导数与微分是微分学的两个重要概念,研究函数的各种性态以及函数值的计算或近似计算都离不开导数与微分,导数与微分是解决这些问题的普遍的有效的工具。
1、瞬时速度
如果物体作非匀速直线运动,其运动规律(函数)是 s = f(t),其中 t 是时间 ,s 是距离 。
现来讨论它在时刻 t0 的瞬时速度 。
在时刻 t0 以前或以后任取一个时刻 t0 + △t ,△t 是时间的改变量:
当 △t > 0 时, t0 + △t 在 t0 之后 ;当 △t < 0 时, t0 + △t 在 t0 之前 。
当 t = t0 时,设 s0 = f(t0)。
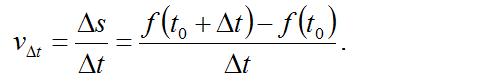
当 t = t0 + △t 时,设物体运动的距离是 s0 + △s = f(t0 + △t),有
△s = f(t0 + △t) - s0 = f(t0 + △t)- f(t0) ,
△s 是物体在 △t 时间内运动的距离,是运动规律 s = f(t)在时刻 t0 的距离改变量 。
已知物体在 △t 时间的平均速度 v△t (亦称距离对时间的平均变化率)是

图(1)
当 △t 变化时,平均速度 v△t 也随之变化 。
当 ∣△t∣较小时,理所当然地应该认为,平均速度 v△t 是物体在时刻 t0 的 “瞬时速度”的近似值 ,
当 ∣△t∣ 越小它的近似程度也越好 。
于是,物体在时刻 t0 的瞬时速度 v0 (亦称距离对时间在 t0 的变化率)就应是当 △t 无限趋近于 0 (△t ≠ 0)时,
平均速度 v△t 的极限,即

图(2)
瞬时速度的定义也给出了计算瞬时速度的方法,即计算(1)式的极限。
2、切线斜率
欲求曲线上一点的切线方程,关键在于求出切线的斜率。
设有一条平面曲线(如图所示),它的方程是 y = f(x)。
求过该曲线上一点 P(x0 , y0)(注:y0 = f(x0))的切线斜率 。

图(3)
在曲线上任取另一点 Q ,设 Q(x0+△x , y0+△y), 其中 △x ≠ 0 , △y = f(x0+△x)- f(x0)。
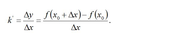
由平面解析几何知,过曲线 y = f(x)上两点 P(x0 , y0)与 Q(x0+△x , y0+△y)的割线斜率(即 △y 对 △x 的平均变化率)

图(4)
当 △x 变化时,即点 Q 在曲线上变动时,割线 PQ 的斜率 k' 也随之变化;
当 ∣△x∣较小时,割线 PQ 的斜率 k' 应是过曲线上点 P 的切线斜率的近似值;
当 ∣△x∣越小这个近似程度也越好 。
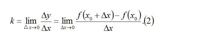
于是,当 △x 无限趋近于 0 ,即点 Q 沿着曲线无限趋近于点 P 时,割线 PQ 的极限位置就是曲线过点 P 的切线,同时割线 PQ 的斜率 k' 的极限 k 就应是曲线 过点 P 的切线斜率 (即 y = f(x)在 x0 的变化率),即

图(5)
于是,过曲线 y = f(x)上一点 P(x0,y0)的切线方程是
y - f(x0)= k(x - x0)
切线斜率的定义也给出了计算切线斜率的方法,即计算(2)式极限。
3、导数的概念
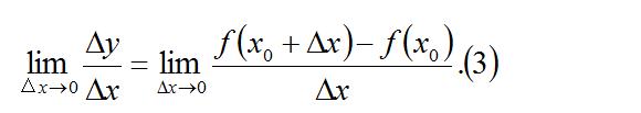
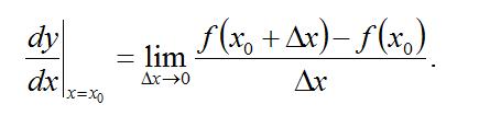
定义:设函数 y = f(x)在 U(x0)有定义,在 x0 自变数 x 的改变量是 △x ,相应函数的改变量是 △y = f(x0+△x)- f(x0)。若极限

图(5)
存在,称函数 f(x)在 x0 可导(或存在导数),此极限称为函数 f(x)在 x0 的导数(或微商),表为

图(6)
或

图(7)
若极限(3)不存在,称函数 f(x)在 x0 不可导。
定理1、若函数 y = f(x)在 x0 可导,则函数 y = f(x)在 x0 连续 。
定义:若函数 f(x)在区间 I 的每一点都可导,则称函数 f(x)在区间 I 可导。
若函数 f(x)在区间 I 可导,则 对任意的 x∈I 都存在(对应)唯一一个导数 f '(x),根据函数定义,f '(x)是区间 I 的函数,称为函数 f(x)在区间 I 的导函数,也简称导数,表为 f '(x),y' 或 dy / dx 。
4、例题
求正弦函数 f(x)= sinx 在 x 的导数 。
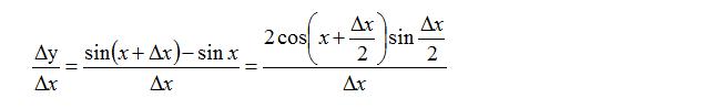
解: f(x + △x)= sin(x + △x)
△y = f(x + △x)- f(x) = sin(x + △x) - sinx

例题图(1)

例题图(2)
有

例题图(3)

例题图(4)
即正弦函数 sinx 在 R 任意 x 都可导,于是它在定义域 R 可导,并且 (sinx)' = cosx 。
同样,余弦函数 cosx 在定义域 R 也可导,并且 (cosx)' = - sinx 。