测量原理
孔板流量计是将标准孔板与多参数差压变送器(或差压变送器、温度变送器及压力变送器)配套组成的高量程比差压流量装置,可测量气体、蒸汽、液体及引的流量,广泛应用于石油、化工、冶金、电力、供热、供水等领域的过程控制和测量。节流装置又称为差压式流量计,是由一次检测件(节流件)和二次装置(差压变送器和流量显示仪)组成广泛应用于气体。蒸汽和液体的流量测量。具有结构简单,维修方便,性能稳定。在已知有关参数的条件下,根据流动连续性原理和伯努利方程可以推导出差压与流量之间的关系而求得流量。
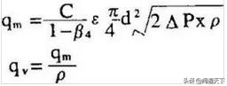
其基本公式如下:

c-流出系数 无量纲
d-工作条件下节流件的节流孔或喉部直径
D-工作条件下上游管道内径
qm-质量流量 Kg/s
qv-体积流量 m³/s
ß-直径比d/D 无量纲
流体的密度Kg/m³
可膨胀性系数 无量纲
基本结构
1.节流件:标准孔板、标准喷嘴、长径喷嘴、1/4圆孔板、双重孔板、偏心孔板、圆缺孔板、锥形入口孔板等
2.取压装置:环室、取压法兰、夹持环、导压管等
3.连接法兰(家标准、各种标准及其它设计部门的法兰) 、紧固件。
4.测量管
5.孔板流量计结构图:

环室取压标准孔板PN≤2.5

、
环室取压标准孔板4.0≤PN≤6.4

钻孔取压标准孔板PN≤2.5

紧固式八槽孔板PN≤10

焊接式八槽孔板PN≤10

径距取压标准孔板PN≤2.5

压透镜垫孔板PN22,32

法兰取压标准孔板4.0≤PN≤6.4
使用要求
孔板流量计是将标准孔板、智能差压变送器、三阀组、智能流量积算仪配套组成的,又称差压式流量计、平衡流量计,具有量程比差压流量装置,可测量气体、蒸汽、液体的流量。广泛应用于石油、化工、冶、电力、供热、供水等域的过程控制和测量。
在充满管道的流体,当它们流经管道内的节流装置时,流束将在节流装置的节流件处形成局部收缩,从而使流速增加,静压力低,于是在节流件前后便产生了压力降,即压差,介质流动的流量越大,在节流件前后产生的压差就越大,所以孔板流量计可以通过测量压差来衡量流体流量的大小。这种测量方法是以能量守衡定律和流动连续性定律为基准的。
孔板流量计节流装置(孔板流量计)是集流量、温度、压力检测功能于体,并能进行温度、压力自动补偿的新代流量计,该孔板流量计采用先进的微机技术与微功耗新技术,功能强,结构紧凑,操作简单,使用方便。
孔板流量计正常使用条件:
(1)工艺介质要持续的通过孔板流量计而且要充满导压管管,否则流量将无法测量。例如棒磨机给水流量无指示,仪表工到现场检查变送器打开排污有少量水流出,认为是导压管堵塞了,用氮气吹,发现是通的,仔细检查后发现节流元件安装在靠近出水口附近(常压),而且管道又再处(距地面11m)水没有充满工艺管道。建议把孔板流量计移位,后来把孔板移到距地面7米左右的横管段,这时水能满管流量指示正常。
(2)被测介质在物理上和热力学上必须是均匀的单相流体。
(3)被测介质流经节流装置时不得发生相变;即使导压管内发生相变也不行。
(4)节流装置所测得被测介质必须是稳定流,或被测介质是稳定的缓慢变化的,不适用于动流和临界的流量测量。
(5)流束应与管道平行,不得有旋转流。
安装要求
节流装置的安装和适用于下列管段和管件有关:节流件上游侧第一阻力件、第二阻力件,节流件下右侧第一阻力件,从节流件上游第二阻力件到下游第一阻力件之间的管段以及差压讯号管路等。

