
日前,招商银行对现有的《招商银行个人用户积分奖励计划》进行了修订和完善,形成了新版的《招商银行个人用户积分奖励计划》。
公告表示新版《招商银行个人用户积分奖励计划》、《个人用户交易奖励积分适用商户说明》自2021年5月1日(含)生效。
据了解招商银行借记卡用户、招商银行信用卡用户、“招商银行App”用户、“掌上生活App”用户(以下简称“用户”)均可参加本计划。
但用户如有下述任一情形,招商银行有权取消用户参加本计划的资格:注销账户、信用卡逾期等账户或卡片状态不正常;涉嫌利用非真实交易、利用系统进行欺诈舞弊,或通过其他不正当途径进行恶意套取积分;违反《招商银行“一卡通”章程》、《申请开立招商银行个人银行账户须知》、《招商银行“一网通账户”开户须知》、《招商银行信用卡领用合约》、《招商银行信用卡章程》、本计划及其他相关规定等。
当然大家比较关心的还是积分问题,下面就来说说那些商户有积分、那么没有积分。
以下指定商户类别境内POS交易有积分


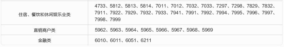
以下指定商户类别境内POS交易没积分



以下指定商户网络交易有积分,不在下图表内的无积分

招行天书-积分商户黑名单
那么问题来了,是不是大家按照上面的商户交易就一定有积分呢?并不是!前提是这些商户不在招行天书内。招行的积分商户黑名单就是大家常说的“招行天书”,天书内的商户一定不给积分。
招行天书数据库非常庞大,此次官网给出了2021年1、2、3月份的积分商户黑名单明细,三个TXT文件的压缩包16.2MB。

小编粗略算了下,最新的三月份黑名单商户有771312个商户。
最后提示下,招行在《招商银行个人用户积分奖励计划》中也提到了,用户如有 任何利用非真实交易、利用系统进行欺诈舞弊,或通过其他不正当途径进行恶意套取积分的行为,一经发现,由此累积的积分将视作无效。
招商银行有权取消其参加积分活动的资格,对其通过恶意套取积分所兑换的商品不予发放或追回其已兑换商品,并保留追究其法律责任的权利。