最近在看凯文··凯利的《失控》,相信不少朋友都读过或听过这本大作,书中第5章第5节提到了博弈论衍生出的“社会困境”分为四种变体,分别是“草鸡博弈”、“猎鹿博弈”、“僵局”、“囚徒困境”,然而书中对“僵局”的解释语焉不详,给不少读者造成了疑惑,作者没有深厚的数学知识及博弈论相关的任何专业素养,于是以大家能看懂的方式为这四种模式做个简要分享。

1.什么是博弈论?
博弈论,又称为对策论(Game Theory)、赛局理论等,既是现代数学的一个新分支,也是运筹学的一个重要学科。博弈论考虑游戏中的个体的预测行为和实际行为,并研究它们的优化策略。
换成大家容易理解的方式就是:
我预测了你的动作;
你预测了我对你的预测;
我预测你预测到了我对你的预测;
……
然后这样不断重复,直至做出具体动作并得到博弈结果。
这本质上是一个二级混沌,一级混沌不会因为预测而改变,二次混沌则会随着预测而改变结果。
2.草鸡博弈(Chicken Game):
也叫斗鸡博弈、懦夫博弈、胆小鬼博弈,书中的原文是:“草鸡博弈”是供鲁莽的青少年玩的游戏。两辆赛车朝悬崖边奔去;后摔出来的司机是赢家。可谓短小精辟,另一方面也说明了我和很多读者的情况一样,有具体的案例更容易理解。
整体来说“草鸡博弈”是一个博胆行为,狭路相逢勇者胜,我也举个身边的例子,有个朋友说他前两天遇到一个逆行超车的还是左转来着,具体记不清了,总之我朋友是直行,对方理应让行,我朋友说他根本没松油门,反正有保险,最终对方先认怂了。在这里我不是说我朋友的行为正确,而是阐述一个生活中的“草鸡博弈”案例,对方认为继续相向而行的成本太高而率先退出。

(草鸡博弈也叫斗鸡博弈)
“草鸡博弈”的结局一定是两败俱伤或者一方败退,换位思考和协议补偿是解决“草鸡博弈”的方式,也就是我可以让步,但是你怎么补偿我?又或者是我想让你让步,我选择用什么来补偿你?古巴导弹危机是“草鸡博弈”在现实中的表现,大家可以想想还有哪些现实事件符合“草鸡博弈”理论。
3.猎鹿博弈(Stag hunt game):
也叫猎鹿模型或猎人的帕累托效率,同样祭出《失控》中的原文:“猎鹿”是一群猎手面对的难题,他们必须合作才能把鹿杀死,如果没有人合作的话,那么开小差各自去撵兔子会更好些。他们是在赌合作(高回报)还是背叛(低,但是肯定有回报)吗?
猎鹿博弈出自法国启蒙思想家卢梭著的《论人类不平等的起源和基础》,具体内容是:古代的村庄有两个猎人。当地的猎物主要有两种:鹿和兔子。如果一个猎人单兵作战,一天最多只能打到4只兔子。只有两个一起去才能猎获一只鹿。从填饱肚子的角度来说,4只兔子能保证一个人4天不挨饿,而一只鹿却能让两个人吃上10天。这样两个人的行为决策可以形成两个博弈结局:分别打兔子,每人得4;合作,每人得10。这样猎鹿博弈有两个纳什均衡点,那就是:要么分别打兔子,每人吃饱4天;要么合作,每人吃饱10天。并配下图说明:

(两个猎人的四种选择及对应结果)
很显然猎兔不是最优选择,并不能充分利用现有资源,也就是没有达成“帕累托效率”,而从各自猎兔的角度看,合作猎鹿是为了达成1+1>2的效果,可以看到这就是典型的“非零和博弈”,国际和企业间的强强联合都可以视作合作猎鹿。然而在猎鹿过程中,谁出卖的力气更多,成功猎鹿后,谁获得的利益更大则是更值得思考的问题。你可以选择上班摸鱼,也可以选择配合老板命令做好项目,但是收益嘛~
4.僵局(Deadlock)
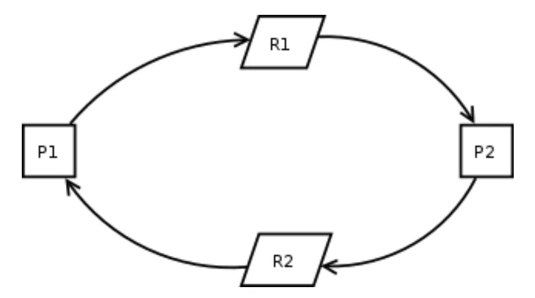
“僵局”是不少读者疑惑的地方,书中表述为:“僵局”是挺无聊的游戏,彼此背叛收益最高。“僵局”到底是什么样的体现形式呢?其实可以参照Deadlock的直译“死锁”,也被译作死结。维基百科给出的名词解释是:计算机科学名词。当两个以上的运算单元,双方都在等待对方停止执行,以取得系统资源,但是没有一方提前退出时,就称为死结。同时维基百科也给出了配图说明:

配图的解释文字是:P1、P2两个process都需要资源才能继续执行。P1拥有资源R2、还需要额外资源R1才能执行;P2拥有资源R1、还需要额外资源R2才能执行,两边都在互相等待而没有任何一个可执行。

(假如你在这里碰到对头车)
是不是有点绕,其实有更简单的说明方式,这里举个例子,假如你要去一个地方,必须路过一条只能通过一辆汽车的小道,这时遇到了对头车,对方和你相向而行,你俩都要通过这条路,结果显而易见,只能有一辆车退出,两辆车才都能去往自己的目的地。
此外还有一个与“死锁”类似的场景叫“活锁”或“活结”,即Livelock,解释是:与死结相似,死结是行程都在等待对方先释放资源;活结则是行程彼此释放资源又同时占用对方释放的资源。当此情况持续发生时,尽管资源的状态不断改变,但每个行程都无法取得所需资源,使得事情没有任何进展。

(被迫使用一张带水印的图解释“活结”)
这个例子更容易举:比如还是这条路,这次你和对面的人都骑自行车,而这条路能容纳两辆自行车并排通过,但是你和对面人一个习惯左边骑,另一个习惯右边骑,然后你们遇上了,很显然你们在同一条车道,这时你和对方都礼貌的换到另一车道让行,不幸的事情发生了,你们“向”上了。这就是“活结”。
“死锁”的解决方案是一方退出占用资源,在计算机系统还可以用重启来重置场景,“活结”的解决方案是双方停止谦让,各自占用各自资源。

(囚徒困境可能是最知名的博弈论场景)
5.囚徒困境(Prisoner's dilemma):
囚徒困境可谓博弈论中最典型的场景,同样先摘原文:
“囚徒困境”是由兰德公司的梅里尔·弗勒德于1950年设计出来的。游戏中,两个分别关押的囚徒必须独立决定否认还是坦白罪行。如果两人都认罪,那么两人都会受到惩罚。如果两人都否认的话,则都会被无罪释放。但假如只有一人认罪,那么他就会得到奖励,而另一个则受到惩罚。合作有回报,但如果策略奏效的话,背叛也有回报。
MBA智库中关于这一段的描述是:囚徒困境最早是由美国普林斯顿大学数学家阿尔伯特·塔克(Albert tucker)1950年提出来的。他当时编了一个故事向斯坦福大学的一群心理学家们解释什么是博弈论,这个故事后来成为博弈论中最著名的案例。故事内容是:两个嫌疑犯(A和B)作案后被警察抓住,隔离审讯;警方的政策是“坦白从宽,抗拒从严”,如果两人都坦白则各判8 年;如果一人坦白另一人不坦白,坦白的放出去,不坦白的判10年;如果都不坦白则因证据不足各判1年。
而后MBA智库又做补充说明:1950年,由就职于兰德公司的梅里尔·弗拉德(Merrill Flood)和梅尔文·德雷希尔(Melvin Dresher)拟定出相关困境的理论,后来由顾问阿尔伯特·塔克(Albert Tucker)以囚徒方式阐述,并命名为“囚徒困境”。同样配表格解释:
|
甲沉默(合作) |
甲认罪(背叛) |
|
|
乙沉默(合作) |
二人同服刑半年 |
甲即时获释;乙服刑10年 |
|
乙认罪(背叛) |
甲服刑10年;乙即时获释 |
二人同服刑2年 |
可以看出两人的最优选择是合作,次优选择是两人同时背叛,最差选择时自己选择了合作,而对方选择了背叛。单次“囚徒困境”的随机性相对较大,就像抛硬币一样,但是如果把囚徒困境的次数增加呢,如何能在长期多次的“囚徒困境”中获得最大收益,获胜的策略叫“一报还一报”,也就是“以牙还牙”,实施这个策略需要四个前提:
1.友善:不选择先背叛;
2.报复:报复背叛者,让他下次不敢;
3.宽恕:为了收益最大化,引导之前的背叛者合作;
4.不嫉妒:不去主动争取收益最大化;
从现实情况来看,无论国家行为抑或是企业行为都存在于某一个相对较长的周期中,所以“囚徒困境”很可能是促进社会合作的重要一部分。我们知道在“零和博弈”中选择对抗,在“非零和博弈”中选择合作是最优解,《失控》中同样阐述了零和游戏和非零和游戏的区别:在零和游戏中你总想隐藏自己的策略,但在非零和游戏中,你可能会将策略公之于众,这样一来,别的玩家就必须适应它。也就是之前所说的“一报还一报”。
那么如果在把“囚徒困境”的广度做延伸,不只局限于二人呢,比如高污染企业、森林的乱砍滥伐、渔业的过度捕捞,是否同样适用二人博弈时的策略。或许答案正是《失控》中驳斥的托马斯·霍布斯的理论: 只有在善意的中央集权帮助下才能产生合作。
文章部分内容摘自《失控》、维基百科、MBA智库等
完