一.计算题(共45个小题)
1.用氢气还原氧化铜的方法测定某氧化铜样品的纯度(杂质不与氢气反应),同学们设计了以下实验装置。准确称取15g干燥样品进行实验。

(1)该实验中,装置乙的作用是
(2)准确称取完全反应前后装置丙和丁的质量如表:
|
装置丙 |
装置丁 |
|
|
反应前 |
48.8g |
161.2g |
|
反应后 |
46.5g |
163.9g |
(2)小明根据装置丙减少的质量就是氧元素质量,求得氧化铜的质量为 g,氧化铜的纯度为 %。
(3)小丽想根据装置丁的质量变化进行计算,请帮小丽求出氧化铜样品的纯度。(写出计算过程)
(4)比较小明和小丽的计算结果,请分析导致这一结果的原因可能是 。
A.装置的气密性不好 B.空气中的水分被丁处浓硫酸吸收
C.通入的氢气量不足 D.空气中的二氧化碳被丁处浓硫酸吸收。
2.同学们利用如图所示装置进行气体的制备实验(A~E为装置编号)。

(1)写出图中标示的仪器名称:① ,② 。
(2)实验室用高锰酸钾制取氧气的化学方程式为 ,可选用的发生装置是 。
(3)如果用E装置收集到的氧气不纯,可能原因是 (写出一种)。
(4)实验室用锌粒和稀盐酸制取氢气的化学方程式为 ,可选用B为发生装置,如果用注射器替换仪器②,其优点是 。
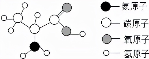
(5)用质量分数为20%的盐酸与足量大理石反应,消耗73g盐酸,最多可生成二氧化碳的质量是多少?(根据化学方程式进行计算,在答题纸上写出计算过程)
3.现有200g质量分数为10%的硝酸钠溶液,要使该溶液的溶质质量分数提高到15%。
求:需要向此溶液中加入固体硝酸钠多少g?(精确到小数点后一位)
4.某工厂在装配一件设备时,不小心把一个用镁合金制造的精密空心小球掉到一个又深、又小的坚固的水泥小洞中(该小球的密度为1.64×103kg/m3),用各种工具都取不出来,有人提出往小洞中倒入某种溶液使小球浮起的方法。现有两种物质的溶解度数据
|
温度(℃) |
20 |
40 |
60 |
80 |
100 |
|
硝酸钾 |
31.6 |
64.0 |
110.0 |
169.0 |
246.0 |
|
氯化钾 |
34.0 |
40.0 |
45.0 |
51.1 |
56.7 |
(1)在保证不损坏小球的前提下,理论上可以用上表中 物质配制成溶液,倒入小洞中使小球浮起。(溶质溶于水后,溶液的体积变化忽略不计)
(2)该溶液的最低温度应保持在 ℃以上
(3)在以上计算所得的最低温度时,该饱和溶液溶质的质量分数是多少?(结果保留两位小数)
5.现有16 g Fe2O3和CuO的混合物,进行如下实验:把混合物全部加入到100 g足量的硫酸溶液中,完全溶解。然后滴加150 g 16%的氢氧化钠溶液,沉淀质量不再改变。试计算所用硫酸溶液溶质的质量分数。
6.金属用途广泛,其结构和性质等是化学的重要研究内容。

(1)某化学小组用一定量AgNO3和Al(NO3)3混合溶液进行了如图1实验,已知溶液甲呈蓝色,向固体乙上滴加盐酸时 (填“有”或“没有”)气泡产生。
①溶液甲中一定含有哪些溶质? (写化学式)
②请写出该实验过程中所发生反应的化学方程式 。
(2)如图2是工业炼铁示意图。其中,焦炭的作用是燃烧能量提供 和 ;铁生成的化学方程式为 。
(3)某工厂利用废铁屑与废硫酸起反应来制取硫酸亚铁。现有废硫酸(溶质质量分数为10%)49t,与足量废铁屑起反应,可生产硫酸亚铁的质量是多少?
7.Cu与Zn的合金称为黄铜,有优良的导热性和耐腐蚀性,可用作各种仪器零件。某化学兴趣小组的同学为了测定某黄铜的组成,取20g该黄铜样品于烧杯中,向其中分5次加入相同溶质质量分数的稀硫酸,使之充分反应。每次所用稀硫酸的质量及剩余固体的质量记录于下表:
|
加入稀硫酸的质量(g) |
充分反应后剩余固体的质量(g) |
|
|
第1次 |
40 |
m |
|
第2次 |
40 |
14.8 |
|
第3次 |
40 |
12.2 |
|
第4次 |
40 |
11.2 |
|
第5次 |
40 |
11.2 |
试着回答下列问题:
(1)从以上数据可知,最后剩余的11.2g固体的成分是 ;表格中,m= 。
(2)黄铜样品中锌的质量分数为 。
(3)计算所用稀硫酸中硫酸的质量分数是多少?
(4)配制100g该浓度的稀硫酸需要的质量分数为98%浓硫酸的质量是多少?
8.居里夫人在1898年从铀盐废料中提炼出镭。镭是具有放射性,会裂变成一个质子数为86,中子数为136的氡原子和一个具有2个质子和2个中子的氦原子,并放出热量,则镭原子的质子数为 ,相对原子质量为 。
9.新药左旋氧氟沙星(C18H20FN3O4)可用于治疗敏感菌引起的呼吸道感染,其说明书中部分内容如图。
(1)左旋氧氟沙星由 种元素组成,属于 (填“有机物”或“无机物”)。
(2)左旋氧氟沙星中氧元素的质量分数是 (精确到0.1%)。
(3)成人呼吸道感染患者,一个疗程最少应服用左旋氧氟沙星 g。
(4)从保存方法看,左旋氧氟沙星可能具有 的化学性质。

