点蓝字关注,不迷路~
前 言
随着梳棉机市场需求的增加,梳棉机技术的发展迎来了多种机幅多种结构共存的局面。下面为特吕茨勒和立达及主要纺机制造企业最近几年梳棉机机幅和活动盖板的变化情况。见表1。
表1 主要纺机企业最近几年梳棉机机幅和活动盖板的变化

从上表我们看到:十几年来,各大主机厂以常规1000mm机幅为基础,研制加大幅宽的梳棉机,并得到了广泛的推广和应用。立达公司自从推出1500mm机幅的C60梳棉机之后,很快淘汰市场口碑不错的C51梳棉机;特吕茨勒公司2011年推出1280mm机幅的TC11机型,但国内市场一直以TC10(TC11窄幅版)为主,直到2022年后常规机幅产品才不再销售,而以1280mm机幅的TC15为主进行销售。国内最早成功推出加宽机幅的产品是郑州宏大的JWF1204-120梳棉机,但宽幅机型一直不是其主导销售机型,青岛宏大推出1500mm机幅的JWF1209后,种种原因,宽幅机型市场销售不多,直到1280mm机幅的JWF1213成熟后,其加宽机幅的产品才得以大批量推向市场。卓郎(常州)清梳联起步较晚,但发展势头强劲,目前1000mm、1280mm、1380mm机幅产品都在全球销售。
宽幅梳棉机的市场推广应用已有二十多年时间。与传统梳棉机相比,哪些是宽幅产品的核心技术,如何突破宽幅的瓶颈同时又有哪些有待继续研究的关键技术呢?
一、宽幅梳棉机的技术分析
对清梳联梳棉机来说,喂入棉层的纵横向均匀稳定、主梳理区器材冷热车精度保证、高速转移区输出棉网的稳定是幅宽加大后重点关注的问题。
1.1 清梳联棉箱
清梳联棉箱输出稳定的筵棉是其终极目标。但是随着机幅宽度的增加,整个机幅宽度筵棉如何均匀却是一个不小的难题:幅宽加大,上棉箱原料横向均匀性如何保证?如果上棉箱横向均匀性不好,棉箱给棉罗拉与给棉板之间如何充分握持?下棉箱采用什么方式可以改善气流在整个幅宽方面的均匀性从而实现输出筵棉的稳定?
从上棉箱进棉状况观察,原料在气流和惯性的作用下,偏向于从进棉的远端一侧进入给棉罗拉与给棉板握持钳口。原料进入握持钳口后,此处气流排泄阻力加大,容易形成涡流,扰乱后续原料均匀降落。同时罗拉两侧的针布对气流有一定阻挡,对于透气性好的原料,原料不容易扩散到两端形成密度合适的棉层,从而在握持区域产生断层。似断非断的纤维不能形成均匀连续的棉层,松散的原料不能完全被打手转移。纤维越松散,越不容易转移而缠绕到罗拉表面,给维护保养工作带来不便。机幅越宽,上棉箱两端气流的速度变化越明显。常见的棉箱两侧面回风方式加剧了这种速度差,直接影响棉箱内原料的密度分布以及给棉罗拉与给棉板之间原料密度状态。改变回风方式是解决上棉箱横向不匀的一个途径。将两端回风方式调整为整个幅宽方向回风,使回风直接进入滤尘系统(图1)以改善上棉箱内横向压差分布。但是仅仅改变回风方式还不能完全保证上棉箱原料的完全均匀。


图1 上棉箱回风方式的改变
既然上棉箱宽度方向原料密度已经存在差异,通过什么途径可以改善差异,以保证最终输出筵棉的均匀稳定呢?为解决幅宽方向原料均匀性的差异,不同主机厂给棉方式采用不同的握持方法。有主机厂为使原料充分握持,采用分段式给棉板和弹簧加压的方法(图2)。也有采用双罗拉喂入方式(图3),改变给棉罗拉与给棉板为双罗拉结构,使原料都采用主动方式向下棉箱输送。这些给棉结构只能解决上棉箱不匀棉层的输送问题,而棉层本身不能发生改变。


