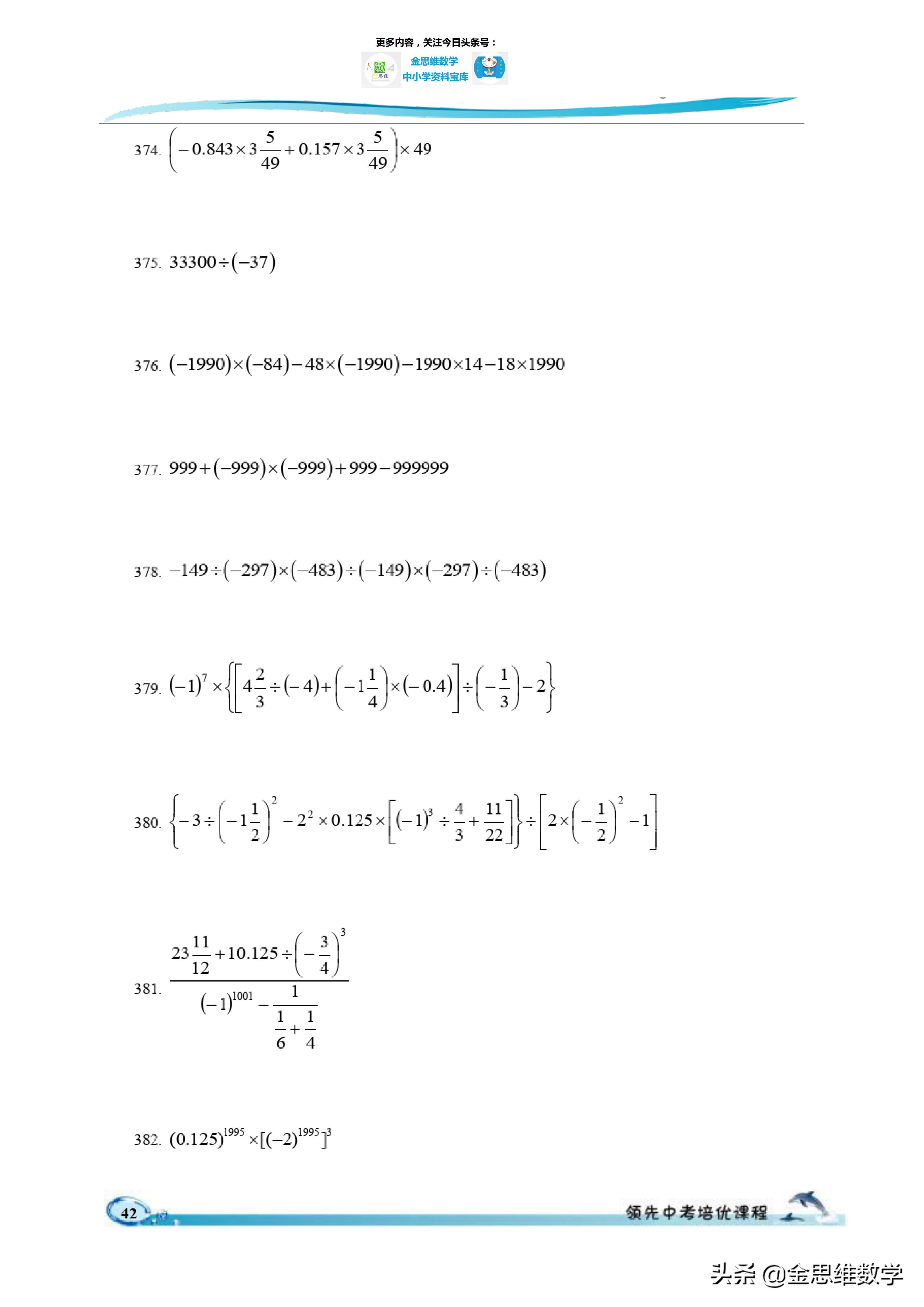