10.一个铁原子的质量是9.288×10﹣26kg,一个碳﹣12原子的质量为1.993×10﹣26kg,请写出计算铁原子的相对原子质量.(要求写出计算过程,计算结果保留整数)
11.钙是人体必需的元素,如图是市售某补钙药品的部分说明书。请回答:
①CaCO3的相对分子质量为 ;
②CaCO3中Ca,C,O三种元素质量比为 ;
③CaCO3中钙元素的质量分数为 ;
④如果按用量服用,则每天摄入钙元素的质量为 g。
⑤若服用含10gCaCO3的药物,与 g葡萄糖酸钙。[化学式Ca(C6H11O7)2,相对分子质量430]中钙元素的质量相等。

12.与其他食品中的钙相比,牛奶是最优质的钙来源。牛奶中的钙约有30%为可溶性钙,在可溶性钙中约有10%为磷酸钙。磷酸钙的化学式为Ca3(PO4)2 .请计算:
(1)磷酸钙的相对分子质量。
(2)磷酸钙中钙元素与氧元素的质量比。
(3)磷酸钙中钙元素的质量分数(精确到1%)。
(4)若每100毫升牛奶含钙元素100毫克,则100毫升牛奶含磷酸钙的质量是多少?(精确到0.1毫克)
13.取一种可燃物6.4克充分燃烧,测得生成二氧化碳8.8克,水7.2克。试求:
(1)该可燃物含有的元素各占多少克?
(2)可燃物的相对分子质量为32,通过计算,写出该可燃物的化学式。
14.某同学用一定溶质质量分数的稀硫酸做“氧化铜+硫酸→硫酸铜+水”的实验,其五次实验结果如下表所示:
|
实验次数 |
氧化铜/g |
硫酸溶液/g |
硫酸铜/g |
|
1 |
2.0 |
120 |
4.0 |
|
2 |
4.0 |
120 |
8.0 |
|
3 |
6.0 |
120 |
9.6 |
|
4 |
8.0 |
200 |
16 |
|
5 |
10.0 |
200 |
x |
根据实验结果填写下列空格:
(1)哪几次反应氧化铜有剩余? 。
(2)哪几次反应硫酸有剩余? 。
(3)表中x的值是 。
(4)硫酸溶液中溶质的质量分数为 。
15.某化学兴趣小组的同学到化学实验室,用铝和氢氧化钠溶液反应来制备氢气。同学们取了3g纯铝片和40g一定质量分数的氢氧化钠溶液,充分反应后,铝片有剩余,称得反应后剩余物质的总质量为42.7g。试计算:
(1)生成氢气的质量是 g;
(2)所用氢氧化钠溶液的溶质质量分数为 。(提示:2Al+2NaOH+2H2O═2NaAlO2+3H2↑)
16.化学兴趣小组为了测定石灰石样品中碳酸钙的质量分数,取25g石灰石样品放在烧杯中,然后向其中逐滴加入一定量某质量分数的稀盐酸,使之与样品充分反应(杂质不参加反应).随着反应进行,加入稀盐酸的质量与反应得到气体的质量变化关系如图所示。
请计算样品中碳酸钙的质量分数是多少?(写出计算过程)

17.实验室现有硫酸镁和硫酸钠的固体混合物样品,小明同学想测定样品中硫酸镁的质量分数,先称取该混合物样品20g,完全溶于100g水中。然后取用了一定溶质质量分数的氢氧化钠溶液100 g平均分四次加入其中,充分振荡,实验所得数据见下表,请你分析并进行有关计算:
|
次数 |
1 |
2 |
3 |
4 |
|
加入氢氧化钠溶液的质量/g |
25 |
25 |
25 |
25 |
|
生成沉淀的质量/g |
2.9 |
X |
8.7 |
8.7 |
(1)上表中X的数值为 ;原固体混合物样品中硫酸镁的质量分数是 ;
(2)求恰好完全反应时,溶液中溶质的质量分数。(结果精确到0.1%)

(3)请在图中画出在20g 样品中加氢氧化钠溶液的质量与产生沉淀质量变化关系的示意图。
(4)若用氢氧化钡溶液代替氢氧化钠溶液来测定样品中硫酸镁的质量分数,是否可行?并说明理由 。
18.2016年12月份,我国华北地区出现了严重的雾霾天气。雾霾的产生,除气候因素外,煤、汽油和柴油等化石燃料的大规模使用也是一个重要因素。针对雾霾的产生原因,我市近年积极地采取了以下措施:
(1)加快燃煤企业的“煤改气”(改燃煤为燃天然气)工程。
今年,我市供暖就已经改为燃天然气了。请写出甲烷燃烧的化学方程式 。
(2)积极推进煤化工工程。
如将焦炭和水蒸气反应制取水煤气(主要成分是氢气和一氧化碳)等。请写出检验干燥的水煤气中含有碳、氢两种元素的方法(简述操作、现象及结论) 。
(3)大力治理汽车尾气污染
①用“乙醇汽油”替代“汽油”可节约石油资源、减少空气污染。写出乙醇燃烧的化学方程式 。
②对汽车尾气管加装催化装置剂,进行尾气处理。如图是治理汽车尾气反应的微观过程。其化学方程式为 。
(4)提醒市民出行注意自我防护。
如出行配戴填充活性炭的口罩等。口罩中“绵纱”和“活性炭”的作用分别是 。
(5)积极提倡使用氢能、太阳能、风能等清洁能源。
①请写出实验室制取氢气的化学方程式 。
②已知2g 氢气完全燃烧放出热量285.6kJ,16g甲烷完全燃烧放出热量809.3kJ.请计算:
用氢气作燃料比用甲烷作燃料少向空气中排放二氧化碳多少克?若取得同样多的热量需要燃烧氢气多少克?(注:燃烧均为完全燃烧)

