导读:
不少老铁在绘制工程图时,最头痛的问题就是尺寸的公差设定,看着满屏幕的尺寸,往往不知道如何下手。
尺寸设定得太精密了,生产做不了,会骂;尺寸设定得太宽松了,产品功能、质量、可靠性容易出问题,老板又会骂。
本文介绍公差设定的第一原则:尺寸公差的设定需要根据零件制造工艺的制程能力。

01
什么是制程能力
1.1制程能力的概念
制程能力(process capability)是指一个制程在固定生产条件及稳定管制下所展现的品质能力。
其中、制程是指制造过程,包括各种加工制造和装配过程,例如注塑加工、机械加工、冲压加工、以及超声波焊接等。
其中的“固定生产条件”包括设计的品质、机器设备、作业方法与作业者的训练、检验设备等因素。
“稳定管制”指以上因素加以标准化设定并彻底实施,且该制程之测定值均在稳定的管制状态之下,此时的品质能力方能算作该制程的制程能力。

1.2衡量制程能力的指数:Cpk
衡量一个制程的能力通常使用Cpk,包括制程精密度指数Cp和制程准确度指数Ca。
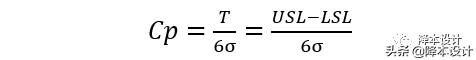
Cp的计算公式为:

T为尺寸的公差范围,USL为公差上限,LSL为公差下限,这就是图纸中工程师需要设定的公差值。

▲Cp体现了制程的精密度
Ca的计算公式为:

M为尺寸的名义值,这个值就是工程师在三维产品设计时设定的。

▲Ca体现了制程的准确度
Cpk的计算公式为:

Cpk越大,制程中产生不良品的概率就越小,即DPPM(Defectsper million parts,每一百万件之不良)就越小,制程能力越好;Cpk越小,DPPM就越大,制程能力越差。

▲Cpk与σ、DPPM和良率的关系

判断制程能力是否足够的标准是:

1.3 为什么公差很精密时,供应商不答应?
通过上面的公式可以看出,对于任何一种制程,无论是注塑、冲压和机加工,其制程能力都是与尺寸的公差大小直接相关。
如果公差很精密,那么Cpk就变小,零件的不良率就很高,成本也会很高。
而且,现在大多数公司对于零件的承认都一套完整的体系和文件,要求供应商生产的零件其关键尺寸的Cpk符合要求,如果不符合就需要改模。
所以,当公差很精密时,供应商当然不同意。
1.4 公差的设定必须考虑制程能力
公差的设定必须考虑制程能力,这是公差设定的第一原则。
否则,公差设定很精密,产品的功能、质量和可靠性等从理论上可以满足,但是生产做不出来,或者做出来的零件尺寸超过当初设定的公差,那么这非常有可能对产品的功能、质量和可靠性等带来潜在问题。
或者,零件做出来了,但是制程能力达不到要求(Cpk至少1.33),那么就不得不去改模修模,实在不行,又只能把公差放宽,但是功能等有可能会出问题。
以上故事基本上在每一个产品开发中都在反反复复的重演。为什么不一开始就把公差根据制程能力来设定呢?
02
不同制程的制程能力
既然零件二维图中的尺寸公差需要根据制程能力而定,那么工程师必须清楚的知道各种制程所能达到的制程能力。
把不同制造工艺的制程能力的相关标准或文件整理成册,以方便工程师在设定公差时有了标准和依据,这一直是我准备在做的事情。
在之前的文章中,我曾经分享过注塑和冲压的公差标准。
干货 | 塑胶件公差用哪个标准比较好?
干货 | 压铸公差及北美压铸协会压铸件设计标准*载下**
这是注塑和压铸不错的参考标准,后续我会考虑再增加其它工艺。
不过,这些标准都只是谈到了公差的范围,并没有具体说明在这个公差范围之下能达到多少Cpk,不良率有多少。

今天我想给大家分享一个老外在这方面的研究:这是一个网络版的不同制造工艺的公差标准。其厉害的地方在于可以根据尺寸大小及其公差范围,可以计算出生产时的Cpk和不良率,反之亦然。
例如,一个PC的塑胶件,名义尺寸为100mm,公差为±0.20mm,那么其生产时Cpk可以做到1.46,PPM为6.1。

大家如有兴趣,可以访问如下网址,注册一个账号,有30天的试用期。
https://www.tolcap.com/
在这里,我并非推荐这个产品,我只是高度认可其思路,希望给大家一些启示。
03
总结
工程师在绘二维零件图时,公差设定首先考虑的第一原则是制造工艺的制程能力,不能随意的设定。
而为了能够设定的定义公差,工程师必须对企业常用的制造工艺的制程能力了如指掌。
只有这样,公差才能架起一座设计与制造的桥梁,既能满足产品功能、质量和可靠性等的要求,同时又能满足大批量顺利生产的目的。
04
扩展阅读
这是我收集整理的制程能力CPK,注塑、压铸、冲压、机加工和铝挤压等制程能力的相关资料。
以下资料均可百度文库搜索*载下**;关注公众号“降本设计”回复“CPK”获取*载下**方式。






参考文献:《面向制造和装配的产品设计指南》第2版 机械工业出版社 2016年

关于作者:
钟元,2020年3月出版《面向成本的产品设计:降本设计之道》(DFC)
2011年出版书籍《面向制造和装配的产品设计指南》(DFMA)
欢迎关注“降本设计”头条号,获取更多原创降本设计知识和理念!头条号聚焦降本设计知识分享和方案提供,助工程师技能提高和职场发展,助企业降本和利润提升。

欢迎留言分享你的想法,补充文中解释不对或欠缺的部分,让大家看到你