
什么是债券
债券是发行者为筹集资金发行的、在约定时间支付一定比例的利息,并在到期时偿还本金的一种有价证券。也就是说债券是发行者融资的一种手段,收益也是约定好的。
债券分类
债券的划分方法很多,随便一张债券可以归于许多种类。如:国债998,它可归于国债,它还是附息债券,它还是长期债券、上市债券,最后,它还可以归于无担保债券和公募债券。所以我们对债券的分类要有个概念,不需要你记住全部内容,但是至少要知道有这么些债券分类,避免进行债券投资时是一无所知的状态。赶紧让你的神经元细胞运动起来吧!
按发行主体划分
政府债券是政府为筹集资金而发行的债券。主要包括国债、地方政府债券等,其中最主要的是国债。国债因其信誉好、利率优、风险小而又被称为“金边债券”。政府债券的利息享受免税待遇,而公司或金融机构发行的债券,这些债券的发行均由政府担保,但不享受中央和地方政府债券的利息免税待遇,其中由中央政府发行的债券也称公债或国库券,其发行债券的目的都是为了弥补财政赤字或投资于大型建设项目;而由各级地方政府机构如市、县、镇等发行的债券就称为地方政府债券,其发行目的主要是为地方建设筹集资金,因此都是一些期限较长的债券;在政府债券中还有一类称为政府保证债券的,它主要是为一些市政项目及公共设施的建设筹集资金而由一些与政府有直接关系的企业。
金融债券是由银行和非银行金融机构发行的债券。在我国目前金融债券主要由国家开发银行、进出口银行等政策性银行发行。公司债券是企业依照法定程序发行,约定在一定期限内还本付息的债券。金融债券发行的目的一般是为了筹集长期资金,其利率也一般要高于同期银行存款利率,而且持券者需要资金时可以随时转让。
公司债券的发行主体是股份公司,但也可以是非股份公司的企业发行债券,所以,一般归类时,公司债券和企业发行的债券合在一起,可直接成为公司(企业)债券。其发行目的是为了筹集长期建设资金。一般都有特定用途。按有关规定,企业要发行债券必须先参加信用评级,级别达到一定标准才可发行。因为企业的资信水平比不上金融机构和政府,所以公司债券的风险相对较大,因而其利率一般也较高。
按偿还期限划分
按偿还期限划分
长期债券,一般说来,偿还期限在10年以上的为长期债券。中期债券,期限在1年或1年以上、10年以下(包括10年)的为中期债券。短期债券,偿还期限在1年以下的为短期债券。注:我国企业债券的期限划分与上述标准有所不同。我国短期企业债券的偿还期限在1年以内,偿还期限在1年以上5年以下的为中期企业债券,偿还期限在5年以上的为长期企业债券。
按利率确定方式划分固定利率债券指在发行时规定利率在整个偿还期内不变的债券。浮动利率债券是与固定利率债券相对应的一种债券,它是指发行时规定债券利率随市场利率定期浮动的债券,其利率通常根据市场基准利率加上一定的利差来确定。浮动利率债券往往是中长期债券。由于利率可以随市场利率浮动,采取浮动利率债券形式可以有效地规避利率风险。
按利息支付方式划分
定息债券指在发行时规定利率在整个偿还期内不变的债券。浮息债券指发行时规定债券利率随市场利率定期浮动的债券,也就是说,债券利率在偿还期内可以进行变动和调整。零息债券指采用折价的形式发行,到期时发行者以平价买回的债券。按是否可转换来区分可转换债券是能按一定条件转换为其他金融工具的债券,而不可转换债券就是不能转化为其他金融工具的债券。可转换债券一般都是指的可转换公司债券,这种债券的持有者可按一定的条件根据自己的意愿将持有的债券转换成股票。
按付息方式划分贴现债券零息债券附息债券固定利率债券浮动利率债券
按计息方式划分单利债券复利债券累进利率债券
按债券形态划分
实物债券(无记名债券)凭证式债券记帐式债券
按募集方式划分
公募债券私募债券按担保性质划分
有担保债券无担保债券质押债券