管道条件
( 1) 节流件前后的直管段必须是直的,不得有肉眼可见的弯曲。
( 2) 安装节流件用得直管段应该是光滑的,如不光滑,流量系数应乘以粗糙度修正稀疏。
( 3) 为保证流体的流动在节流件前 1D 出形成充分发展的紊流速度分布,而且使这种分布成均匀的轴对称形,所以直管段必须是圆的,而且对节流件前 2D 范围,其圆度要求其甚为严格,并且有一定的圆度指标。具体衡量方法:
( 4) 节流件前 OD,D/2, D, 2D4 个垂直管截面上,以大至相等的角距离至少分别测量 4 个管道内径单测值,取平均值 D。任意内径单测量值与平均值之差不得超过± 0.3%。
( 5) 在节流件后,在 OD 和 2D 位置用上述方法测得 8 个内径单测值,任意单测值与 D 比较,其最大偏差不得超过± 2%。
(6)节流件前后要求一段足够长的直管段, 这段足够长的直管段和节流件前的局部阻力件形式有关和直径比 β有关, 见表 1(β =d/D, d 为孔板开孔直径, D 为管道内径)。
( 7) 节流件上游侧第一阻力件和第二阻力件之间的直管段长度可按第二阻力件的形式和 β =0。7(不论实际 β值是多少)取表一所列数值的 1/2。
( 8) 节流件上游侧为敞开空间或直径≥ 2D 大容器时,则敞开空间或大容器与节流件之间的直管长不得小于 30D( 15D)。若节流件和敞开空间或大容器之间尚有其它局部阻力件时,则除在节流件与局部阻力件之间设有附合表 1 上规定的最小直管段长 1 外,从敞开空间到节流件之间的直管段总长也不得小于 30D( 15D)。节流件上下游侧的最小直管段长度表



注:
1、上表只对标准节流装置而言,对特殊节流装置可供参考
2、列数系为管内径 D 的倍数。
3、 上表括号外的数字为“附加相对极限误差为零”的数值,括号内的数字为“附加相对极限误差为± 0.5%”的数值。即直管段长度中有一个采用括号内的数值时, 流量测量的极限相对误差 τ Q/Q。应再算术相加 0.5%亦即( τ Q/Q+0.5)%
4、 若实际直管段长度大于括号内数值,而小于括号外的数值时,需按“附加极限相对误差为 0.5%”处理。
(6) 在水平或倾斜管道安装的节流装置的取压方式。一、被测流体为液体时,为防止气泡进 工艺管道入导压管,取压口应处于工艺管道中心线下偏≤45°的位置上,正负取压口处于与管道对称位置时,两者应在同一水平面上(如下图)。

二、 被测流体为气体时,为防止液体 截止阀 导压管(冷凝液)进入导压管,取压口应处工艺管道中心管道上方线上插≤ 45°的位置,正负取压口处于与管道对称位置时,两者应在同一水平线上(见下图)。

三、被测流体为蒸汽时,应保证冷凝器中冷凝液面恒定和正负导压管上的冷凝面高度一致,正负压口处于与管道对称位置时,两者应在同一水平面上(见下图 )

。
上述三种取压口的安装量式,均可与管道对称和管道的同一侧进行安装。
(7) 安装节流装置的管道处于垂直时,冷凝器应处于同一水平位置上,这样可以消除因取压孔位置高度不同而引起的测量误差。
(8) 导压管应按被测流体的性质和参数使用耐压,耐腐蚀的材质制造,其内径不得小于 6 ㎜长度最好在 16M之内,视被测流体性质而安,不同长度下的最小内径(见下表)。

(9) 安装差压信号 按 1:10 倾斜度敷设。
安装方式
测量液体:测量液体流量时工艺管道水平安装,差压变送器的位置放出空气处于节流装置下方时,取压口应在节流装置的水平中心轴线下偏45°角引出,这样可以消样除由流体传放出的气体进入导压管和差压变送器。

重复 开方
差压式流量计总是要有开平方运算这一环节,但若在差压变送器开了平方后,在流量二次表中再开一次平方,就会产生相当大的误差。表9.2所列即为各典型试验点重复开方后理论输出值的对照表。
重复开方后的理论输出对照表

重复开方的错误一般发生在差压变送器带来开方功能的系统中,是由于疏忽引起的,一般是在物料平衡计算中出现严重问题而怀疑流量示值大幅度偏高时才进行检查,并最后得到纠正。
避免重复开方错误的有效方法如下
①更新认识。许多老的仪表人员对差压变送器功能的认识习惯性停留在“差压变送”上面,意即仅为差压测量而已,故习惯性将二次表设置为开平方特性。
②加强基础资料管理。基础资料不仅包括二次表校验单,还应包括二次表的组态数据记录单,变送器校验单。
③组态时强调按数据记录单操作,避免即兴操作。并在组态完毕与记录单校对无误后加上密码,防止随意改动。
孔板锐角
重复开方的错误一般发生在差压变送器带来开方功能的系统中,是由于疏忽引起的,一般是在物料平衡计算中出现严重问题而怀疑流量示值大幅度偏高时才进行检查,并最后得到纠正。
避免重复开方错误的有效方法如下。
①更新认识。许多老的仪表人员对差压变送器功能的认识习惯性停留在“差压变送”上面,意即仅为差压测量而已,故习惯性将二次表设置为开平方特性。
②加强基础资料管理。基础资料不仅包括二次表校验单,还应包括二次表的组态数据记录单,变送器校验单。
③组态时强调按数据记录单操作,避免即兴操作。并在组态完毕与记录单校对无误后加上密码,防止随意改动。
来源:煤化工知库
找阀门,要上网,就上全球阀门网!