己公司的股票,持有10年、20年,乃至一生。”他们和二级市场买入股票的投资者没有任何本质的不同。
《穷查理宝典》和《巴菲特致股东的信》才是投资界的圣经。
什么是好生意呢?我会本能地问自己三个问题:1.投入多少?2.产出多大?3.风险多高?
喜诗糖果给沃伦·巴菲特上了一课,让巴菲特明白:“用合理的价格买进优质公司比用便宜的价格买进平庸公司更划算。”喜诗糖果让伯克希尔的投资慢慢聚焦到一个又一个好生意上。如果没有喜诗糖果,也就没有日后伯克希尔投资可口可乐的经典一笔。喜诗糖果造就了伯克希尔·哈撒韦的文化。
没有人能说得清楚股票市场明天的情绪,平庸公司股价可能会上涨,而优质公司股价可能会下跌。但长期而言,优质公司的股价一定会上涨,而平庸公司的股价也必然会下跌,这是不以投机者的意志为转移的。
时间这个朋友在牵引优质公司的股价不断上涨,地心引力在牵引平庸公司的股价不断下跌,我们才必须做时间的朋友。
人们并不是在*场赌**没赚过钱,有些人甚至曾经赚过大钱。但为什么赌徒的命运永远都是那么悲惨呢?那是因为赌徒不知道时间是*场赌**老板的朋友而不是他们的朋友。
投资需要抓主要矛盾。
腾讯不是一家游戏公司,也不是一家广告公司,更不是一个视频网站。所有的业务不过是腾讯信息高速公路上的一个又一个收费站而已。2018年,腾讯公司已经修建了一条拥有11亿用户的信息高速公路,那就是微信。似乎每个人都在用微信,人们用微信联系业务,用微信分享照片,用微信找到20年未曾谋面的老同学,用微信和远在海外留学的孩子沟通……抖音和腾讯是业务模式完全不同的互联网科技公司,抖音短视频确实冲击了腾讯某个收费站的收入,但对微信信息高速公路几乎没有什么影响。
投资并不需要高学历,也不需要高智商。投资只需要我们冷静下来,回归常识。人们在资本市场迷失了方向,只因为我们身上的动物基因在作怪。
因为投资就是生意,所以投资需要耐心。既然是生意,我们就不能期望在明天或下周马上赚到大把的利润;既然是生意,我们也不能总想着获取暴利。日子要一天一天地过,生意要一点一点地做,钱要一分一分地赚。真的就像农夫,需要春天播种秋天才能收获。
对于股票投资而言,不做什么比做什么更为重要。所有的麻烦都是自己找来的,所有的亏损都源于无知和贪婪。我们像查理·芒格一样反过来想一想,怎么才能让自己在股票市场亏损得血本无归呢?或许有几个办法:1.买进100倍市盈率的股票。2.买进有问题的股票。3.买进自己不懂的股票。4.像赌徒一样频繁交易股票。5.在牛市高位买股票。6.在熊市底部卖股票。当然,没有一个投资者进入股票市场的目的是让自己赔得血本无归。既然知道怎么能让自己投资失败,投资者一定记住,千万不要那样做。
重仓投资、集中投资! 我这十年买过不少股票,也犯过数次错误。但就是靠着最重要的四次重仓投资就成功地将财富扩大了十倍以上,而且我真的没觉得自己承担了多大的风险。1. 2010年买进万科A。2. 2012—2013年买进贵州茅台。3. 2018年四季度买进五粮液。4. 2019年买进腾讯。
重仓投资的好处就是利用重仓位获取最大的绝对收益。
投资中,确定性赚钱的好机会并不多,当那些千载难逢的时机出现时,投资者一定要出手更重一些。只有这样才能获得最大的绝对收益,不浪费上天赐予我们的机会。
投资股票,控制风险比获得短期收益更重要。 投资者不应对具体股票标的设定收益目标,必须小心评估投资风险。一旦发现某家公司存在巨大风险,即使这家公司同样存在股价暴涨的可能性,也应该选择放弃。这就是保守主义的投资思想。我们无法预测未来,所有投资的动作都应考虑“如果最坏的可能性发生,会怎么样?”