有了股票为什么还需要债券?
金融市场上既然可以通过发行股票来进行融资,为什么还要债券这种金融工具呢?可见债券有他特定的优势才会存在。
不想让投资者参与企业的经营和利润分配
债券的购买者称为债权人,股票和债券是两种不同的融资方式。发行股票相当于出售企业的所有权,股票所有者可以要求参与企业的管理和利润分配。发行债券是向别人借钱,只需要还本付息,债权人没权利参与企业的经营和利润分配。所以债券发行是较股票发行更加稳妥、简单的一种融资方式。
为一些不能发行股票的机构提供融资
有些机构是无法通过发行股票进行融资的,比如政府,非上市公司等。政府为维持自身管理国家的职能,需要资金上的支持,以使政府各部门正常运转。如果政府的开支超过税收和其他方面的收入来源,财政上使会出现赤字,政府就要通过借款来筹得额外的资金。这是政府发行公债的一个重要原因。另外一些没有上市的公司也可能会募集资金进行发展,比如华为在2019年注册发行两期总额为60亿元人民币的中期票据,这也是华为首次在境内发行债券进行融资,有了债券这种金融工具,一些有潜力但没有发行股票的机构就能顺利融资继续发展了。
国债是调节宏观经济的重要手段
国债可以连接财政政策与货币政策。中央银行可以通过买*国卖**债的“公开市场业务”来吞吐基础货币,调剂商业银行的储备头寸,影响其信贷能力,从而调节货币供应量和利率水平,为货币政策服务。在很多中央银行进行货币政策调整时,都是通过买*国卖**债完成的,比如美联储通过卖出国债来达到加息的效果。
债券收益率和价格有什么关系
先了解几个概念
债券面值指设定的票面价值,代表发行人承诺于未来某一特定日期偿付给债券持有人的金额,这个值是固定不变的。
债券发行价格是发行公司(或其承销商、代理机构)发行债券时所使用的价格,亦即投资者向发行公司认购买其所发行债券时实际支付的价格。发行价格和债券面值通常相等,但是也有不相等的情况。债券发行价格与债券面值相同称为平价发行,债券发行价格高于债券面值称为溢价发行,债券发行价格低于债券的债券面值称为折价发行。
交易价格,债券发行以后且未期这段时间进行买卖交易的价格。实际上,由于发行者的种种考虑或资金市场上供求关系、利息率的变化,债券的市场价格常常脱离它的面值,有时高于面值,有时低于面值。也就是说,债券的面值是固定的,但它的价格却是经常变化的。发行者计息还本,是以债券的面值为依据,而不是以其价格为依据的。
票面利率是指发行债券时规定应付的并直接印刷在债券票面上的利率,表示每年应付的利息额与债券面值之比。票面利率的高低直接影响着证券发行人的筹资成本和投资者的投资收益,一般是证券发行人根据债券本身的情况和对市场条件分析决定的。债券的付息方式是指发行人在债券的有效期间内,向债券持有者分批支付利息的方式,债券的付息方式也影响投资者的收益。
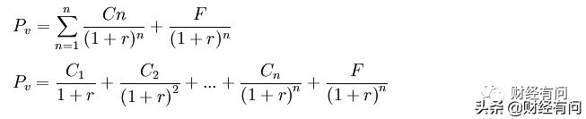
到期收益率 (Yield To Maturity,简称YTM),又称满期收益率、到期殖利率(简称为殖利率),到期收益率不是约定利率,而是通过复杂计算后对收益衡量的标,指投资者持有某一债券或其他定息证券至到期日,并假定其本金与利息都按时支付时,以买入价格计算的内部收益率。[1]按照到期收益率对债券未来所有的现金流量(包括利息和本金)进行折现,所得到的现值与买入价格相等,即满足以下等式:

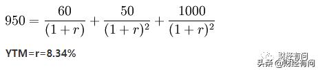
其中,C为按票面利率每年支付的利息,r为到期收益率,,Pv为债券当前市场价格,n为债券偿还年限,F为债券面值。举例说明:如果票面金额为1000元的两年期债券,第一年支付60元利息,第二年支付50元利息,现在的市场价格为950元,求该债券的到期收益率为多少?

到期收益率是衡量两个债券优劣的指标,一般来说,到期收益率越高,说明债券的收益会越高。

债券价格受什么影响
债券在市场上进行交易时,价格肯定会上下波动,那影响债券交易价格的因素有哪些呢?第一个就是市场利率,当利率上升时,债券交易交易价格就会下跌,因为利率上升时, 同规格的新发行的债券收益会升高,导致已经发行的债券需求减少,因为大家都不买已经发行了的债券了,已经发行的债券的价格就会降低,直到降到收益和新发行的债券收益持平的价格为止。第二个就是债券信用降低,如果债券发行方的信用出现问题,比如出现了违约现象,或是有可能出现违约,那么此债券的购买力就会下降,价格自然下跌。
债券收益率倒挂
债券收益率倒挂是指,长期收益率水平低于中短期收益率水平的现象(正常情况是长期收益率高于中短期收益率),这个信号通常被认为是未来经济衰退的最佳预测因素。旧金山联储的研究显示,在过去60年中,每次美国经济衰退前,收益率曲线都出现了倒挂。
结语
改革开放以来,特别是进入新的世纪以来,我国证券市场取得了巨大发展,发行主体不断增加,市场规模不断扩张,债券种类不断丰富,成为我国金融市场体系的重要组成部分,在推动整个金融市场和金融体系发展,提高直接融资比例,服务实体经济发展中发挥了重要作用。但是,目前我国债券市场的发展与经济金融发展的需要相比仍存在很大差距,还有不少问题需要研究解决,债券市场仍需要大力发展。