
不一样的2月过去了,有人大喊“牛来了”,有人高呼“别让牛跑了”,那这个月券商们的运营表现得又如何呢?我们一起来看看数据。
说明1:本榜单为产品公园公众号联合国内领先的第三方移动数据服务平台新榜进行发布,数据采集于新榜,由产品公园和券业互金负责整理加工。说明2:该榜单采集覆盖51家主流大型及部分中小型券商总部的100多个公众号,包含服务号、订阅号两大类,暂不含券商分公司、营业部公众号,暂不覆盖部分券商运营的投教基地公众号、资产管理公众号、研究所公众号以及品牌宣传公众号等类别,尽情期待后期的独立榜单。通过持续监测各主流券商的公众号,获取其推送、阅读、互动等相关数据,通过NRI“评测指数模型”对每个公众号进行打分,根据NRI指数结果对其进行排名。发布总榜单为TOP50,详细的月度榜单数据说明见文末的《微信榜单数据说明》。
同时,非常欢迎还没有列入榜单的券商微信号,后台留言加入榜单的角逐,也期待您提出更好的意见建议并和我们一起探讨。
2月券业总榜
中信、银河、长江位列前三强
在2月的券业总榜TOP10中,中信证券仍然以785.44的NRI指数评分居于榜首,同比增长约2%,其次是中国银河证券和长江证券。下面是TOP10的名单:

中信证券本月同样也发布了4次,但总阅读量高达45w+,并且获赞数同样突破了1000。TOP50的前三强都拥有较高的阅读量和点赞数,按照NRI指数排行,2月的券商微信公众号TOP50榜单及变化趋势如下:

首次入围“券业金榜”Top50的微信公众号为:
平安证券投资助手、华西证券股票专家、东方证券、财达证券
前期,部分读者留言希望给出服务号的TOP50榜单,2月份也正式推出了“券业金榜 | 服务号”的TOP50榜单,具体如下:

2月阅读榜
中信证券蝉联“月度阅读冠军”
在券商微信公众号2月份数据的统计中,中信证券、海通证券彩虹俱乐部以及东方财富证券以总阅读量45.7万、43.4万、40.1万分列前三位,与1月份的前三排名无差异,同时整体阅读量较一月提升了18%。
2月位列券商微信公众号阅读榜前十的公众号为:
中信证券、海通证券彩虹俱乐部、东方财富证券、中国银河证券、中信建投优问、国海证券订阅号、长江证券、海通证券e海通财、平安证券、招商证券
2月份,总阅读量在30万以上的券商多达5家。而服务号的平均阅读值非常的亮眼,方正证券小方达到了6.1万的均值阅读量,中信证券、中国银行证券和广发证券也都有不错的表现,均超过了4万。同时,排名第二和第三的海通证券彩虹俱乐部、东方财富证券则继续发挥其订阅号的超高推送能力,获得超高阅读量。

2月推送榜
海通证券蝉联“月度最勤劳称号”
在推送榜中,服务号受限于发布次数,订阅号的优势显得格外明显。2月榜单中,海通证券彩虹俱乐部蝉联第一,推送文章数量高达104篇。
2月位列券商微信公众号推送榜前十的公众号为:
海通证券彩虹俱乐部、国海证券订阅号、方正证券小方理财、南京证券阳光微讯、光大证券微资讯、东方财富证券、上海证券指e通、平安证券投资助手、中信建投优问、涨乐财富通
2月的“百篇”高产券商只有1家:
海通证券彩虹俱乐部
2月的百篇高产券商较1月减少了3家,同时TOP20中也没有了服务号,订阅号在2月份的整体推送能力明显加强。推送榜TOP20名单:

