黑洞与广义相对论有着天生的亲缘关系,当德国物理学家史瓦西1915年得到引力场方程的第一个精确解时,人们就发现在这个被称为史瓦西解的数学模型中,包含着两个非常明显的奇异性,一个是史瓦西半径面上的奇异性——后来被称为史瓦西视界,另一个则是黑洞中心点的奇异性——黑洞奇点。
在前几篇科普文章中,我们已经对史瓦西视界上的奇异性有了很多的了解。今天聊到黑洞奇点的奇异性,为方便表述,下面的全部讨论都将建立在静态球对称的史瓦西黑洞上。

黑洞奇点(0体积,也不是白的)
黑洞奇点的体积是0,仅仅凭借这一点就可看出,指挥着宇宙大尺度范围内天体运行及时空变化的广义相对论,也是可以生成如量子场论中的点粒子一样的模型的。这意味着,黑洞奇点是广义相对论与描述微观世界的量子力学很好的一个结合点。
但是,我们在这篇文章中需要明确指出的则恰恰相反,黑洞奇点不但在广义相对论的数学形式上具有奇异性或失效性,它在量子力学的基本原理上也属于一种奇异性的特例。
为更直接地理解黑洞奇点的数学形式,我们先来介绍时空的四维表述。
时空的四维形式
在爱因斯坦的广义相对论中,时间、空间是被统一为四维连续体的。就是说,时间这个维度,被确定性的“距离化”而加入到三维空间中。

弯曲的四维时空模拟(二维画面模拟图)
我们知道,在真空中光速总是恒定不变的(2.998×10∧8m/s),这是时空的对速度的基本限定,因此时间要想“距离化”就必须对其乘以光速,即c×t(c为光速,t为时间)。
接下来我们要做的是定义出四维时空的“距离”(这在广义相对论中被假定为一个不因参考系变换而发生变化的量),s∧2=c∧2t∧2-x∧2-y∧2-z∧2(x、y、z为三维空间坐标,s为四维时空中两点的距离)。当以微分的形式表述出来时,时空弧元(四维时空中无限接近的两点间的距离)ds∧2=c∧2dt∧2-dx∧2-dy∧2-dz∧2(d为微分符号,例如dt表示时间t的无穷小增量,dt∧2表示这个无穷小增量的平方,而不是时间平方的无穷小增量)。
对于上述微分式,很容易看出右边各项的系数全部为1,它们代表着欧式四维时空的平直度规(度规是时空弧元表达式中右边四个项的系数,它们为1时,代表时空的平直性,不为1时,代表时间或空间的弯曲程度),还可以看出这个四维时空弧元的表述是与三维欧式空间中距离的表述式相类似的,唯一的差别只是后面三项的负号。
黑洞奇点的数学奇异性
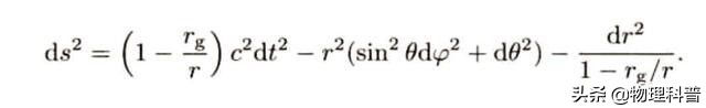
史瓦西在对静态球对称黑洞进行引力场方程求解时,为方便,引入了球坐标(r,θ,φ),得到的时空弧元为

球坐标示意图

静态球对称引力场的史瓦西解
上式中的ds为四维时空的弧元,rg为史瓦西半径,也就是视界到黑洞中心奇点(球坐标原点)的距离。
当我们在黑洞的视界内部,选取一条径向路线,使得dθ,dφ全部为0,右边第二项则会变为0,这时会发现时空度规仅仅剩下两项(原来的第一项和第三项),第一项c∧2dt∧2的系数为时间度规,第二项dr∧2的系数为空间径向度规,参见下面两图。

时间度规

空间径向度规
首先我们会发现,时间度规与空间径向度规互为倒数且正负号会颠倒,这可以认为是黑洞视界内部时间与空间的相互“转化”。
在黑洞的中心奇点处r=0,我们看到空间径向坐标dr∧2的系数即空间径向度规为0,这代表着空间在奇点上处于无限压缩的状态,也就是所有进入黑洞奇点的物质其体积都会变为0;而时间坐标c∧2dt∧2的系数即时间度规变为负无穷大,这意味着时间在黑洞奇点处失去了应有的物理意义。
总体来说,黑洞奇点处的时空将会发生无限大的弯曲,其体积为0,质量密度自然也会无限大。这让我们在广义相对论的数学形式上非常清晰地看到了黑洞奇点的奇异性或非真实性。
不确定性原理的失效
黑洞奇点的奇异性还远远不止上面所讨论的这些。因为黑洞奇点的体积为0,但确确实实地具备着一定的质量,考虑量子力学中尤其在场论中粒子被视为0体积质点的观点,我们容易想到黑洞奇点在原则上应该服从量子力学规律对于点粒子的约束。
量子力学最重要的基本原理之一是海森堡的不确定性原理——粒子的位置与动量不可能同时具有准确的数值,其不确定度的乘积不会小于约化普朗克常数的一半。

不确定性关系式
当我们仍然选取以黑洞中心奇点为原点的球坐标时,会立即发现更让人不安的事情。由于黑洞奇点上总是蕴含着能量(质量),任何到达黑洞奇点处的物质总是由基本粒子组成的,而这些粒子只要能量不会凭空消失(实际上能量确实是不可能消失的),最终在奇点上粒子哪怕不断经历着无限大曲率的时空弯曲,其能量仍应以粒子的形式存在。
当我们选取奇点上任意一个粒子A,可以确定的是A的位置在黑洞的球坐标上是完全确定的,这就意味着粒子A的位置不确定度△x是0。那么粒子A的动量呢?
在黑洞的球坐标系上,A一直处于坐标原点处,即使它的质量再大,其动量都是0,也就是说其动量的不确定度△p为0。
这时候我们发现,对于奇点上的粒子A来说,其位置不确定度△x与动量不确定度△p的乘积△x△p严格为0,是完完全全小于约化普朗克常数的一半的。而这种完全确定的粒子状态在量子力学中是不可想象的。
终于,我们看到了黑洞奇点也将不确定性原理打破了。
黑洞奇点上奇异性的本质原因
看到这里,我们禁不住要问,黑洞奇点真的存在吗?为什么它会由广义相对论派生出来,又使广义相对论所依赖的时空背景失效?为什么它连量子力学中的不确定性原理也打破了?

无穷大示意图
这一切的原因,我们可以归结为“无穷”的出现!
正是因为无穷小体积的出现、无穷大的时空曲率的出现,使得广义相对论的数学形式在黑洞奇点上失效了,并进一步使得粒子被严格局限在黑洞奇点上以至于打破了量子力学中的不确定性关系。
至于黑洞奇点到底是否只是一个数学形式上的演绎,目前不得而知,这一切的谜底唯有我们彻底将量子力学与广义相对论融合在一个完整自洽的理论体系中以后才能解开!就让我们拭目以待吧!