为了搞懂MACD,我们先弄清楚它的数学意义,然后用一种轻松的方式来理解和应用。
MACD是异同平均线,分三个部分:
1.MACD线,国外叫做MACD Line和Blue Line,国内直接叫DIF线。
2.信号线,Red Line,也叫DEA线。
3.柱图,也叫做MACD柱。
一、在分析这三个部分前,必须从均线MA说起:
均线是由多个数据的平均值组成,平均值A=(X1+X2+...Xn)/n,我们常常说拖了人均财富或人均工资的后腿,原因就在于“被平均”,当n不大时,一个巨大的X值就可以把这个平均值拉高。
如果把某股昨天和今天的十日平均收盘价做对比:设今天是本月第11个交易日,那么昨天的平均值A昨天 = (X1+X2..+X10)/10,A今天 = (X2+X3..+X11)/10
明显的,如果X11远大于X1,那么A今天将远大于A昨天,则均线的形态就是向上延伸。即使今天是大跌,均线也向上走。
同理,明天X12如果远低于X2,就算是大涨,均线也会下行。 这就是均线的滞后性 。需注意,在计算均线值时,前面10天的收盘价,都获得了同样的权重,即1/10。
二、接下来要说EMA:
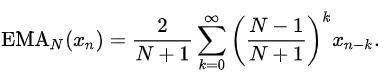
EMA指数式递减加权的移动平均值,计算很复杂,而且没有完整的定值计算方法。
EMA(N) = [2*Xn+(N-1)*EMA(N)-1]/(N+1),这是个迭代公式,换句话,必须要有上一EMA值,才能得到下一个EMA值。
当N=1时,EMA=Xn,即当日收盘价,和MA一样。当N>2时,就要无限往前推了。
上面的公式是做了推导的,我们看下EMA的原公式:

∑上k从0到无穷大,幸好有个n-k做了限定(即n-k>=0),否则就成了我所说的无法计算。
有这个公式可以发现,因为(N-1)/(N+1)<1,所以指数位的k增大后,这部分将越来越小。这就得出了EMA的重要意义: 越往前的权重越来越小,越靠近今天的权重越来越大 。
那么和均线MA(同等权重)对比,就可看出,最后一个数据分到的的权重更大,所以今天的收盘价对整个EMA线的影响大于MA线。这算是对滞后性做了弥补吗?不见得。因为当N并不小时,靠近今天的近期权重都较大,只不过今天的最大而已。读者可以自己演算。
这里思考一个问题:
无论是MA,还是EMA,明天的线的形态走向,和明天价格的变化,有什么关联?
N值越小,那么明天价格的变化会立即影响线的形态走向,简单说,明天股价下跌,线上行趋势将马上转向下。(明天价格决定线的形态是否延续)。
N值越大,那么明天价格的变化不会影响线的形态走向(见前文),因为会被前面近期的数据拉平。(即前面说的滞后性)。
因此,可以发现, 主观选择N对结果的影响很大 。
三、再说MACD线,DIF蓝线:
DIF = EMAx - EMAy ,( x<y ) ;即(短期-长期)的递减加权平均数的差值。
怎么理解?如12天和26天,二者共用了最近12天的收盘价,当蓝线向上,12天的大于26天的,说明离得近的时期的平均数据高于离得远的。即26天之所以低,是因为前14天的数据拖了后腿。
听起来如果感觉绕,就看这句话,蓝线向上,是因为近期的平均价格比前面的平均价格高,越往前靠近越高,蓝线越来越陡峭。
四、信号线,DEA红线:
DEA = EMA(DIFn) = [2*DIF+(n-1)*DEAn-1]/(n+1),即二重迭代计算。
可这样理解,DIF算的是差值,DEA算的是差值的加权平均值,还是一样的意义,最靠近今天的差值的权重越大。如果DEA线向上,就说明这个平均值在不断增大。
五、最后是MACD柱:
一般交易软件里的公式为MACD柱 =(DIF - DEA)*2,国外的文献显示是不乘2,其实乘以2还是乘以3没啥意义。
DIF-DEA就好理解,最近的差值和平均差值的比较,MACD柱>0,即红柱,说明最近的差值增长为正,红柱越大,增长越大。
六、应用
为了轻松应用,我们把这个数据公式忘掉,只记住在“ 开车 ”。
DIF蓝线向上,说明车当前速度越来越快。
DEA红线向上,说明车近阶段的平均速度相比前阶段的平均速度快。
MACD柱越大,说明车今天的加速度非常大。
一般理论上MACD的应用不外乎三条:
1蓝线穿过红:上穿为买入信号(金叉),下穿为卖出信号(死叉)
2蓝线穿过0:0意味着快线慢线相等,上穿看涨,下穿看跌
3蓝线(或柱)和股价扩展(背离)预示反向,数学表达为近期的最高/低点的连线斜率不一致
用我们开车的方式来理解:
1蓝线上穿红线,车子有明显正向加速,下穿,车子有明显反向加速(正向减速)。
2蓝线上穿0,车子正在向前走,下穿0,车子在往后车。
3背离会稍微麻烦一点,分4种情况:
3.1蓝线在0上方,趋势向下,股价向上。车上减速向前走,多见于股价上涨但每日涨幅越来越小。
3.2蓝线在0下方,趋势向上,股价向下。车子向后走的速度在下降,多见于股价下跌但每日跌幅越来越小。
复杂的是3.3蓝线在0下方,趋势向下,股价向上。
车子没有往后开,却是正向加速往前开,这是因为出现了深V,前半部分巨大的跌幅使车子加速向后,使蓝线处于了0下方,后半部分蓝线仍向下,是因为被前半部分的反向高速拉低了。也就是被平均了。用一张图来说明:上涨指数2020年春节前后。

如图,看竖着的梯形,上面股价向上,而下面蓝线在0下方且向下。蓝线是12天-26天,在大幅低开后的这几天,价格都比跳开前的那几天(26周期的前半段)价格落后一大截,所以12天的加权平均值必然大幅小于26天,所以蓝线在0下方,且还在向下(前半段数据减少,后半段的数据变多,而后半段远小于前半段)。随着往后移动,周期的前几天的权重不断减小,后面的权重不断加大,自然就出现了蓝线转向。
反之,3.4蓝线在0上方,趋势向上,股价向下,也可这么演变。
都反映了滞后性的问题,股价线掉头,蓝线再掉头,因为N设置的大。如果当时,上证指数是继续向下,那么蓝线就不会转向了。
七、关于理论上处理错误信号的滤波:
典型的错误信号,是刚出现金叉,买入后,价格就往下跌了。理论上的解决办法是滤波,即出现金叉后,观察3天,如果3天内没有再死叉,那么就买入。
但3天,岂不是错过了很多?3天后,难道就不会变死叉?
其实,看了上面的那一推,应该明白,明天线的走向,由明天的股价来决定。
八、个人浅见:
MACD的作用,不是预测!!!它的作用是替代了人工判断。
投资者可以直观用眼睛看K线图,就能大概判断出股价(汽车)是在加速还是减速,是在往前开,还是往后开,而MACD,做了更规范更精准的计算。
人眼观察,如果不用尺子,难免带有很强的主观性(可能感觉长,也可能感觉短)。用MACD,计算过程较客观。但就选取N值这一项,MACD计算的结果也是主观的。
九、笔者建议:
MACD是工具,如何发挥出有利于交易的功能,取决于使用工具的人,比如N的选取,这都需要大量实践经验。新手绝不可把它当做预测信号来交易,很容易失败的。
绝对原创,喜欢的朋友给个赞吧。