19.生活中处处有化学,请用所学化学知识回答下列问题。
1、优质方便面的品质不仅仅是口感问题,还包括较高的营养指标。下表是某一方便面的营养成分表。试回答问题。
|
方便面营养成分表(每100g中含量) |
|||||||||
|
糖类(g) |
脂肪(g) |
蛋白质(g) |
水分(g) |
钠(mg) |
钾(mg) |
磷(mg) |
钙(mg) |
维生素C(mg) |
其他 |
|
61.6 |
21.1 |
9.5 |
3.6 |
1144 |
134 |
80 |
25 |
0 |
… |
①方便面所含的营养素主要有蛋白质、 、油脂、无机盐和水。
②由表中可知,方便面内不含维生素C(可表示为“Vc”),为了补充 Vc,平时应该多吃 。
2、如图所示为某种Vc说明书的一部分。请你回答:

①Vc中氢、氧元素质量比为 (最简整数比)。
②已知青少年每人每天需Vc约60mg,假设当Vc 完全来自图的“维生素C”时,每天至少应服用 次。
③取2片Vc溶于水,滴入紫色石蕊溶液变红色,说明其溶液显 性。
20.市场上某补钙制剂的说明书如图所示,请计算:
(1)此钙片中含葡萄糖酸钙的质量分数为 。
(2)若按说明书上用量补钙,每天补充钙的质量为 。

21.金属氢化物如氢化钙(CaH2)、氢化钠(NaH)是重要的制氢剂,与水接触 时,分别发生如下反应:CaH2+2H2O═Ca(OH)2+2H2↑,NaH+H2O═NaOH+H2↑。
(1)若用25g 某氢化钠工业样品可制得氢气 2g,请计算该氢化钠样品的纯度(样品中 NaH 的质量分数)是多少?
(2)向25g 上述氢化钠工业样品中逐渐加入水至过量,在图中画出产生氢气的曲线图。
(3)登山运动员登山时也需通过金属氢化物与水反应获得氢气以提供必须的能量。小红认为,若用 CaH2替代 NaH,有利于登山运动员减轻包袱负担。原因是: 。

22.2018 年6月6日《人民日报》微信公众号报道美军考虑派军舰穿越台湾海峡……军事上常用氢化锂( LiH)来制取氢气,反应的化学方程式为LiH+H2O═LiOH+H2↑.现将12g 氢化锂与891g 水反应,反应后所得溶液中为 LiOH 的不饱和溶液。试计算:
(1)反应后所得溶液中氧元素的质量为 g。
(2)反应后所得溶液的溶质质量分数。
(3)若将反应后的所得溶液的溶质质量分数变为10%,应加入LiOH的质量。
23.在煤中加入适量的生石灰制成供居民采暖用的“环保煤”,以减少二氧化硫的排放,减弱二氧化硫对空气的污染环保煤”燃烧时生石灰吸收二氧化硫的化学方程式为:2CaO+mSO2+O2

nCaSO4.请回答下列问题:
(1)m、n的值是 ;
(2)若煤厂一次共加入含氧化钙80%的生石灰70吨,则理论上最大可吸收二氧化硫多少吨?
24.氢能源是21世纪最具有发展潜力的清洁能源。中科院大连化物所首次实现了一种高能量效率制备高纯氢气的策略,该反应原理为:CO+H2O

H2+CO2.若制取4t氢气,则需要蒸馏水的质量为多少?
25.今年我国多地发生非洲猪瘟疫情。为防止疫情发生扩散,防疫人员使用了多种消毒剂对疫区进行环境消毒,其中亚氯酸钠(NaClO2)是一种重要的消毒剂。试计算:
(1)亚氯酸钠的相对分子质量为 。
(2)亚氯酸钠的中Na、Cl、O元素质量比为 。
(3)亚氯酸钠中氧元素的质量分数为 。
(4)若要配制质量分数为15%的亚氯酸钠溶液200kg用于环境消毒,则需要亚氯酸钠 kg,同时需要水 kg。
26.丙氨酸是形成蛋白质的一种氨基酸,如图是丙氨酸分子的模型图,根据模型图回答问题:
(1)1 个丙氨酸分子有 个原子。
(2)丙氨酸中碳、氧元素的质量比为 。
(3)丙氨酸中氮元素的质量分数为 。(精确到 0.1%)
(4)现用 25%的丙氨酸溶液配制 200g10%的丙氨酸溶液,需要 25%的丙氨酸溶液 g。

