百年来,中国一直通过招生考试的方式为高等院校输送人才,而青年们也通过考试的方式继续着学习。新中国成立以来,中国经历过将近60次高考,报考人数2.3亿。这2.3亿份青春与梦想,造就的是波澜壮丽,跌宕曲折的中国高考史。
百年来,高考题目的变迁也非常有意思。据说高考是我们人生知识的巅峰,那现在的你,面对这百年的高考题,还会不会想起当初的辉煌呢~
1933年国立清华大学入学试题
1912年中华民国成立。民国时期的高等院校招生考试施行各大学自主招生的政策,各家独立自主命题。
清华大学的前身国立清华大学也有着自己的入学考试。这份1933年的入学试卷中真实记录着考试科目及内容,有国文、本国历史地理、代数几何平面三角、高中代数解析几何、高中物理学、高中化学、高中生物学、世界历史地理等。

本国历史地理
填空题:中国最大之米市在_________;最大之渔场在______;陶业最盛之地在_______;产大豆最多之地为_________;产石油最富之地为_______;贸易额最多之商埠为_______。
世界历史地理
填空题:欧战的结果______国破裂,_______国_____国疆土削减,_____、____、_______等国新兴。
国文
作文题:就下列五题中择一,文言白话均可。
苦热 晓行 灯 路 夜
英文
作文题:Retell in English an incident from the San Kuo Chih(三国志演义)(About 150 words)
高中物理
解答题:
一飞机距地面1000呎(foot),其速率为每小时100哩(mile),正对某阵地水平飞行,设欲炸毁该阵地,问飞机应飞至何处,将*弹炸**掷下始能有效?并绘图说明之。
高中代数解析几何
解答题:若数种二次曲面系由直线移动而成,试列举其名。
高中生物
解答题:试述孟德尔氏之遗传定律并举例说明之。
高中化学
解答题:试述冶金法之普通原理。
1946年西南联大招生题
1941年因为全国抗战进入相持阶段,全国性统考无法组织。停止全国统考后,民国教育部制订和推广了“联合招生”、“委托招生”等招生制度。

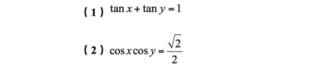
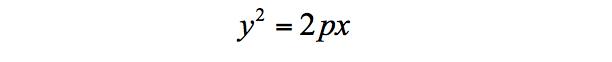
数学
1.解下之联立三角方程式

2.试证在拋物线正焦弦两端点所作切线互相垂直,又若此拋物线方程式为:

试求其在上述二切线为坐标轴时之新方程式。
物理
(a)若在一颇不透明之板中凿一方形之大小穴,以使阳光透过小孔而射于墙上,则所得之像为圆形而非方形,试言其故。
(b)不发光之物体,可因发光体之映照而为吾人所见,其故安在?
理化
1.试叙述“游离学说”,并详述氧化钠溶液于电解时之各种变化。
2.平衡下列各方程式。

