最近,妻子张阿姨发现自己的丈夫老陈似乎有些不对劲,整天都扳着一张脸,多番追问之下,老陈总算道出了实情。事情的起因是一个星期前,老陈多次试探性的跟妻子提出想要进行夫妻交流的想法,可每次都被妻子给无情拒绝了。
妻子的理由是,两人已经四五十岁了,不像年轻时那样精力旺盛了,这种年轻人的活动,已经跟他们没关系了。
而老陈被多次浇冷水之后,也没有再提过这件事了,只是不知道是因为赌气还是什么原因,老陈总是避免跟妻子交流,两人每天除了吃饭睡觉待在一起,其他时间老陈不是看短视频,就是出门遛弯。
张阿姨担心两人的感情出现隔阂,便主动找老陈沟通,在得知老陈生气的原因后,妻子也有些无奈。

那么,事实真的像张阿姨说的那样吗?人不再年轻后就应该放弃夫妻生活吗?我们来听听医生是怎么说的。
一、夫妻生活只是年轻人的专属吗?人到中年还需要吗?
在我们的潜意识里,夫妻生活似乎只是年轻人的专属,有的人甚至认为,人在到了一定的年纪后是不需要这种行为的,那么事实是这样吗?
根据调查数据显示:在我国,55-60岁的老年人中有53%的夫妻每月至少有一次夫妻生活,有39%的夫妻可以达到每月三次。而在国外,70%的68岁男性和25%的78岁男性,依然保持着规律的夫妻生活。
由上述数据可以看出,人到中年以后仍有很大一部分人依然保持夫妻生活,而上了年纪保持夫妻生活并不是一个对与错的话题,而是根据自身的需求,合理调节的一种行为。

从心理健康角度来看,和谐的夫妻生活可以刺激人体分泌多巴胺等影响情绪激素得分泌,这其中大家对于多巴胺可能更熟悉,作为一种神经递质,它能作用于中枢以及外周,对于情绪以及身体状态的调节具有重要作用。
另外,多巴胺能够使心脏β受体兴奋,进而增加心肌收缩力,增加心排血量,促进血管收缩,升高血压。目前,临床上已将多巴胺应用于辅助治疗心肌梗死、心力衰竭、创伤等引起的休克综合征等心脏疾病。由此可见,和谐的夫妻生活产生的多巴胺,对于人体也有着重要作用。
从生理健康角度来看,在夫妻生活的过程中,双方都需要一定的体力支持。一场夫妻运动相当于低强度的有氧运动,约等于20分钟走5公里的运动量。在这一过程中心脏和肌肉等也会得到相应的锻炼,在和谐夫妻关系的基础上还能够保持生殖系统的正常功能,对预防男性前列腺增生等健康问题有着显著效果。
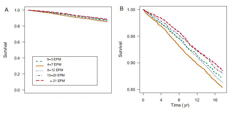
美国哈弗大学的研究人员在" European Urology "期刊上发表的一篇名为" Ejaculation Frequency and Risk of Prostate Cancer:Updated Results with an Additional Decade of Follow-up "的研究论文中提到:男性每个月21次以上的射精次数,可以降低前列腺癌的患病风险。

在这项研究中,包含31925名不同年龄层次的男性参与者,分别为20-29岁、40-49岁。研究人员将参与者分为五组并记录他们的每月射精次数。最终数据显示,20-29岁的男性,当每月射精次数大于21次时,患前列腺癌的风险会降低19%,而在40-49岁的男性中,患前列腺癌的风险直接降低22%。

并且,在这长达18年的随访期间,其间确诊为前列腺癌的有3839例,也就是说,在夫妻交流频率较高的男性中,确诊为前列腺癌的可能性要小很多。
然而,射精频率与前列腺癌之间是否存在准确的联系,依然是研究团队的长期研究目标。我们不可将前列腺癌的发病原因全都归结于不良的夫妻生活,更不应该为了避免患前列腺癌而一味的认准这一条途径。
总之,养成良好的生活习惯,在考虑自身状况的情况下进行健康的夫妻生活,即使是中年以上也能和谐又融洽。

当然,想要夫妻生活和谐融洽,其中的注意事项也是不可忽视的!下面这几点一定要特别注意。
二、想要夫妻生活和谐,这几点需要注意!
①注意频率适度
许多感情好的夫妻总是会情不自禁的来一些身体接触,虽然说夫妻生活是拉近此次关系最简单直接的方式,但也要注意适度。
老话常说,男性是欲望的化身,更何况是面对自己的爱人,这种翻涌而上的欲望就更加不可控制了。要知道男性的欲望是靠*丸睾**源源不断的分泌睾酮来支撑的,许多研究证明,男性欲望与睾酮水平之间存在重要的相关作用。
也就是说,如果男性对自己的欲望不加以控制的话,睾酮在高频率的分泌速度下,就会出现“疲劳”现象。常表现为睾酮水平降低、精子活力下降等问题,时间长了还可能会诱发精囊炎、附睾及*丸睾**炎等疾病。

相同,女性的欲望是依靠雌激素来实现的,都说雌激素是女性的第一大激素,一切相关的女性特征以及子宫和卵巢等的健康都跟它息息相关。
正常情况下,雌激素和女性的内分泌之间存在一种相辅相成的平衡状态,可如果一味的追求刺激,就会使雌激素分泌过多,从而降低身体其他激素的水平,造成内分泌失调等问题。广东省中医院芳村乳腺科副主任医师刘晓雁表示:高水平的雌激素会延长对乳腺上皮的刺激,增加女性患乳腺癌的风险。