27.苹果是水果中的佼佼者,不仅因为它价廉味美,主要是多吃苹果有益身体健康。苹果中富含苹果酸,具有增强消化、降低有害胆固醇等作用。苹果酸的化学式为C4H6O5,请计算:
(1)苹果酸的相对分子质量是 ;
(2)苹果酸中碳、氧元素的质量比为 。
28.维生素C(化学式:C6H8O6)对人体皮肤和牙龈健康有重要作用,缺乏维生素C,会引起坏血病,中学生每天需要补充60mg维生素C.请阅读信息后回答:
(1)维生素C中碳、氢、氧三种元素质量比是 ;
(2)维生素C分子的相对分子质量是 。
29.蛋白质是由丙氨酸(C3H7NO2)等多种氨基酸构成的。根据丙氨酸的化学式计算:
(1)丙氨酸由 种元素组成;
(2)丙氨酸的相对分子质量为 ;
(3)丙氨酸中氮、氢元素的质量比为 ;
(4)碳元素的质量分数是 (精确到0.1%)。
30.2019年3月10日凌晨,我国在西昌卫星发射中心用长征三号乙运载火箭,成功将“中星6C”卫星发射升空,至此,长征系列运载火箭完成第300次飞行任务。科学家发现的N(NO2)3是一种新型火箭燃料,请回答下列问题:
(1)N(NO2)3中N、O原子的个数比为 ;
(2)N(NO2)3中氮元素的质量分数为 。(计算结果精确到0.1%)
31.化学家TimRichard将分子结构简式像小狗的某有机物(如图所示),取名为“小狗烯”(化学式为C26H26)。请计算:
(1)“小狗烯”的相对分子质量是 。
(2)“小狗烯”中碳元素和氢元素质量比 (填最简整数比)。
(3)含4.8g碳元素的“小狗烯”的质量为 g

32.将40g稀盐酸逐滴加入到20g溶质质量分数为4%的氢氧化钠溶液中,边滴加边搅拌。随着稀盐酸的滴加,溶液的pH变化如图。试回答:
(1)从B到C过程中,溶液的酸性逐渐 (填“增强”或“减弱”)。
(2)表示酸碱恰好完全反应的点是 (填字母)。
(3)计算稀盐酸中溶质的质量分数。

33.某实验小组用氯酸钾和二氧化锰为原料制取氧气,在试管中加入2g二氧化锰和适量氯酸钾,反应过程中测量的有关数据记录如下:
|
反应时间(min) |
0 |
1 |
2 |
3 |
4 |
|
试管中固体质量(g) |
14.25 |
12.65 |
11.05 |
9.45 |
9.45 |
(1)反应到 min时,氯酸钾就完全分解。
(2)反应完全时生成氧气的质量为 。
(3)计算剩余固体中中氯化钾的质量是多少?
34.实验室用68g过氧化氢溶液和2g二氧化锰制取氧气,实验的相关数据如图:
请回答:
(1)反应生成氧气的质量为 g。
(2)参加反应的过氧化氢的质量是多少?

35.工业盐酸中通常因溶有少量的 FeCl3而呈黄色,小红为测定某工业盐酸中 HCl 的含量进 行如下实验:取某工业盐酸 l00g,滴加一定溶质质量分数的 NaOH 溶液,测得加入 NaOH溶液质量与反应生成的沉淀质量关系如图所示,FeCl3与 NaOH 反应的化学方程式为FeCl3+3NaOH═Fe(OH)3↓+3NaCl.请回答下列问题:
(1)FeCl3与 NaOH 恰好完全反应时,生成沉淀的质量是 g;
(2)所滴加的 NaOH 溶液质量为 160 克时,溶液中的溶质是 ;
(3)该工业盐酸中 HCl 的质量分数是多少?

36.现有黄铜(Cu﹣Zn合金)26g与100g稀硫酸在烧杯中恰好完全反应,反应后测得烧杯中剩余物的总质量为125.8g。求:
(1)反应生成氢气的质量为 g。
(2)黄铜中铜的质量为多少克?
37.某工厂要用赤铁矿石(主要成分是氧化铁,假设杂质不含铁元素)来炼制生铁。若要炼制含铁96%的生铁63t,假设在炼制过程中损失10%铁元素,则理论上需要含杂质20%的赤铁矿石的质量是多少?
38.向Ba(OH)2溶液中先滴加一定量CuSO4溶液,直至沉淀质量为m克,再不断滴加H2SO4溶液。整个过程中,产生沉淀的质量与加入溶液的质量关系如图所示。
(1)a点对应溶液pH (选填“>”、“=”或“<”)7。
(2)取c点对应的溶液,不断滴加NaOH溶液,观察到的现象是 。
(3)通过计算确定m的值。

39.艾灸是点燃用艾叶制成的艾柱、艾条,熏烤人体的穴位以达到保健治病的一种中医疗法.艾草为多年生草本或略成半灌木状植物,有浓烈香气.艾草中含有丰富的黄酮素(化学式为C15H10O2).请回答:
(1)黄酮素中氢、碳、氧原子个数比为 ;
(2)黄酮素中 元素的质量分数最大.
40.酸奶中含有的乳酸对健康是有益的,乳酸的化学式为(C3H6O3),计算:
(1)乳酸中碳、氢、氧元素的质量比为 (填最简比)
(2)乳酸中氧元素的质量分数为 (计算结果精确到0.1%)
(3)若乳酸中含有12g碳元素,则该乳酸的质量为 g.
41.称取NaCl和BaCl2的固体混合物32.5g,加入100g蒸馏水,完全溶解后向该混合溶液中逐滴加入质量分数为10%的Na2SO4溶液,反应生成BaSO4沉淀的质量与所加入的Na2SO4溶液的质量关系如图所示。试回答下列问题:(提示:BaCl2+Na2SO4═BaSO4+↓+2NaCl)
(1)完全反应后生成BaSO4沉淀 g。
(2)恰好完全反应时消耗Na2SO4溶液的质量是 g。
(3)恰好完全反应时所得溶液中溶质的质量分数是多少?(精确到0.1%)

42.某碳酸钠样品中含有杂质NaCl,化学兴趣小组的同学进行了如下实验探究:称取12g样品放入烧杯中,加入稀盐酸至不再产生气泡为止,并绘制出加入稀盐酸的质量与放出气体质量的关系如图。
(1)当碳酸钠恰好完全反应时,生成CO2的质量为 g
(2)计算当盐酸与碳酸钠恰好完全反应时,所得溶液中溶质质量分数是多少?

