文|海员老余
编辑|海员老余
前言
作为最轻的强子,也是最简单的复合粒子,π介子包含了非微扰QCD过程最基础的信息,所以对于π介子自身以及它所参与的物理过程的的研究, 尤其是高阶修正的研究,对于探究强子化机制以及如何进因子化等都是相当基础和极其重要的。
kT因子化理论,作为处理涉及到小部分子动量分数x的微扰QCD过程的基本工具,已经在单举和遍举过程中得到了广泛的应用,但是到目前为止,这些应用大部分还是局限在强相互作用賴合常数的领头阶水平上。

为了说明这套理论的系统性和完整性,高阶的计算就显得尤为必要, 本文将在kT因子化理论的枢架下,借助因子化假设成立的相关证明。
重点考虑π介子光子跃迁过程和电磁跃迁过程的次领头阶修正,计算出它们在次领头阶上的修正硬核函数,给出解析表达式和相应的数值结果。

π介子光子跃迁过程的研究
次领头阶的硬核修正因子可以写成次领头阶完整QCD修正图与次领头阶波函数有效图和领头阶硬核卷积的差值形式,在kT因子化理论框架中, 讨论诸如此类QCD高阶修正的关键点是,将完整图和有效图中的轻夸克外线偏离质壳,也就是说轻夸克携带动量。
这里得到次领头阶修正硬核的过程和在有效场理论中推导Wilson系数的方法相似,规范依赖性就在这两类图形中获得消除,得到依赖于横动量kT的规范不变的硬核,这也说明了kT因子化理论的预言满足规范不变性。

另外,简单定义的kT相关的强子波函数里会携带有光锥奇异性,即使在夸克层次完整图中不会出现送类非物理的的奇异性, 但是窩阶硬核是完整图与有效形式的差值形式,就使得高阶硬核修正因子也会携带这类奇异性。
当然,李湘楠等人也尝试着求解B介子和π介子波函数对光锥方向依赖性的演化方程,将光锥发散的正规化方案依赖性重求和到kT相关的波函数里,以此来解决光锥发散问题,他们发现重求和的结果可以把端点区域的贡献再次压化~25%,将采用一般惯用的介子波函数。

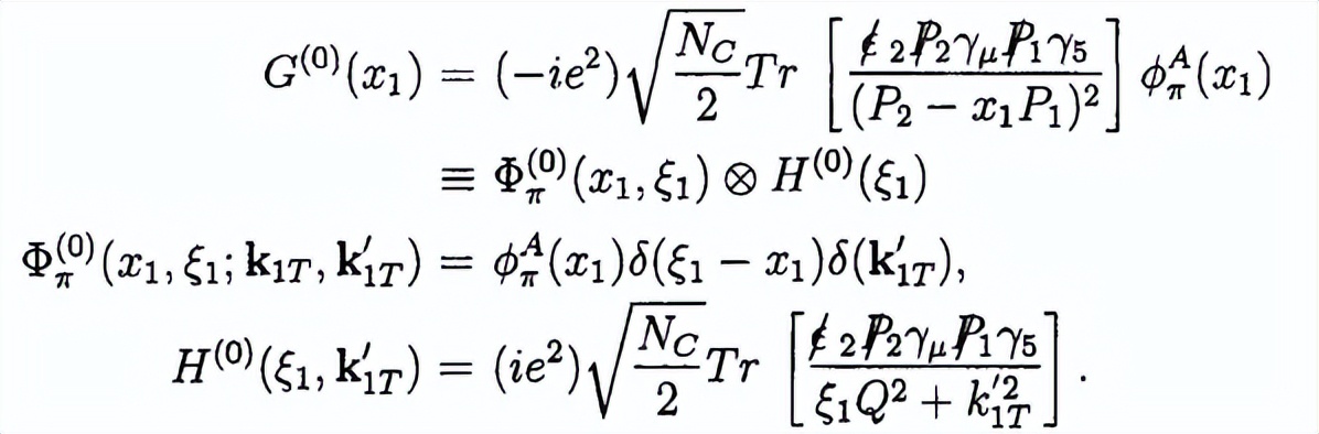
领头阶πγ*→γ光子跃迂过程的完整夸克图如上图所示, 外线反夸克携带在壳的分数动量k1,在领头阶的跃迁振幅写成:

