
| 制作时间: | 一天 |
|---|---|
| 制作难度: | ★★★☆☆ |
| GEEK指数: | ★★★☆☆ |
编译来源
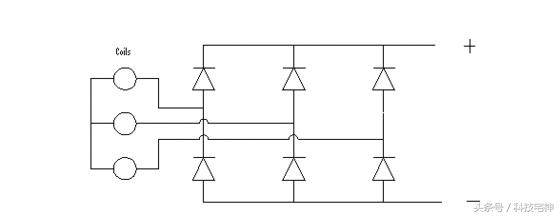
我们建造了一台功率1kW的风力发电机组,用来给电池组充电并且为我们的不联电网节能住宅提供电能。这是一个永磁发电机,能够产生3相交流电,整流成直流电压并供给充电器。磁铁在转子上,随着微风吹过而旋转。线圈则固定着,所以不使用电刷或者滑环就能将产生的电能引出。
双向电梯
1 带磁铁的转子圆盘





我们用水刀切下了一个12英寸(30.48厘米)的钢制圆盘,之后在上面按照磁铁的尺寸切出合适的安装孔,最后围绕圆盘边缘等距安装了12个N50级别的铷铁硼方形磁铁。磁铁的磁力越强越好。
在安放磁铁时将N极和S极按照NSNS的顺序交叉排列,这样当转子旋转的时候线圈能更多地切割磁力线,从而将更多的机械能转化为电能。之后我们还做了一个外圈模具,,浇灌树脂并固化,用来将磁铁和圆盘固定为结实的整体。这里要注意的是磁铁的磁极表面离线圈越近,磁力线越密集,感应出的电压也越高,所以在浇灌树脂之前要将将磁铁露出的磁极表面整平。
2 带线圈的定子圆盘






我们制作了9个分开的线圈,等距安装在定子圆盘上,并连接成3相星形配置,最后密封在固化的树脂中。每个线圈用两股14号漆包线平行绕35匝,这样能产生12V的电压。如果你想产生24V的电压,就需要绕上70匝。这里的相图中有3个定子线圈,实际上每个定子线圈是3个相同的线圈串联构成。具体的连接方式是线圈1/4/7,2/5/8,3/6/9串联。
线圈中导线的粗细影响载流量的大小,也就是发电机功率的大小,需要事先查找导线的载流量是否符合要求。每一次磁铁在线圈上方掠过时,线圈的每一圈都会切割磁力线感应出一定的电压,因此线圈匝数越多,就能收集到更多的磁能,输出电压越高。但是在相同的线圈体积下,匝数和导线的载流量,也就是粗细程度的要求互相冲突。好在下面的文献里收集了导线的相关规格,有助于在设计时权衡这个问题。
线圈接法可以参考这里资料的第十五页,星形接法。资料里的其他部分对制作也很有帮助:
线圈接法
3 制作并装配轴承


轴承用两个哈雷轮毂轴承套进尺寸恰好的钢管中即可,一小段直径比外层钢管略小的的钢管预先插入两个轴承之间,用来固定它们的相对距离。
4 制作浆叶
浆叶是2英寸(5.08厘米)x6英寸(15.24厘米)的松木板,在台锯上切出10度的斜角,并打磨出粗略的翼型。不算很完美,但是大致差不多了。
更多的制作细节可以参考:
http://tech.groups.yahoo.com/group/axialflux/
http://www.green-trust.org
5 把它们组装到一起
最后把转子,定子和轴承,轴,浆叶组装到一起。安装时转子上的磁铁要离定子上的线圈尽量近,发电机才有较高的转换效率。

最后,经测试,这个发电机的功率能够达到1kW,我很满意了。