持有万科的六年里,刘哥曾同情地对着持股一动不动的我说:“你不能太固执,市场不是没给你机会啊!你完全可以在12元卖掉,在8元多再买回来。”是的,我完全可以选择那样做。但如果因此赔了钱,会让我不能原谅自己。如果赚了钱,更可能让我把投机炒股当成习惯,我的人生可能彻底就完了。 永远不投机炒股,永远不买进有问题的公司,永远不买进高估的股票,这都是我进入股票市场时就给自己定下的原则。我可以接受失败,但不能忍受自己失去原则。
我深深地知道,对一个人最致命的一击就是用错误的方法赚了大钱。
我们的每一个投资决定,都不仅仅是为了未来几年能赚多少钱,而是为了不管在什么情况下,永远不能丢失掉我们的本钱。
每一只股票背后都有一家实实在在的公司,这家公司的内在价值由其可持续的盈利能力和可清算的账面资产价值决定。 投资者与投机者的区别在于:投资者以内在价值为锚,而投机者以股价为锚。估值的标尺是测量内在价值而非预测股价的工具。
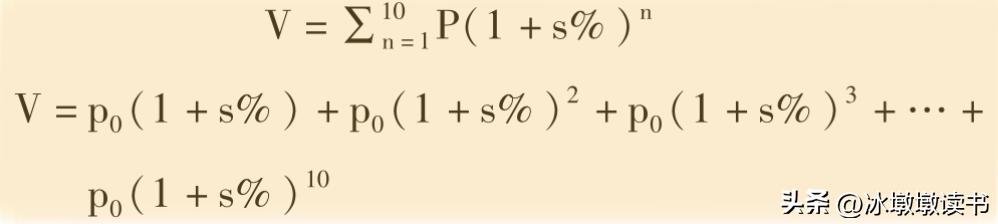
一家公司的内在价值就是这家公司未来10年可以为股东创造的税后净利润总和。
中国公司的平均净资产收益率水平略低于美国公司。我们上市公司整体净资产收益率常年在10%上下波动。这意味着,如果我们用1倍市净率买进沪深指数的所有公司,股东平均回收成本的时间大概就在10年左右。
一家在未来十年盈利能力几乎没有变化的公司,其内在价值V相当于未来十年平均税后净利润的10倍。
一家公司在未来十年税后净利润保持复合增长s%,这家公司的内在价值为:

例如:一家净利润保持十年复合增长5%的小型中药公司的合理市盈率就应该在13.21倍左右。这意味着您用13.21倍买进这家小型中药公司股票,这个生意回收成本的时间正好是10年左右。
如果我们找到了一家品质极其优质的公司,其未来10年净利润的复合增长率高达25%,这家公司现在的内在价值就应该在市盈率41.57倍左右。
估值的标尺中的税后净利润并不是公司报表税后净利润,而是“真实的净利润”。
投资者不能拿着上市公司交给我们的税后净利润使用估值的标尺。我们需要评估出真实的净利润。在很多情况下,自由现金流更贴近于“估值的标尺”中的“真实的净利润”。自由现金流等于税后净利润加上折旧、摊销等非现金支出再减去维持性增量营运资本支出和维持性资本支出。
估值的标尺是基于“投资就是生意”测量企业内在价值的模型,估值的标尺测量的时间维度是10年。
估值的标尺虽不能绝对精准反映一家公司的内在价值,但不失是一种模糊正确的可操作估值方法。 我也会为自己买入股票留出严格的安全边际,这样可能会放过一些投资机会,但保证了我们持仓的足够安全。
自由现金流贴现公式(DCF)是计算企业内在价值的标准答案。但为标准答案设定的假设数值非常不严谨,不同假设数值计算出的企业内在价值的结果相差甚远。估值的标尺是一把模糊的标尺。但估值的标尺诚实地承认很少有人说得清楚10年以后的事情。 估值的标尺把自己观测企业的时间放在10年以内,用自己“模糊的精确”避免“精确的错误”。
从三个维度进行定量分析:1.历史发展比较维度。2.竞争对手比较维度。3.不同行业比较维度。
我们在分析财务报表时,有三个非常重要的指标,这三个指标肯定是越高越好,越稳定越好。如果持有一家公司20年以上,我们的最终收益率几乎和这家公司的长期净资产收益率趋近。
1.毛利率:代表一家公司产品的获利能力。毛利率=毛利润/营业收入 2.税前利润率:代表一家公司扣除运营费用后的主营业务获利能力。税前利润率=税前利润/营业收入 3.净资产收益率:代表股东回报率。净资产收益率=净利润/股东权益
投资者在评估利润表时,应该挤掉主营业务以外的一次性非经常性损益。投资者应该特别小心非经常性收益在报表利润中占比过高的公司。