由于对振幅求迹的要求,所以只有正比于旋量结构γ5γ-的2扭度的π介子波函数才会有贡献,另外由于π介子最低化Fock态中价夸克的同位旋对称性, 图(a)(b)振幅是相等的,所以我们只需要具体的讨论(a)图的修正即可。
因为kT因子化方法适用于由小X区域主导的物理过程,我们考虑在小x区域的行为时,对部分子横向动量的处理就和在共线因子化方案下有本质不同,这时k21T与ξQ2相比就不是一个小量,内部传播子就不能按照k21T来展开成级数形式。
而分子上与纵向贡献相比被1/Q压低的横向动量k1T,就会和三部分子波函数组合构成来形成一个规范不变的高Fock态高扭度的贡献,这一点和共线因子化理论倒是一致的。

上图是对于次领头阶修正的完整夸克图,其中红线代表福射胶子,由 于福射胶子软发散的动力学限制,仅有的共线发散可以因子化到π介子波函数里:

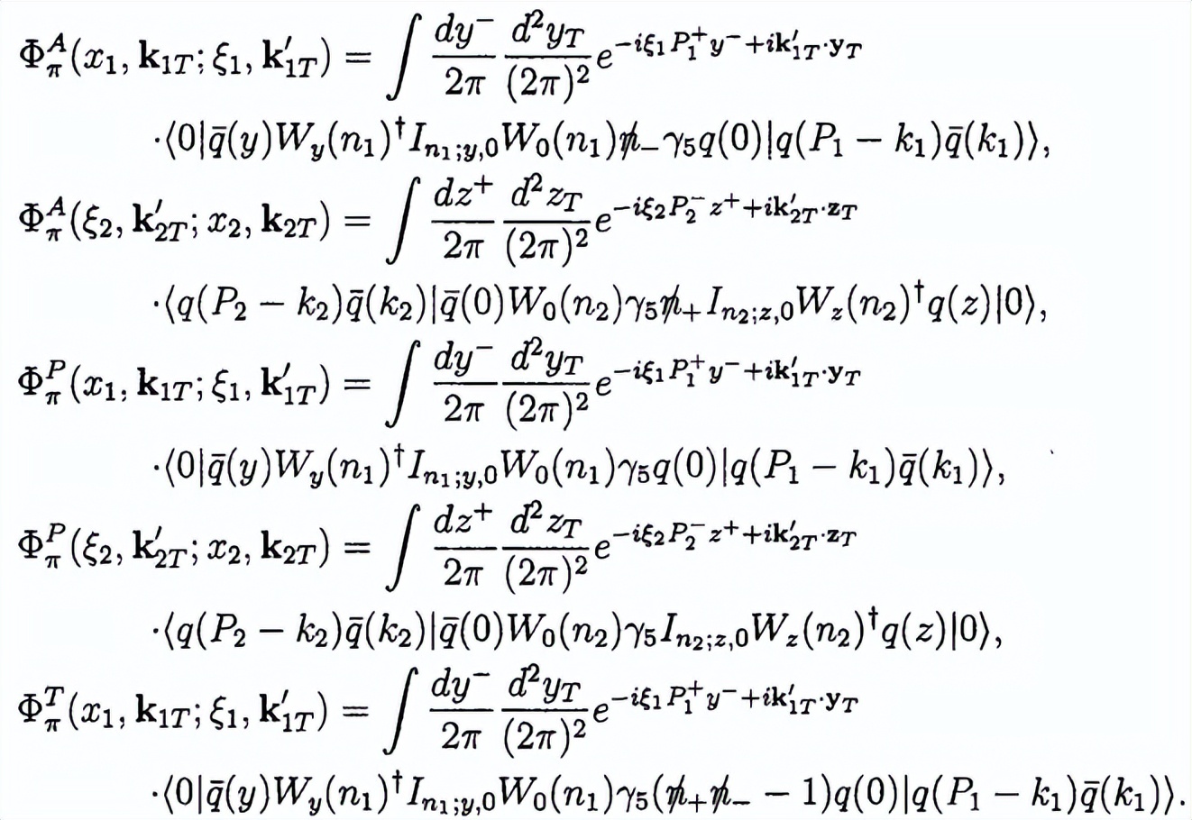
这里次领头阶2扭度的波函数,可以把它重写成包含Wilson链的非定域矩阵元形式:

定义Wilson线算符Wy(n)偏离光锥n2≠0来正规化光锥奇异性,这样波函数里的n~n-区域的发散就可用额外的标度来正规化, 两条Wilson线Wy(n),W0(n)在纵向位置无穷远处通过Wilson链相连。
因子化等式告诉我们,次领头阶的修正硬核可以写成:

所以为了得到H(1),就需要计算阶夸克层次完整图振幅G(1)阶波函数有效图, 接下来我们就具体考虑次领头阶的计算。
首先对于完整图,有运动学定义和计算约定,我们可以直接写出他们的辐射修正振幅:

为了避免由于手征γ5矩阵在任意维度里的不确定性,我们采用维度约化方法来简化并计算这些积分, 这样对于外线和内线的自能修正图(d,f,c)的积分结果就是:

这样轻微离壳仅k21T的外线夸克自能修正图(d,f)产生的共线发散就通过红外对数ln2(k1T)正规化出来,由于π介子中的同位旋对称性, 波函数主要贡献来自于动量分数在x1~0.5处,所以内线夸克自能修正是不会产生红外发散的。
而对于顶角修正图(a,b),在小的x1区域丢掉被x1或者k21T/Q2压低的项后,它们的单圈辐射振幅积分后的结果是:

最后,我们来分析一下箱图修正图(e)的幂次行为,由于软发散最终都会吸收到波函数里并且和自能图(d,f)中的软发散相消, 我们这里只关注共线发散和紫外发散,大x1T区域的福射修正图(e)不会改变领头阶的幂次行为,此时的贡献是有限的。
在不考虑软发散的情况下,小x1区域箱图福射修正相对于领头阶共线反而是被Λ/Q压低的,如此一来,我们可以将次领头阶修正图的所有可能红外贡献相加,得到夸克层次的完整修正振幅:

而且在做这个求和的过程中,我们会发现, 所有的紫外发散可以完全相消这样重整化标度的依赖性就不存在了,这也是定义π介子光子跃迁形状因子流守恒的一个必然结果。
接下來我们考虑次领头阶波函数的有效图,如下图所示,它对应着波函数和硬核的卷积形式。

按照等式中定义的波函数,我们可以将有效图代表的波函数形式写成:

其中无量纲单位矢量n+=(1,0,0T)沿着初始动量P1方向,将式中的次领头阶波画数分别和领头阶硬核好做卷积, 则可以得到次领头阶的有效贡献,通过围道积分的方法,与图(e,g)对应的介子夸克线自能图与硬核的卷积结果是:

对于涉及到程函近似产生的Wilson线的有效图,为了避开光锥奇异性,我们可以选择Wilson线沿着偏离光锥方向n,在小x1区域,选择n+<0,通过围道积分也可以得到有效图(a,b)对应的有效振幅。
由于π介子的特殊性质,有效图(c)对应的波函数式可以通过图(a)对应的式做简单运动学变换即可, 如此一来,图(c)对应的卷积也可以通过图(a)的结果通过变量代换得到,写成:

但是对于有效图(d),因为它对应的是胶子动量流进了硬核内部,所以无法通过像图(c)和图(a)间的变量变换,从图(b)的结果直接得到,图(d)在小x1区域的卷积结果写在式中:

双对数的相消是显而易见的, 将所有的有效图对应的卷积形式求和,得到次领头阶的有效振幅。


我们发现,在小x1区域,所有与k1T相关的大的双对数都不再存在, 这也是由π介子波函数并不是由软胶子动为学所支配的原因所决定的。
由于有效图的卷积结果式依赖于决定重整化过程的因子化方案,所以次领头阶硬核也是依赖于因子化方案和重整化方案的,我们可以通过将相关标度固定在描述硬核的标度上,来最大程度减小方案依赖性。
另外,由于内线传播子在壳可能引发额外的大对数发散,我们在有效图中只考虑了波函数中福射胶子有可能产生的红外贡献, 并没有考虑这一类由内线在壳引发的发散,所以接下来我们仍需将这类对应下图所示喷注函数的大对数减掉。

将因子化标度选在跃迁能量上μf=Q上,并采用渐进的π介子波函数,数值计算告诉我们此项硬核修正因子,相对于领头阶的跃迁形状因子,只会带来~5%的修正。
这就说明在kT因子化方案下, 次领头阶的修正对遍举过程光子跃迁过程的修正当然在可控范围内,并且基本不带来什么影响, 但是对于别的遍举过程,kT因子化方案下的次领头阶修正会带来多大影响,这些修正会不会保持微扰汁算的收敛性都是需要验证的问题。
π介子电磁福射过程的研究
领头阶的π电磁形状因子如下图所示,由于π介子是有的构成的Goldstone玻色子,所以我们只需要着重考虑(a)图。

其它的子图的振幅都可以利用(a)图的结果通过变量代换得到,首先定义图中的运动学变量:

图(a)的跃迂振幅就可以写成:

形状因子是对硬核在纵动量分数xi以及横动量共辆空间bi的积分, 这样领头阶π电磁跃迁形状因子的具体表达式为:

这里已经考虑了领头阶费曼图中所有图的贡献,目前在具体的数值计算中,我们可以将重整化标度和因子化标度都选在硬标度上,来最大化的减小这些标度和重整化方案的依赖性。
因子化理论告诉我们,次领头阶的硬核可以写成完整费曼图振幅和有效图振幅的差值形式:

对于领头扭度的修正的初末态的π介子波函数, 对于次领头扭度的修正的初态介子波函数,它们收集了如下波函数表达式的贡献:

波函数中Wilson线的表达式为:

将π介子电磁跃迁过程的次领头阶修正图,按照修正胶子从哪条外线夸克上辖射出,划分成了初态修正图和末态修正图,当然, π介子电磁跃迁过程夸克层次的次领头阶修正图也可以按照圈图计算中涉及到的积分动量的传播子数目来划分。
这个分类方法下次领头阶修正图可以分为自能图,顶点图及箱图和五点图,在kT因子化方案下,这些图中所以的外线轻夸克都是轻微离壳k2iT以此来正规化可能出现的红外发散,首先定义无量纲的比列参数:

在具体的计算过程中,因为领头阶的动力学原因以及kT因子化方案是和处理小x区域物理过程的方法特征性,所以可考虑计算等级来简化计算。

数值结果
具体的讨论π电磁形状因子的数值结果,考虑次领头阶修正的贡献,同时也对不同输入波函数分布振幅做简单的比较, 在考虑次领头阶修正因子后,次领头阶的π介子电磁形状因子就可以在领头阶贡献的基础上表达成:

为了得到数值结果.还需要选择输入的π介子波画数分布振幅,选择两类分布振幅,通过比较远两类输入分布振幅得到的数值结果,我们在讨论次领头阶修正影响的同时,也可以探究波函数分布振幅中泰勒展开高阶项的贡献。
下图所示的是,在采用渐进的π介子波函数分布振幅时,π电磁形状因子随着动量转移Q2的演化行为,其中(b)图是(a)图在1≤Q2≤10GeV2区域的放大。

为了能直接比较不同扭度,不同阶对形状因子贡献的相对大小,我们可以定义如下的比例关系:

具体的考虑了π介子光子跃迂过程和电磁跃迁过程,在它们领头阶的形状因子的计算基础上,重点计算了它们的次领头阶的修正, 所有次领头阶的计算都表明,在对于红外发散做的因子化证明是正确的。
用外线捏夸克离壳度k2iT的对数来作为可能出现红外发散的正规子,完整修正图中产生的红外对数要么在自己的完全集内相互抵消,要么可以和有效图对应卷积振幅的红外对数相消,也就是红外发散最后都可以吸收到波函数里。

对于考虑光子形状因子.由于领头阶只有2扭度的π介子波函数会产生贡献, 所以次领头阶修正只需要考虑领头扭度的波函数,修正的硬核因子会给领头阶形状因子带来~5%的提高。
对于电磁形状因子,在领头阶2扭度和3扭度波函数都会有贡献,而且它们的贡献在同一个幂次上,所以次领头阶就需要同时考虑这两种扭度的修正。
数值结果说明2扭度的次领头阶修正会给领头阶电磁形状因子带来~30%的提高,而3扭度的次领头阶修正则带来~10%的减小,这样整个次领头阶的贡献就是~20%。

笔者观点
笔者认为,讨论修正因子带来的修正效应,不仅可以更清楚的了解介子内部强相互作用的机制和非微扰动力学区域的行为, 而且还为高能物理实验提供了,一种研究粒子性质和相互作用的重要手段,有助于揭示自然界的奥秘。
相信通过深入研究,可以帮助深入了解强子物理学的基本原理,并推动对于更深层次的粒子物理学的探索,扩展对基本粒子相互作用和宇宙本质的认识,促进科学的进步和技术的发展。
参考文献
[1]肖振军.B介子物理学.科学出版社,2013.
[2]黄涛.量子色动力学引论.北京大学出版社,2011.
[3]黄柏林.手征微扰理论中的介子—重子散射.云南大学,2018.
[4]郭星雨.磁场中的夸克物质.清华大学,2018.
[5]李强.高激发态重介子的产生与衰变研究.哈尔滨工业大学,2017.