43.截止2016年9月8日,自2015年入冬以来我省已确认4例人感染H7N9病毒,预防H7N9病毒最有效的预防方法之一就是用消毒液对禽类养殖、销售、宰杀、加工场所进行消毒。二氧化氯消毒液是国际上公认的新一代强力、安全、高效的消毒液,它能迅速、彻底杀灭各种细菌和病毒。二氧化氯消毒液瓶上的标签如下表。
|
二氧化氯消毒液1000mL |
|
|
溶质的质量分数 |
80% |
|
密度 |
1.2g/cm3 |
|
强腐蚀性,阴冷,密封储存 |
|
(1)1000毫升该二氧化氯消毒液的质量是 克:
(2)欲配制30千克质量分数为20%的稀二氧化氯消毒液用来消毒,需要多少千克这种二氧化氯消毒液和多少千克水?(写出计算过程)
44.三位同学分别用相同质量分数的稀盐酸,测定某石灰石样品中碳酸钙的质量分数(石灰石中的杂质既不与酸反应,也不溶于水)。
(1)小敏的方法可用如下流程表示,测得的碳酸钙的质量分数为 。

(2)小华取10克样品,用如图甲实验装置进行实验,反应结束后,测得B装置质量增加了4.6克,根据上述数据,算得碳酸钙的质量分数,发现与事实严重不符,造成这种情况的可能原因是 。

(3)小*用军**如图乙的实验装置进行实验,将20克稀盐酸加入到1.25克样品中,生成的CO2体积与反应时间的关系如图丙。
①图乙装置中能防止所测CO2体积偏小的措施是 。
②若本实验条件下CO2的密度为1.8克/升,则该石灰石样品中CaCO3的质量分数为 。
45.用溶质质量分数为5%的NaOH溶液中和73g的稀盐酸,反应过程中溶液的酸碱度变化如图所示。请计算:
(1)盐酸和NaOH反应的化学方程式是 。
(2)用质量分数为10%的氢氧化钠溶液配制5%的氢氧化钠溶液100g,需要水 克。
(3)当a为80g时,所得溶液中溶质的质量分数是多少(结果精确到0.1%)?

一.计算题(共40小题)
1.为了测定实验室中氯酸钾样品的纯度,某学习小组取 2.5g 该样品与 0.5g 二氧化锰混合,加热该混合物 t1 时间后(假设杂质不参加反应),冷却,称量剩余固体的质量,重复以上操作,依次称得加热 t1、t2、t3、t4 时间后剩余固体的质量,记录数据如表:
|
加热时间 |
t1 |
t2 |
t3 |
t4 |
|
剩余固体质量/g |
2.48 |
2.34 |
2.04 |
2.04 |
(1)在 时间后,该样品中的氯酸钾已经完全反应
(2)完全反应后产生氧气的质量
(3)该样品中氯酸钾的质量分数。
2.配平下列化学方程式:
(1)□C2H2+□O2

□CO2+□H2O
(2)□Fe2O3+□H2

□Fe+H2O
(3)□Al2O3+□H2SO4═□Al2(SO4)3+□H2O
(4)□Na+□H2O═□NaOH+□H2↑
3.已知30℃时100克水中溶解50克氯化铵恰好达到饱和,30℃时将80克氯化铵配制成400克的溶液。
(1)计算此时溶液的溶质质量分数。
(2)若不饱和,为了使其饱和可用下面的方法:
①蒸发溶剂法:需蒸发多少克水才能成为饱和溶液?
②加溶质法:需再加入多少克氯化铵才能成为饱和溶液?
4.双氧水(H2O2)既是工业上重要的绿色氧化剂,又是常用的医用消毒剂.
(1)小明配制了5%的双氧水600g,则600g溶液中溶质为 克,溶剂为 克.
(2)小明倒出了300g双氧水溶液进行消毒,则剩下的溶液中溶质的质量分数为 .
5.目前,甲型HIN1型流感日趋严重,现在最有效的预防方法之一就是用消毒液对空气消毒。深圳市科瑞德消毒用品公司生产二氧化氯消毒液,是国际上公认的新一代强力,广谱,安全,高效的消毒剂,已被世界卫生组织(WHO)列为A1级安全消毒剂。二氧化氯消毒液能够迅速,彻底杀灭各种细菌(大肠杆菌,白色念珠菌等)和病毒(肝炎病毒,流感病毒等)。我校决定今天放学后对全校教室、寝室全面消毒。小陈观察到瓶上的标签如下表所示。
|
二氧化氯(ClO2)1000毫升 |
|
|
溶质的质量分数 |
80% |
|
密度 |
1.2克/厘米3 |
|
相对分子质量 |
67.5 |
|
强腐蚀性,阴冷,密封储藏 |
|
求:
(1)这1000毫升二氧化氯消毒液的质量是 克,其中含溶质二氧化氯 克。
(2)若将这1000毫升二氧化氯消毒液与5000克水均匀混合,所得稀二氧化氯消毒液中二氧化氯的质量分数是?(保留小数点后一位)
(3)我校欲配制30千克质量分数为20%的稀二氧化氯消毒液用来消毒,需要多少千克这种二氧化氯消毒液和多少千克水?
6.某地出产一种赤铁矿,其中Fe2O3的质量分数为64%,试计算:
(1)Fe2O3中铁元素的质量分数为
(2)用100t该赤铁矿经过充分冶炼,最多可以生产出含铁96%的生铁多少吨?(工业炼铁的原理是利用CO的还原性,将Fe从矿石中还原出来)
7.用1600t含氧化铁80%的赤铁矿石,理论上可以炼出含铁96%的生铁的质量为 t(结果保留至0.1)
8.尿素[CO(NH2)2]是氮肥中最主要的一种,其含氮量高,在土壤中不残留任何有害物质,长期施用没有不良影响。计算:
(1)CO(NH2)2*共中**含有 (写数字)种元素。
(2)CO(NH2)2的相对分子质量是 。
(3)若 CO(NH2)2中含有3g氮元素,则该 CO(NH2)2的质量为多少克?(写出计算过程,结果保留一位小数)。
9.碱式碳酸铜化学式为Cu2(OH)2CO3,请回答下列问题.
碱式碳酸铜由 种元素组成,它的一个分子*共中**有 个氧原子,碱式碳酸铜中Cu、C元素质量比是 (最简比).
10.如图是某品牌葡萄糖酸锌口服液的标签,请根据标签信息回答:
(1)葡萄糖酸锌中C、H、O、Zn各元素的质量比;
(2)葡萄糖酸锌中Zn元素的质量分数为 ;
(3)某患者除正常饮食吸收锌元素外,还需服用该品牌葡萄糖酸锌口服液。若治疗一个疗程需补充104mg锌元素,而这些锌有75%来自该口服液,则患者共需要服用 支葡萄糖酸锌口服液?(简写出(2)(3)小题解题过程)