如果上棉箱的不匀还有下棉箱可予以弥补,那么对于下棉箱,如果不能输出均匀的筵棉,那就直接影响梳棉机喂入量的稳定。因此,如何保证下棉箱输出筵棉的均匀是宽幅棉箱的关键。
下棉箱输出原料的均匀稳定主要受风机位置、风道形状的影响,整个幅宽方向气流速度均匀是下棉箱输出均匀筵棉的关键。
我们采用CAE模型分析:
假定风机转速2850rpm,风机入口/出口边界条件:环境压力1.013x105Pa
用多孔介质模拟棉花对气流的阻碍作用,在棉花入口加入密度与棉花接近的颗粒模拟气流对棉花的作用。简单加宽后的模态见图4。

图4 宽幅气流对棉花的作用
分析离子流的运行轨迹,我们发现加宽幅宽后,下棉箱气流明显不均匀,在两侧部位出现速度较低的涡流区。
通过对不同结构的静压风道及棉流通道的CAE分析,得出最佳流道结构,使气流能均匀分布在整个机幅宽度上,实现输出筵棉的均匀稳定。

图5 优化结构后的棉流分布
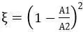
同时我们对流道进行理论分析。假定风机出口截面面积A1,加宽幅宽后风道截面为A2,那么,管道扩大的局部阻力系数

局部压力损失△P,

上述公式中, ρ为气体密度,V为截面2处气体平均流速。从公式可以看出,风机出风口结构没有改变,风道结构不变,而宽度加宽后,局部阻力系数加大,局部压力损失增加。
从流体力学连续方程看,由于风道截面的加大,流速变小很多。如果采用突变管路,在加宽管道的两端会产生涡流区,对于截面加大后的流速均匀性产生不利影响。如果采用渐变管路,管路出口风速值及风速在幅宽方向的均匀一致性也需要考虑。
因此,在进行风道设计的时候,可以使用分析软件进行仿真,得到的结果可以为研发结构指明方向。也可以采取理论计算的方法,初步评估风道是否可以满足幅宽加大的需要。
1.2. 主梳理区元器件分析
主梳理区器材静态、动态精度是梳理质量的保证。幅宽加大后,活动盖板、固定盖板等专件精度是我们关注的重点。
1.2.1活动盖板静态变化情况
幅宽加大后,细长杆件的挠度变化是否能适应高产的需要?为此,我们对比分析计算不同结构活动盖板(图6)在梳理力、重力作用下的挠度,选择挠度变化最小的结构。

图6 不同结构的铝合金活动盖板
X、Y方向的变形量通过下述公式进行计算。X方向为锡林筒体的切线方向,y方向为重力方向。

式中P为重力,L为盖板长度, E为材料的弹性模量,J为盖板的截面惯矩。
Xmax=ql3(12L-7l)/384EJ
其中q为平均梳理力(N),l为梳理力作用于盖板骨的长度(mm),L为盖板总长度(mm),EJ为截面抗弯刚度,E为盖板骨材料的弹性模量,J截面惯矩。
当梳棉机产量越高,单位时间内通过的纤维量越大时,梳理负荷越大。通过计算看出,活动盖板产生的变形也会越大。
除理论计算外,我们通过CAE分析得到改进方向的建议。
——设定边界条件
每个模型的长度均为1400mm,两端铰接如下图:


图7 盖板变形分析
——活动盖板属于两端铰接的梁结构,主要承受的是弯矩,受力后的理论变形图如上。
——由应力分布图看出:活动盖板承受弯矩的作用下,发生弯曲,其中活动盖板的上、下两个表面的应力最大,其中上表面受压、下表面受拉,而接近中线偏下的位置应力为0,为中心面。
CAE分析结论:加大活动盖板的高度,可以增大活动盖板强度。这是静态分析的结论。动态情况又怎样呢?
(未完待续)
作者:黄 波 浙江锦峰纺织机械有限公司 杨巧云 卓郎*疆新**智能机械有限公司
编辑:中国纱线网新媒体团队
对于本期话题你有什么看法?欢迎转发、收藏、评论、点赞,走过路过不要忘了关注,不关注一个,不许走~
领取福利:
第一步、关注。
第二步、私信回复加群,邀请您加入500个纺织群,群内海量求购供应信息让您1分钟找到客户。
领取福利!500个纺织群等您加入,一分钟找到客户
如果你想看更多纺织资讯,最新行情,可以前去公众号「中国纱线网」
回复数字「2」,及时获取最新纺织行情