化学
设有气体一瓶,仅知其可能为氯气,或为氧气,或为氢气,或为二氧化碳,或氮气。问应用何方法及步骤以鉴定究为某气?
生物
试述人类小肠的结构和功能。
英文
作文
Write a short composition on the “Human Body” and divide it into four paragraphs. Discuss the parts of the human body in the first paragraph, state the functions of the parts and of the body as a whole in the second, compare the human body with that of a bird in the third, and put your own ideas in the conclusion in the last paragraph. Any writing done not according to these directions shows failure to understand, and therefore receives no credit at all.
中外史地
1.秦始皇征服南越,设( ),( ),( )三郡。秦时今福建之地称( )郡。(原卷历史部分第三题)
2. 白山黑水系指( )与( )。
公民史地
1. 我国民法规定成年龄为若干岁?(原卷第一题)
2. 统一中国全国之朝代而寿命不满五十年者为( )( );渡江偏安之朝代而寿命超过百年者为( )( )。
国文
解释下列成语的意义:
(1)指日可待
(2)变本加厉
(3)隔岸观火
(4)息息相关
公民
(一)我国民法规定成年年龄为若干岁?
(二)未成年人之行为在法律上发生什么效果?
(三)国家之制始于何时?此制成立以前人类有何种政治活动?
(四)何谓人民权利宣言?五五宪草有此宣言否?
(五)说明货币之功用?
(六)节制资本之理由与方法如何?
(七)何谓机械体?何谓有机体?社会为机械体乎?抑为有机体乎?
(八)大家庭制与小家庭制之优劣如何?
1952年高考题
1952年8月15日、16日、17日3天,举行新中国成立后第一次全国统一高考。
每个科目考试时间为1小时40分钟,每个单位时间考两科,国文、数学、化学、中外史地、物理、政治常识、生物、外国语(俄、英),每个考生必须参加所有8个科目的考试。17日安排加试笔试和术科。报考文法财经等院校或系,政、国、外、史4科分数之和占60%,数、理、化、生4科分数占40%;理工农医等院校或系采计分数的科目比例则正好相反。
1966年“文化大革命”开始,废除高考,高校停止招生。
地理
填空白(每题1分)
(2)地球每( )小时自转一周,地球的自转产生了( );地球每( )天绕日公转一周,地球的公转形成了( )。
(3)开世界和平会议的斯德哥尔摩是:( )的京城。
(5)中朝边境间有( )、( )两条大河,在( )江上有( )发电厂被美帝国主义非法轰炸。
(6)红军长征自江西出发经( ),( ),( ),( ),( ),( ),( ),( ),到达( )。
(7)成渝铁路全长500余公里,它的起点是( ),终点是( ),在( )渡过沱江大桥。
(8)石漫滩水库在( ),可灌( )流域耕地九万亩,润河集蓄洪分水闸在( )境内,可控制( )干流七十二亿多立方公尺的洪水。
(10)我国的桐油产于:( ),( ),( ),( ),( )。
物理
(10)[4分] 劳卫制锻炼中,爬绳及格的标准是5米.一个体重60千克的人要达到这个标准,每爬一次需做功( )焦耳.(重力加速度是980厘米/秒2.
(9)[4分] 灯与幕之间的距离是125厘米.当会聚透镜距灯的距离是25厘米时,在幕上便可得到灯的清晰的像.那么会聚透镜的焦距是( )厘米.
(8)[4分] 一条竖直的铜棍,在空中自西向东移动.因地磁场所产生的感应电动势,使铜棍上端的电压比铜棍下端的电压( ).
数学

英语

化学

语文

1977年恢复高考
1977年国务院批转教育部《关于1977年高等学校招生工作的意见》,正式恢复高等学校招生统一考试的制度。据统计,当年的报考人数570万,录取人数27万人,录取率4.7%。
北京高考政治卷
三、人类社会的基本矛盾是什么?人类社会从低级向高级发展经历哪几种社会形态?(本题10分)
北京高考语文卷
一、作文:(本题满分为80分)
我在这战斗的一年里
二、答题:(本题满分为20分,每一小题10分)
1.在下面两段文字里,“中国的脊梁”是什么意思?“这一类的人们”和“一部分人”在当时各指的是什么人?鲁迅在文中批判了什么谬论,是怎样批判的?
我们从古以来,就有埋头苦干的人,有拼命硬干的人,有为民请命的人,有舍身求法的人,……虽是等于为帝王将相作家谱的所谓“正史”,也往往掩不住他们的光耀,这就是中国的脊梁。
这一类的人们,就是现在也何尝少呢?他们有确信,不自欺;他们在前赴后继地战斗,不过一面总在被摧残,被抹杀,消灭于黑暗中,不能为大家所知道罢了。说中国人失掉了自信力,用以指一部分人则可,倘若加于全体,那简直是诬蔑。
(《中国人失掉自信力了吗?》写于一九三四年九月)
北京高考数学卷
(六)某工厂今年七月份的产值为100万元,以后每月产值比上月增加20%,问今年七月份到十月份的总产值是多少?
(八)一只船以20海里/小时的速度向正东航行。起初,船在A处看见一灯塔B在船的北45°东(即北偏东45°)方向;1小时后,船在C处看见这个灯塔在船的北15°东(即北偏东15°)方向.求这时船和灯塔的距离CB。
北京高考历史卷
二、问答题:(共20分,每题10分)
1、秦末和明末农民起义的主要领导人是谁?说明中国封建社会农民起义总是陷于失败的基本原因?
2、今年是俄国十月革命多少周年?十月革命胜利的伟大历史意义是什么?
北京高考物理卷
3、汽车沿平直公路由静止以1米/秒2的加速度行驶10秒钟,然后匀速行驶。已知汽车(连同载货)的质量m=5吨,汽车所受的阻力f始终是100公斤。(g取9.8米/秒2)。求:
(1)汽车在匀速行驾时的牵引力F1,是多少牛顿?
(2)汽车在匀加速行驶时的牵引力F2。是多少#顿?
(3)牵引力在头10秒内所做的功A是多少焦耳?
(4)汽车在10秒末的动能E动是多少焦耳?
北京高考化学卷
3、画出核电荷数为17和20两元素的原子结构简图,并回答:
(1)它们各在周期表中第几周期?第几族?
(2)它们相互结合所形成化合物的化学键属于哪种类型?为什么?
(3)上述化合物的水溶液是否导电?为什么?如能导电写出有关的电离方程式。
(4)如何鉴定所形成的化合物?
北京高考地理卷
1、我国季风气候有什么特点?对农业生产提供了什么有利条件。
2、说明《全国农业发展纲要》规定的粮食平均亩产400斤,500斤,800厅三个地区的分界线。
北京高考英语卷
五、将下列短文译成英语:
我是红星公社的一个新社员。两年前离开城市到农村去插队落户。在贫下中农的帮助下,我提高了政治觉悟,学会了各种农活。今年一月,*党**支部叫我去当小学教师。从那以后,我一直教语文。我多么热爱我的工作和我的学生啊!
为了达到四个现代化的伟大目标,*党**号召我们青年人学习科学技术。现在我正在参加大学入学考试。我希望能考上大学。我一定为革命努力学习,争取做到又红又专。如果考不上,就回到农村去,在三大革命运动中更加努力工作。我将为把我们的祖国建设成为一个伟大的,现代化的社会主义强国作出贡献。
1978年高考
这一年的高考,全国首次实施统一命题,分省录取,这一考试制度基本沿用到现在。高考报考610万人,录取40.2万,录取率6.6%。