2月点赞榜
长江证券首获“月度最受欢迎称号”
在2月份的券商微信公众号总点赞量统计中,长江证券发文总共获得11535个点赞量,位列第一位,同时也是点赞榜首次破万的券商。
2月位列券商微信公众号点赞榜前十的公众号为:
长江证券、申万宏源证券、海通证券彩虹俱乐部、海通证券e海通财、东方财富证券、国海证券订阅号、中国银河证券、中信建投优问、中信证券、国泰君安微理财
长江证券的月度点赞量突破了10000,从均赞值来看也远远高于其他公众号。而订阅号类型中排名第一的海通证券彩虹俱乐部的均赞值仍只有24,但较一月提升了一倍,再次体现了海通证券的运营能力。

2月10w+爆文榜
中信、银河、国信包揽
爆文往往是同业优秀的运营文案或者创意设计,2月份的10w+爆文一共有5篇,来自这三家券商:
中信证券、中国银河证券、国信证券
从爆文的发布日期来看,基本上都是2月末的最后几天发布的,也就是最近的行情上升期,说明以上几家券商对于热点事件的解读和信息的传达都做的非常及时,是典型的热点事件运营案例。

2月进步榜
东方证券获“月度最佳进步称号”
根据NRI指数对1月份的历史数据进行回采,横向对比TOP50排行榜的变动情况,东方证券较1月份上升了24名,并首次入围TOP50榜单。
“进步榜TOP10”中首次入围券业总榜TOP50的微信公众号还有:
平安证券投资助手
从进步榜单中来看,订阅号和服务号各占一半,也就是说无论哪种类型的公众号,运营本身还是需要持续为用户创造有价值的内容。

关于榜单的延展说明
1、微信榜单数据说明
特别说明:根据腾讯官方政策,券业金榜所公开展示的微信阅读数为前台显示数据,大致相当于UV,且超过10w者均显示为10万+,与微信管理后台显示的PV式数据可能不一致。
月榜数据:月榜统计周期为自然月的时间,每月初统计上月发布的全部文章的阅读数和点赞数。为更加科学全面地体现长尾传播效力,在微信月榜、年榜中,基于移动端传播规律即移动端传播会在72小时内经历一个完整的峰谷波形,券业金榜实施数据回采,即纳入日榜截止时间之后72小时内的统计数据。
发布次数:该公众号统计周期内累计发布的次数。
发布篇数:该公众号统计周期内累计发布文章的篇数。
阅读总数:该公众号统计周期内所有发布内容的阅读数总和。
头条阅读数:该公众号统计周期内所有发布内容中的头条阅读数总和。
最高阅读数:该公众号统计周期内所有发布内容中的单篇最高阅读数,
平均阅读数:该公众号统计周期内所有发布内容的阅读数平均值。
点赞总数:该公众号统计周期内所有发布内容的“好看”数总和。
预估活跃粉丝数:根据同一类别的公众账号中的平均打开率,以及该公众账号近30天平均阅读数推导计算出来的预估值。
2、什么是NRI指数
新榜指数(New Rank Index,NRI)系由新媒体排行榜基于海量数据、用户深度反馈及专家建议而推出,用于衡量中国移动互联网渠道新媒体(主要指两微一端)的传播能力,此指数反映该新媒体主体的热度和发展趋势。
3、NRI算法是什么
NRI指数是由原始数据参照基数通过计算公式推导出来的标量数值,用以衡量原始数据在其所属维度的相对表现。例如,xx点赞数为:379,我们会将这一数据和点赞常数进行比较,以确定其点赞数的相对位置,进而转换为其点赞指数,其余指标以此类推。
该算法相较于常规加权有四大优势:
1、不仅显示绝对表现,还能反映所处位置;
2、标准化后,不同维度的指标之间可以相互比较;
3、指标之间可以相互运算,从而得到综合考察各维度的新榜指数;
4、形成的指数为单调增函数,不仅可以用于用户间的比较,也可以用于 用户自身的跨期比较。
4、NRI指数具体计算公式
4.1、选定指标
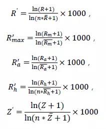
在微信的计算中,为兼顾其数量与质量,我们使用总阅读数、最高阅读数、平均阅读数、头条阅读数、总点赞数五个指标来对账号进行评估,其中:
整体指标(总阅读数,R):指统计周期内所有发布内容的阅读数总和;
优异指标(最高阅读, Rm):是指统计周期内所有发布内容中的单篇最高阅读数;
质量指标(平均阅读数, Ra ):统计周期内所有发布内容的阅读数平均值;
主动预判指标(头条阅读, Rh ):统计周期内位置为头条的内容的阅读总数;
互动指标(总点赞数,Z):统计周期内所有发布内容的点赞数总和。
4.2、指标标准化
基于不同维度指标的差异性,我们首先将所得数据标准化,即通过对各维度原始数据与该维度常数的比值计算,得到该样本各项指标的千分化数值。在NRI指数中,以天为最小计算周期,将常规(1天推送一次,每次最多8篇)的公众号为对象在这一时间段内总阅读数、最高阅读数、平均阅读数、头条阅读数和点赞数共五个指标的常数分别记为:

结合历史数据样本库及微信平台的发布规则——1个常规的微信公众号每天最多发布8篇,每次单篇阅读数最高为10万——我们记录80万为“总阅读数”这一指标理论上的1000分,对于某些特别账号——例如每天可以推送多次的人民日报、央视新闻,则理论上,在该指标上可以获得比1000分更高的得分。故而:





在不同的时间周期,即日、周、月、年(n=1,7,30,365)下,以上常数具体数值为:

在此基础上,各指标按以下公式进行标准化:

注:此处“+1”是为了避免出现类似“ 0 阅读”时而产生无效值
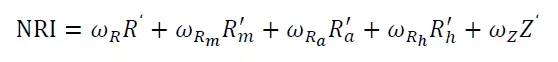
4.3、指标加权
由于此五项数据影响微信传播能力的程度不同,我们赋予不同的权重,分别记为 ωR , ωRm , ωRa , ωRh , ωZ 。
最终,NRI指数的计算公式表述为:

目前,我们使用的系数为 ωR =0.75, ωRm =0.05, ωRa =0.1, ωRh =0.05, ωZ=0.05。
当然,在NRI指数发布跨类别比较的月榜时,会赋予类别的不同系数值,彰显渠道价值。
4.4、算法所使用数据的统计口径
日榜的统计周期是所示日期0时至24时间,统计截止时间是次日中午12时,以确保子夜发布者亦可得到至少12小时的传播。周榜的统计周期是所示日期范围(周一0时至周日24时),统计截止时间是下一个周一的中午12时。需要特别说明的是,我们的周榜并非日榜数据的简单加总,而是重新更新并统计,以记录长尾效应。月榜、年榜亦然。
注:根据腾讯官方政策,微信影响力榜单所列微信阅读数仅指前台显示数据,且超过10万者一律显示为10万,与微信管理后台所显示数据可能不一致。
5、51家主流券商公众号采集样本

6、券业金榜TOP50榜单说明
在券业金榜TOP50的榜单中可能会存在单一券商旗下多个公众号排名入围的情况,比如海通证券运营的e海通财、海通证券彩虹俱乐部两个公众号都在列,而且都运营的非常好。这种情况的出现,主要源于券商通常在运营一个较大体量的官方服务号的同时,也运营着其他不同类型的官方订阅号,例如划分为理财、投教、研究甚至品牌宣传等细分领域的微信公众号。券业金榜的榜单本着机会平等的原则,尽量只采用主运营的官方服务号、主运营的官方订阅号,并且采集的每家券商公众号总数不超过3个,暂不覆盖部分券商运营的投教基地公众号、资产管理公众号、研究所公众号以及品牌宣传公众号等类别。
作者:小平哥,证券互联网产品狗,4年产品摸爬打滚。在VX里面搜索“产品公园”,获取wechat、蚂蚁金服原型组件等福利。