11.国家标准规定:市售尿素中CO(NH2)2质量分数在96%以上为达标一级品,现供销社出售一批尿素,其含氮量为45%(杂质不含氮),通过计算说明该尿素可否按一级品出售?
12.人体中的钙元素主要存在于骨骼和牙齿中,以羟基磷酸钙晶体[Ca10(PO4)6(OH)2]形式存在。牛奶含钙丰富又易吸收,且牛奶中钙和磷比例合适,是健骨的理想食品。下图是某乳业公司纯牛奶包装标签的部分文字。请仔细阅读后回答下列问题:
(1)包装标签上脂肪≥3.3g,是指100mL牛奶中含脂肪至少3.3g。那么一盒牛奶中含钙至少 g.(保留到0.01g)
(2)计算羟基磷酸钙[Ca10(PO4)6(OH)2]的相对分子质量。
(3)求羟基磷酸钙中钙元素的质量分数(保留到0.1%)。
(4)若人体每天至少需要0.6g钙,且这些钙有90%来自牛奶,则一个人每天至少喝多少盒牛奶?

13.为测定某种贝壳中碳酸钙的含量,取25g贝壳,逐渐加入稀盐酸,充分反应后,测得剩余固体质量与加入稀盐酸的质量关系如图所示(已知杂质不参与反应,也不溶于水)请计算:
(1)这种贝壳中碳酸钙的质量分数是 。
(2)25g贝壳与稀盐酸恰好完全反应时,生成二氧化碳的质量多少?

14.为测定实验室中氯酸钾样品的纯度,取一定质量的该样品与1g二氧化锰混合,总质量为6g,依次加热该混合物t1、t2、t3、t4时间后分别冷却,称量剩余固体质量,记录的有关数据如下表(样品中杂质不参加化学反应)
|
加热时间 |
t1 |
t2 |
t3 |
t4 |
|
剩余固体质量(g) |
4.24 |
4.16 |
4.08 |
4.08 |
(1) 时间后,样品中氯酸钾已完全反应。
(2)完全反应后产生氧气的总质量为 。
(3)样品中氯酸钾的纯度是多少?
15.黄铜是一种重要的金属材料,我国约在南北朝就开始冶炼黄铜。黄铜是铜和锌的合金,它可以用来制造机器、电器零件及日常用品。为了测定某黄铜样品中铜的质量分数,取10g该黄铜样品加入到稀硫酸中,恰好完全反应,产生氢气0.1g。
试求:
(1)该黄铜样品中锌的质量;
(2)该黄铜样品中铜的质量分数。
16.将含3克氯酸钾和1克二氧化锰的混合物加热片刻,冷却,称得残余固体的质量为3.04克,根据质量守恒定律可求,
(1)生成氧气的质量为多少克?
(2)固体残余物中含有什么物质?
(3)质量各为多少?
17.实验室用碳酸钙与盐酸反应制取二氧化碳,如果制取8.8g 二氧化碳,至少需要多少克碳酸钙?
18.如图所示,为了测定实验室中高锰酸钾样品的纯度(假设杂质不参加反应),小衢称取4.0g该样品于试管中加热,用量筒收集生成的气体。高锰酸钾完全分解后,移去酒精灯。待装置冷却到室温后,得到0.23升氧气(常温下氧气的密度约为1.4克/升)。请回答下列问题:
(1)图中小衢采用 法收集氧气,收集到氧气的质量约为 克(保留2位小数)。
(2)该样品中高锰酸钾的质量分数是 。
(3)下列有关本实验的描述正确的是 。
A.酒精灯加热时间过短,会导致所测高锰酸钾质量分数偏小
B.橡皮导管不伸入量筒底部,气体无法顺利进入量筒
C.橡皮导管伸入量筒底部,可使测得的氧气体积更准确
D.橡皮导管伸入量筒底部,可以避免先移去酒精灯而导致水倒吸入试管。