数学


英语

物理

地理

历史

还有那些有趣的高考题?
1983年,首次出现了漫画型高考作文题
写作(本题共45分。分两题写,说明性文字占15分,议论文占30分)。
(一) 仔细观察下面这幅漫画,写一段说明性文字,向没有看过这幅画的人介绍画面内容,字数在300字以内。不要写成诗歌或抒情散文。
(二) 根据上面这幅漫画的内容,自拟题目,写一篇议论文,字数在800字以内。不要写成诗歌或抒情散文。
注意:写在试卷上,每字占一格,标点符号也写在格内。要字迹清楚,卷面整洁。

据说有个学生在作文中写到:“一个农村的坏分子,要把公社的大坝挖穿,幸亏没有挖穿,不然就出大事。”
1984年高考数学卷
1984年据说是有史以来最难的一届高考数学卷子,难到什么程度呢?
1984年,《人民教育》第12期发表文章作了批评:今年高考数学(理科)试题不适合高校选拔新生,与现行中学数学教学要求也不吻合,试题偏刁、难度偏高、排列不当、分配不均。比如,安排没有考虑到考生的心理状态,采取由易而难的办法。第一大题选择答案,每一小题均需考生全面认真考虑所学内容,经过推理运算,去伪存真,才能获得正确答案。

2003年高考数学卷
2003年据说是一年“史无前例”的数学灾难,只有经历过的人才能懂,尤其是这一年,高考首次调整到6月7日、8日考试。据说21题的台风给无数人留下了心理阴影。


史上最惨青蛙 | 2014年高考试题生物(浙江卷)
(12分)为验证反射弧的组成与作用,某同学提出了以下实验思路:
取蛙1只,捣毁该蛙的脑,将其悬挂起来。
①用1%H2SO4溶液刺激该蛙左后肢的趾端(如图),观察是否屈腿。

②洗去H2SO4,再用1% H2SO4溶液刺激该蛙左后肢的趾端,测量该刺激与屈腿是否同时发生。
③分离得到该蛙左后肢的坐骨神经腓肠肌标本,用电刺激直接刺激腓肠肌,观察其是否收缩。
④用电刺激直接刺激上述标本的腓肠肌肌细胞,在坐骨神经上是否能测量到电位变化。
(说明:实验条件适宜;实验中的刺激强度足够;屈腿反射属于屈反射)
请回答:
(1)设计表格,并将预测的实验结果与结果的原因分析填入表中。
(2)为了验证屈腿反射中的反射中枢所在部位,在上述实验的基础上写出第⑤项实验思路。
一道让理科生完全理解文科生的题目 | 2017年高考全国卷一卷

很多同学印象最深的不是题目,而是……

诡异的光——2017年浙江卷

这道题作者的参与,引起了一场范围颇大的关于阅读有无标准答案,是否应当与作者思想相一致的大讨论~
来源:清华研读间