股价总是会围绕内在价值波动,而影响公司内在价值的因素是持续的盈利能力和可清算的账面资产。
内在价值高低是由公司商业模式决定的,而估值的标尺只是测量内在价值的工具。
贵州茅台拥有绝对的产品定价权,2000—2019年,茅台酒出厂价从185元提升至969元,年复合提价速度为9.11%。“预收款销售+提价”是极少数优质公司才能拥有的权利。投资者要做的,就是找到像茅台酒一样最棒的生意。
股票市场牛熊变化就像春夏秋冬季节交替一样,再正常不过了。即使是优质公司,也会因为熊市情绪的低落出现股价暴跌。像冬天掉光了树叶的大树,一根根光秃秃的树枝总会让人心情压抑。人类是结果导向的动物,因为牛市中账户市值的激增,会天真地认为未来的生活会更加美好。也会因为光秃秃的树枝感叹冬季的漫长。其实,即使是冬天,只要大树埋在土里的树根是健康的,大树一定就是健康的。冬去春来,树枝上还会重新长出嫩绿的树芽。冬天是最好的投资季节,是用合理的价格买进拥有优秀商业模式公司股权的最好时机。
“不懂的不做,没有把握不买”是股票投资的重要原则。
高市盈率不一定代表高估值,但一定代表更高的不确定性。
估值的标尺告诉我们,一家公司的内在价值是由其可持续的盈利能力和可清算的账面资产决定的。
价格是一种安全边际,品质也是一种安全边际。投资者用0.5元买进现在内在价值1元的股票,少付出的0.5元是股票投资中价格的安全边际。投资者持有的优质公司股票,内在价值从现在的1元增长到十年后的2元是品质的安全边际。
“用合理的价格买进优质公司的股权,长期持有获得合理的回报。”阐述了投资股票中的两种安全边际。
短期套利投资者利用当下股价低于内在价值足够大的安全边际获利,长期投资者利用股票内在价值的重心提升获利。十年后的股票价格不光取决于那时的内在价值,还取决于十年后的市场情绪。
投资者以内在价值为锚,而投机者以股价为锚。估值的标尺是测量内在价值而非预测股价的工具。
买入价格计算公式内在价值与买入价格也是完全不同的概念,专业投资者只有在内在价值基础上为买入价格预留出足够的安全边际才能确保获利,而买入价格和品质是两种不同的安全边际。我们可以设计一个数学公式:
P=V(1+sv%)n/(1+sp%)n
式中,P是买入价格;V是当下内在价值;sv%是内在价值复合增长率;sp%是预期复合收益率;n是投资年限。
内在价值与买入价格也是完全不同的概念,专业投资者只有在内在价值基础上为买入价格预留出足够的安全边际才能确保获利,而买入价格和品质是两种不同的安全边际。我们可以设计一个数学公式:P=V(1+sv%)n/(1+sp%)n式中,P是买入价格;V是当下内在价值;sv%是内在价值复合增长率;sp%是预期复合收益率;n是投资年限。
投资者买进股票时,对平庸的公司要预留更大的价格安全边际,而优质的公司可以预留更少的安全边际,因为优质也是一种安全边际。
投资者不知道钟摆的摆动方向和幅度,更无法左右钟摆的摆动。我们需要做的就是克服自己身上的动物本性,不要让我们的情绪随着钟摆同步摆动。学会像沃伦·巴菲特一样“在别人贪婪的时候恐惧,在别人恐惧的时候贪婪”。
股票市场赚两类钱:1.内在价值提升的钱。比如2009—2018年,五粮液合计每股赚了18.99元。那么2008年末其内在价值就是18.99元。如果2019年末其内在价值提升至100元,投资者可以赚到81.01元。2.市场情绪的钱。因为熊市,2008年末五粮液的股价只有13.34元,低于内在价值18.99元有5.65元。而2019年7月125元的股价又高于2019年末内在价值100元有25元。这样有30.65元是投资者赚了别人恐惧和贪婪的钱。
沃伦·巴菲特早就看出了这里面的秘密。他告诉我们他的方法:“用100万美元买入现在值200万美元,但五年后值400万美元的股票。”