19.要配制50g质量分数为20%的KNO3溶液.现提供25g质量分数为40%的KNO3溶液、20g质量分为15%的KNO3溶液及足够多的固体KNO3和水,请选用上述的药品,设计三种配制方案填入下表:
配制方案(只要说明配制时所需的各种药品用量)
|
配制方案(只要求填写配制时所需各种药品的用量) |
|
|
方案一 |
|
|
方案二 |
|
|
方案三 |
20.已知氧气的密度为1.43g/L,空气的密度为1.29g/L,一般情况下,正常成年人每分钟吸入8L氧气.问正常成年人每分钟需要吸入空气多少升?在标准状况下,8L氧气的质量是多少克?所需要空气的质量为多少克?(温馨提示:氧气约占空气体积的

,计算的结果保留一位小数)
21.探究一氧化碳的性质和用途
学校化学兴趣小组的同学对一份固体样品进行了探究。通过实验已确定该样品由氧化铜和铜粉混合而成。他们称取了20g固体样品,用图1所示的装置继续实验,至反应完全测定的部分数据如图2所示。

据图解决有关问题:
(1)写出图1中硬质玻璃管中发生的化学方程式 ;广口瓶中的现象是 ;图1实验中存在的明显缺陷是 。
(2)图2中M点表示反应 (填“进行中”或“结束”),图2中16.8克物质是 (填物质名称)
(3)原混合物中氧化铜的质量是 克。
(4)假如产生的二氧化碳全部被澄清的石灰水吸收,产生的沉淀是多少克?(写出计算过程)
22.某实验小组同学为探究能使带火星的小木条复燃的最小氧气含量,实验步骤如下:
(1)取下表所示的5只集气瓶(水量为集气瓶中水的体积分数):
|
编号 |
① |
② |
③ |
④ |
⑤ |
|
水量 |
10% |
20% |
30% |
40% |
50% |
(2)用排水法收集氧气,将5只集气瓶中的水恰好排去;
(3)将带火星的小木条依次伸入①﹣⑤号瓶中,记录实验现象。
若只有④、⑤号集气瓶能使带火星的木条复燃,计算本实验中,能使带火星的小木条复燃的最小氧气含量。
23.根据氯化钠和硝酸钾的溶解度表,回答下列问题:
|
温度(℃) |
10 |
20 |
30 |
40 |
50 |
60 |
70 |
|
氯化钠溶解度(克) |
35.8 |
36.0 |
36.3 |
36.4 |
37.0 |
37.3 |
37.8 |
|
硝酸钾溶解度(克) |
20.9 |
31.6 |
45.8 |
63.9 |
85.5 |
110 |
138 |
(1)写出硝酸钾和氯化钠具相同溶解度时的温度范围(限表中相邻两个温度之间) ;
(2)50℃,向100克水中加入90克硝酸钾,充分搅拌后所的溶液质量为 ;
(3)计算20℃时氯化钠饱和溶液的溶质质量分数.(写出计算过程)
24.氯化钠俗名食盐是工业生产和生活的一种重要原料,也是实验室里常见的一种药品。下表是20℃时,氯化钠溶解于水的实验数据,回答下列问题;
|
实验序号 |
水的质量(g) |
加入氯化钠的质量(g) |
溶液的质量(g) |
|
① |
10 |
2 |
12 |
|
② |
10 |
3 |
13 |
|
③ |
10 |
4 |
13.6 |
|
④ |
10 |
5 |
m |
(1)表中 m= ;
(2)在这4次实验中,得到的是20℃氯化钠溶液属于饱和溶液的是 (填实验序号)。
(3)计算第3次实验得到的氯化钠溶液的溶质质量分数。(写出过程)
(4)20℃时,实验室把100克溶质质量分数为20%的氯化钠溶液释成5%的氯化钠溶液,需加水多少毫升?(写出过程)
25.我国著名化学家、中国科学院院士张青莲教授为测定元素的相对原子质量作出了卓越贡献。已知某种铟原子的质子数为49,中子数为66,求这种铟原子的核电荷数,核外电子数以及相对原子质量。
26.中国女药学家屠呦呦因创制新型抗疟药﹣﹣青蒿素(C15H22O5)而获得2015年度诺贝尔生理学或医学奖.青蒿素的分子中含有与H2O2类似的结构和性质.屠呦呦当年的创造性发明之一是将黄花蒿汁浸泡在*醚乙**中,青蒿素会溶解于*醚乙**中,利用*醚乙**的良好挥发性和低沸点除去*醚乙**.
(1)下列有关青蒿素的说法错误的是 .
A.青蒿素由碳、氢、氧三种元素组成
B.1个青蒿素分子中含有11个氢分子
C.分离青蒿素和*醚乙**的方法与分离液态空气的原理相似
D.提取青蒿素过程中应尽量避免高温
(2)青蒿素分子中碳、氢、氧原子的个数比为 .
(3)求564g青蒿素所含氧元素的质量?(请写出计算过程)
27.已知一个X原子的质量为9.296×10﹣26kg,一个碳12原子的质量为1.993×10﹣26kg,又知X原子中的质子数比中子数少4.
(1)求X原子的相对原子质量.(结果保留整数)
(2)X原子的电子数是多少?
28.*品毒**对青少年危害极大,我们应该远离*品毒**。“*头丸摇**”的化学式为 C9H13N.求:
(1)*头丸摇**的相对分子质量?
(2)*头丸摇**中碳、氢、氮三种元素原子个数比?
(3)*头丸摇**中碳元素的质量分数?
(4)540g*头丸摇**中含氮元素的质量?
29.如图是已经破损的维生素C(简写Vc)说明书部分信息。已知维生素C由碳、氢、氧三种元素组成。请回答:
(1)Vc的化学式为 ;
(2)Vc中碳、氢元素的质量比为 ;
(3)小辉妈妈每天按要求服用该Vc片钙,小辉建议妈妈可食用西红柿来代替Vc片,若100g西红柿含Vc30mg,则小辉妈妈每天食用西红柿 g即可达到服用上述Vc片的效果。

