考研数学真题是我们在准备考研数学过程中,指导我们复习的重要法宝。先分享一下我本人推荐的真题使用方法:
一般来说, 真题至少要做两遍,第一遍按套卷完整做完并订正总结 ,按套卷方式从2010年开始每天3H全真模拟,时间最好是上午8:30--11:30,跟考研时间一致。
第二遍主要是按专题把典型题和错题重做并总结,2010年之前只做我整理的必做真题即可, 2010年以后跟张宇真题大全解下册,有高昆轮讲解视频,不少题目除了书中解法,还会讲解其他好用的解法,非常推荐。
其实真题要比市面上常见习题册和模拟题的价值大得多。 其中难度较大的年份是16、18和20,难度大的年份,你只要能考上120分,数学成绩就属于高分了,绝对不会拖后腿。
因此我主要整理87-10年考研数学真题中必做的典型题,下面是第一部分:87-96年的考研数学真题整理。



1987


七

九、
(1)

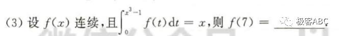
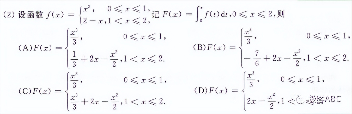
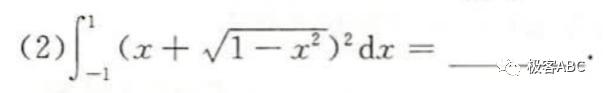
(2)

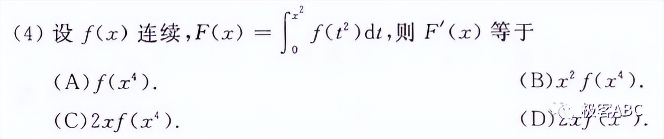
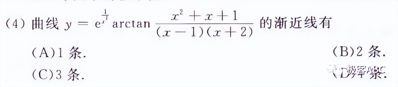
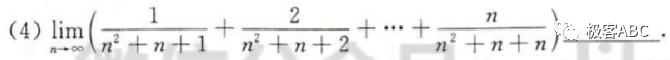
(4)




1988

一、
(3)

二、
(2)

(3)

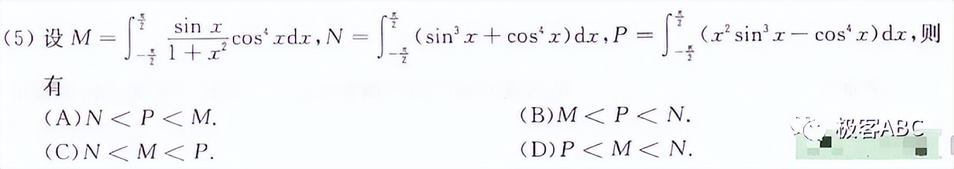
(5)

八




1989


一、
(4)

(5)

二、
(5)

三、
(1)

(4)

(6)

六




1990

一、
(4)

二、
(2)

(3)

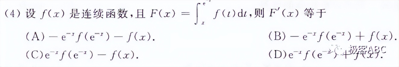
(4)

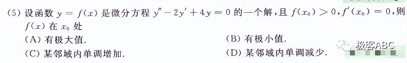
(5)

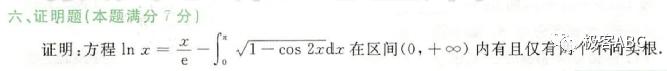
六、




1991

一、
(4)

二、
(2)

(3)

(5)

七、

八、




1992


一、
(3)

(4)

(5)

二、
(2)

(3)

(4)

八、




1993


一、填空题
(4)

选择题
(1)

(5)

二、
(4)

五、

八、




1994


二、选择题
(4)、

(5)

三、
(2)

(3)

(5)

八、




1995


一、填空题
(4)

二、选择题
(3)

(4)

(5)

三、
(5)

(6)

六、

七、




1996


一、填空题
(2)

二、选择题
(2)

(3)

(4)

(5)

三、
(3)

(6)

七、

八、

原文
公众号【 极客ABC 】 【考研数学必做真题整理(数二)-第一篇】为文章首发
关注公众号【 极客ABC 】,获取更多考研干货