因此,夫妻双方应根据自身体质和年龄来合理安排夫妻生活的频率,对于年轻夫妻来说,一周可以安排个2~3次,但对于中老年夫妻来说,一周一次或者2周一次,不要一味的追求一时的舒服而忽略健康问题。
②注意卫生
夫妻生活是一个极度亲密的行为,同样也是最容易发生交叉感染的行为,这时候,卫生清洁就起着至关重要的作用了。
首先是女性,由于女性生殖器官处褶皱比较多,是许多细菌和微生物的安身之所,再加上经血和白带等分泌物中含有大量的蛋白质类营养物质,若清洁工作不到位,就会沦为细菌和微生物快速繁殖的巢穴。
另外,夫妻生活会促使女性分泌物增量,因此这时候的清洁也显得至关重要,一不小心,病原菌很有可能在夫妻生活过程中经阴道进入子宫腔内,引起子宫内膜感染等一系列问题。

其次,男性的生殖器官也会产生一种名为包皮垢的分泌物,顾名思义,包皮就是它的藏身的“宝地”。如果不注意清理,这种分泌物只会越堆积越多,在进行夫妻生活时男性的体温会随之升高,器官和包皮之间会形成一个温热、潮湿的培养基。当细菌沿生殖器官上行感染时,前列腺炎、泌尿系统疾病通通都会找上门来,不仅对男性的健康不利,还可能在夫妻生活的过程中对另一半造成交叉感染。

所以,建议夫妻双方在亲密行为前后都注意卫生清洁工作,不单单是为自己的健康着想,也是对彼此的健康负责。
③注意避孕
避孕,对于没有做好要孩子的准备的夫妻来说,是必不可少的一步,但往往有很多夫妻明知不可为而为之,抱着侥幸心理去追求刺激,殊不知这种行为是非常危险的。
最直接的后果就是意外怀孕,而结果要么是生下来,要么就是人流,先不说意外怀孕的精子质量是否合格,人流对女性的危害可想而知。医学上的人流是通过负压吸宫将孕囊剥离出子宫以外,这整个过程在药物、器械以及人工的*力暴**干扰下,会使女性的子宫内膜变薄,严重的可能还会导致子宫穿孔。

因此,建议不论是生育过还是没有生育打算的夫妻,一定要做好避孕措施,这种看似亲密无间、刺激无比的行为,损害的可能是另一半无价的健康。
说了这么多,归根结底就是在保证双方健康的前提下,适当的进行夫妻生活才是最有益的。上了年纪,其实女性更容易受到妇科疾病的影响,那么,关于女性阴道该如何保护,大家都知道多少呢?
三、保护阴道有妙招,女性朋友早知道早受益!
☛首先是保持私密局部清爽干燥。众所周知,潮湿温暖的环境是细菌的温床,而健康的女性每天都会分泌一定量的白带等分泌物。再加上女性的尿道口距离阴道口十分的近,尿液残留于*裤内**上也是无可避免的事。
而这些物质大多是机体的废弃物质,含有大量的细菌和微生物,如果不及时换洗*裤内**,细菌和微生物就会在*裤内**上大量繁殖,久而久之,阴道炎等妇科问题就会自动找上门来了。
所以,女性朋友更应该注意自己的局部 卫生,做好日常的清洁换洗工作,保持清爽干燥。

☛其次是少穿紧身裤。许多爱美的女性为了凸显自己的身材,可以说是紧身裤的忠实粉丝。而她们不知道的是,大部分紧身裤的材质是由尼龙、涤纶和棉交织而成的合成面料,虽然具有一定的弹性,却十分的不耐热和不透气。更何况,女性的私密处汗腺多且活跃,如果长时间穿不透气的裤子很可能导致阴道分泌物和汗液不易散发而滋生细菌,长期如此,容易引发阴道炎和其他妇科疾病。
因此,建议女性朋友合理爱美,平时多穿宽松透气的裤子,保持下半身血液流畅,避免对阴道造成不必要的伤害。

☛最后要定期做妇科检查。对女性朋友而言,妇科疾病永远是一个令人头疼的问题。不卫生的生活习惯、不健康的夫妻生活都会给病原菌入侵生殖器官开通捷径,引发炎症和阴道内微环境的改变。并且,由于女性阴道部位的痛感神经非常少,很多女性习惯性的用身体发出的疼痛信号来判断自己是否生病。
然而,像卵巢癌这种肿瘤性的妇科疾病通常在早期却是没有任何症状的,等出现症状时往往已经到晚期了。因此,临床上建议60岁之前的女性每年至少保持一次妇科检查,别等到身体承受不住而发出信号时,才懊恼为时已晚。

结语
夫妻生活是一个亲密而又复杂的词,它的复杂点在于如果没有掌握好正确的方式,它不仅拉近不了双方的关系,还有可能损害健康,使彼此的距离更远。所以,控制夫妻生活的频率、前后注意卫生清洁、合理避孕都是夫妻生活的保鲜诀窍。
除此之外,更应该注意的是女性朋友的*处私**健康,保持*处私**的清爽干燥、定期做妇科检查,以及平时少穿紧身裤,多选择一些宽松透气的裤子。只有在健康的前提下,夫妻生活才能更加和谐。
参考文献
[1] 魏威,张宁,赵莹莹.禁欲时间对男性精子质量的影响[J].中国性科学,2022,31(07):12-15.
[2] 每月多少次夫妻生活最健康?哈佛大学:21次,降低前列腺癌风险.医诺维.2023-02-20.
[3] 陈日益《夫妻生活时应注意安全》健康生活.2023-02-01.
#头条创作挑战赛#