30.向一定质量的含杂质的锌样品中加入稀硫酸充分反应(杂质不与稀硫酸反应),所加稀硫酸与生成气体的质量关系如图所示.(提示:稀硫酸与锌反应生成硫酸锌和氢气)
(1)锌样品与稀硫酸充分反应后产生氢气的总质量为 g.
(2)求:样品中锌的质量(请写出具体的计算过程).

31.过氧化氢是一种化学性质不稳定的物质,实验室里现有一瓶久置的过氧化氢消毒液,为测定其溶质质量分数,某化学活动小组的同学做了如下实验:称取2g二氧化锰放入烧杯中,加入100g该消毒液,反应后烧杯中剩余物质的总质量为98g,请计算该过氧化氢消毒液中过氧化氢的质量。
32.在烧杯中加入氯化钠和碳酸氢钠的固体混合物10.0g后,再加入68.9g稀盐酸恰好完全反应。反应过程用精密仪器测得烧杯连同药品的总质量(m)与反应时间(t)的关系如图所示。烧杯连同药品的起始总质量为165.0g。反应的方程式为NaHCO3+HCl═NaCl+H2O+CO2↑;试回答下列问题:
(1)完全反应时产生二氧化碳的质量为 g;
(2)原混合物中碳酸氢钠和氯化钠的质量各是多少?;
(3)反应后所得氯化钠溶液中溶质质量分数?

33.已知碳酸钙在高温下可分解生成氧化钙和二氧化碳,反应的化学方程式为:CaCO3

CaO+CO2↑,同学们从山上采集到一种石灰石(主要成分为碳酸钙),他们取80g该样品进行煅烧实验(所含杂质在煅烧过程中不发生变化),测得反应后固体的质量与反应时间的关系如下表:
|
反应时间∕s |
t0 |
t1 |
t2 |
t3 |
t4 |
t5 |
t6 |
|
反应后固体的质量∕g |
80 |
75 |
70 |
66 |
62 |
58 |
58 |
请回答下列问题:
(1)当石灰石完全反应后,生成CO2的质量为 克.
(2)求该石灰石中含CaCO3的质量分数(写出计算过程).
34.某化学兴趣小组欲测定一瓶过氧化氢溶液中溶质的质量分数,实验操作及相关数据如图所示:

(1)生成氧气的质量 g;
(2)求加入的68g过氧化氢溶液中过氧化氢的质量(写出计算过程).
35.请你用所学的知识解释以下生活中的问题:
(1)天然气是一种比较清洁的能源,它的主要成分是 即为最简单的有机物。
(2)糖类、蛋白质、脂肪等都是人体内基本的有机物,其中 是人体生命活动所需能量的主要来源。
(3)苏打能用于治疗或缓解胃酸过多的问题,用化学方程式表示其原理 。
36.碳12原子的质量为1.993×10﹣26kg,一种铁原子的质量为9.288×10﹣26kg,计算该铁原子的相对原子质量(保留小数点后一位)。如果该铁原子的原子序数为26,则该铁原子的中子数是多少?
37.我国民间有端午挂艾草的习俗。艾草含有丰富的黄酮素(化学式为 C15H10O2),有很高的药用价值。请回答:
(1)黄酮素含有 种元素,碳、氢的原子个数比是 (最简整数比)。
(2)黄酮素的相对分子质量是 。
(3)黄酮素中碳、氢、氧元素的质量比为 。
(4)黄酮素分子中碳元素的质量分数是为 (计算结果精确到 0.1%)。
38.儿童缺锌会引起食欲不振、发育不良。图为某种补锌口服液说明书的一部分,请回答:
(1)葡萄糖酸锌是由 种元素组成,其中碳、氢元素的质量比为 。
(2)葡萄糖酸锌中锌元素的质量分数为 (计算结果保留一位小数)。
(3)每支口服液中锌的质量分数为 (1g=1000mg)。
(4)若儿童1kg体重每日需要0.5mg锌,每天从食物中只能摄入所需锌的一半;体重为20kg的儿童每天还须服该口服液 支,才能满足身体的需要。

39.不经常进行体育锻炼的人,如果突然剧烈运动,停下来后会感到肌肉酸痛,这是身体内乳酸积累造成的。乳酸的化学式为C3H6O3,则:
(1)它的化学式量为 。
(2)其中碳、氢、氧三种元素的质量比为 (最简整数比);
(3)碳元素的质量分数为 (计算结果精确到0.1%)
(4)18g乳酸中的氢元素的质量为 g。
40.市场上某补钙剂药品说明书如图所示:
(1)葡萄糖酸钙中含有 种元素,其中钙元素和氧元素的质量比为 。
(2)葡萄糖酸钙的相对分子质量为 。
(3)遵照药品说明书用量服用,每天补钙为 mg.(写出计算过程)