就时间而言,我更在意企业3~5年的长期表现,而不是下个季报的经营变化。就本质而言,我更看重企业的内在价值而非股价。我们从上市公司的报表数据比较中可以清晰地看出,招商银行在如下三个方面具备相较其他三家股份制银行的优势:1.存款端的成本优势。2.*款贷**端的风险控制优势。3.资本充足率的优势。
查理·芒格用本杰明·富兰克林的一句话告诉了我们答案:“如果你想要说服别人,要诉诸利益,而非诉诸理性。”
1980年,理查德·泰勒教授提出一个心理学概念——禀赋效应,是指一个人一旦拥有某件物品,那么他对该物品价值的评价要比没拥有时大大增加。禀赋效应是由人类与生俱来的自视过高基因决定的。应该说,每个人或多或少都有禀赋效应。 投资者要想在残酷的股票市场生存,就必须战胜包括禀赋效应在内的人性障碍。我们应该理性、客观地看待手中的股票,不管是否拥有股票,都应该用开放的心态看待坏消息和批评。
成熟投资者与不成熟投资者的区别就在于对待错误的不同态度。伯克希尔·哈撒韦的两位智者特别喜欢谈论自己犯过的错误,他们还喜欢给伯克希尔带来坏消息的人:“快跟我说说,还有什么坏消息吧!”坏消息本身和信使是两个不同的概念,带来坏消息的信使是投资者们的朋友,对股票投资起着非常重要的检查清单作用。
我在2013年几乎以成本价8元的价格卖出了苏宁的股票,同时买进了150元的贵州茅台股票。我记得,苏宁的股价在我卖出后从8元涨到了14元,而贵州茅台同期股价从150元跌到了130元。但我当时就知道,自己的行动是对的。我知道承认错误是一种优秀品质,但我还是因为投资苏宁电器,足足浪费了两年的时间。
投资者对财务报表的解读和商业模式的剖析只是股票市场生存的基本功,而人性的博弈最终决定着投资结果。我们在股票市场待得越久,就越明白:“投资者在股票市场上赚到的每一分钱都是应该赚的,而投机者赔掉的每一分钱也是应该赔的。”几乎所有的投资失败无一不源于内心的贪婪。投资是一场修行,只有心无杂念才能取得成功。
投资者对财务报表的解读和商业模式的剖析只是股票市场生存的基本功,而人性的博弈最终决定着投资结果。投资者对财务报表的解读和商业模式的剖析只是股票市场生存的基本功,而人性的博弈最终决定着投资结果。我们在股票市场待得越久,就越明白:“投资者在股票市场上赚到的每一分钱都是应该赚的,而投机者赔掉的每一分钱也是应该赔的。”几乎所有的投资失败无一不源于内心的贪婪。投资是一场修行,只有心无杂念才能取得成功。
沃伦·巴菲特的伟大并不在于他在股票市场赚取了近1000亿美元,而是他用自己干干净净的赚钱方式告诉所有人:“资本市场不是尔虞我诈和巧取豪夺,而是公平和冷血的博弈。”
股票市场对人最大的考验不是对企业的定量和定性分析,而是对人性的挑战。人类祖先遗传下来的动物基因决定了人们在股票市场很难有耐心,面对股价的波动又常常表现出贪婪和恐惧。
附录
深夜儿子已经入睡后,我常常失眠,思考着未来靠什么养活自己的家庭。偶然的机会,我了解了巴菲特的投资思想,也就是那么五分钟,我就变成了奥马哈先知的忠实信徒。年幼时对数学和历史课程的痴迷,加上多年运营企业的体验,让我自然而然地接受了价值投资。成功的投资可以让熟睡的孩子过上幸福的生活,还可以让我自由自在地追逐心中的梦想。
五年投资总结的最后,让我们回到沃伦·巴菲特的教诲: 用合理的价格买入优质公司股权,长期持有,获得合理的回报。
前几天,一个朋友问我:“你做投资会赚很多钱,但你生活的意义是什么,仅仅就是为了赚钱吗?”我这样告诉他:“投资可以让我养活自己的儿子,让家人过上体面、安全的生活。投资可以让我在不求人办事的状态下赚到钱,让我可以自由自在地呼吸。我喜欢那种感觉。当然,我也希望用我的故事影响那些刚刚步入社会的年轻人,告诉他们还有一种干干净净的赚钱方式,不用去搞人际关系,不用去学习权钱交易,不用去讨好任何人。哪怕只有一个年轻人因为我而没有被不健康的社会风气污染,那也算我尽到了一份社会责任。”