
Hello,大家好。
我是风影。
投资中,经常会用到“算数”。
但一般都不太难,基本就是加减乘除,小学数学,最多是初中数学水平,就可以解决。
周末,收到好几个小伙伴,问怎么算“年化收益率”的问题。我才猛然发现,可能不少朋友,已经把学生时代的数学知识,全部还给老师了。

鉴于计算“年化收益率”在投资中还是很有必要的。因此今天专门开个“数学专场”,聊聊这个话题。
关于年化收益率的问题,主要是三个,难度依次递增:
1)本金100元,每年赚10%,三年后能赚到多少钱?
2)本金100元,三年后本金加盈利共200元,年化收益率需要达到多少?
3)本金100元,每年赚10%。想要本金加盈利赚到200元,需要几年?
以上三个问题,如果你都会了。
那说明你的初中数学过关了,可以关掉这篇文章,节约你的时间~
如果其中有一个问题不会,甚至全都不会。
那我建议,下面的内容你可以简单的阅读一遍,或许对你今后的投资有所帮助。


首先第一个问题:
本金100元,每年赚10%,三年后能赚到多少钱?
正确的回答是:

可能出现的错误是,直接10%乘以3得到30%,作为盈利的比例,最后得出130元的答案。这是不理解复利概念所导致的。
每一年的盈利,都是在上一年的基础上赚的,而不是在最初的本金上赚的。明白这个道理,这题应该就不会出错~
第一个问题比较简单,不会的朋友也比较少。
因此咱们不多说,直接进入第二个问题。


第二个问题是:
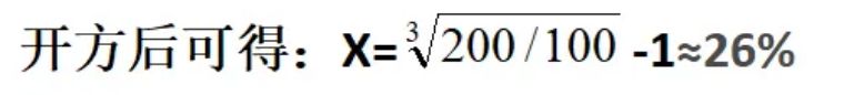
本金100元,三年后本金加盈利共200元,年化收益率需要达到多少?
我身边有不少朋友,都卡在了这一题上。
第二个问题,实际上就是把第一个问题反过来计算。先假设年化收益率是X%,就可以列出算式:

很多人就卡在这里了,不知道接下来怎么处理。
这要用到初一的知识——“开方”。

这第二题,根据我的观察,能难倒80%以上的人。
如果这题你会做,说明你的数学水平,已经处于上游~


好,接下来最后一个问题:
本金100元,每年赚10%。想要本金加盈利赚到200元,需要几年?
这一问,其实还是用到同一个公式。只是未知数发生了变化,求的是时间,即:

到这里,只有极少数人知道接下来怎么把X解出来了。因为,它需要用到高一的知识了——“对数”。

对数一般无法口算,需要计算器来处理。
大部分人别说掌握这个知识点,就连计算器怎么根据公式按出计算结果,都是蒙圈的。
根据我的观察,能回答这个问题的人,不足1%。
换句话说,如果这题你会做,那数学水平基本处于金字塔顶端~


怎么样?三道数学题,你都学废了吗?
巴菲特曾说:
投资不需要高等数学。

他可没说,投资不需要初中数学、小学数学。掌握基础的数学知识,在投资中百利而无一害。
以上三题,还可以作为检验一个人,是否适合投资的标准。
如果你或者你的朋友,只会做其中的一题,甚至一题都不会做。那么我觉得,至少对于投资股票这件事,得慎重考虑。
人嘛,没有必要为难自己。
把时间花在主业工作,赚取本金。然后把钱交给专业的基金经理管理,或者选择购买指数基金等产品,可能是更好的选择。
个人意见,仅供参考哈。
好了,时间差不多了,下课!
我是风影。
关注我,投资路上不踩坑。