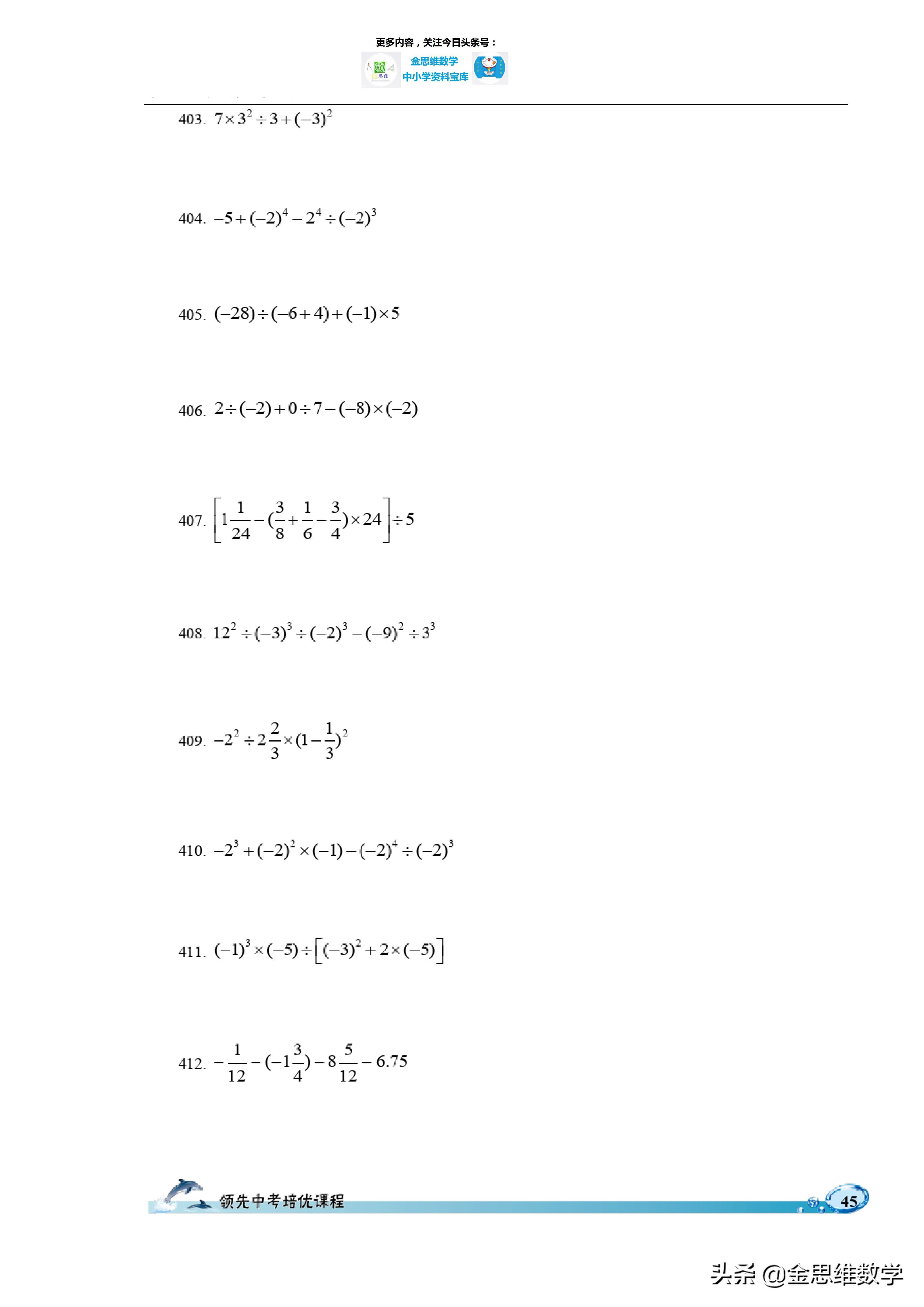
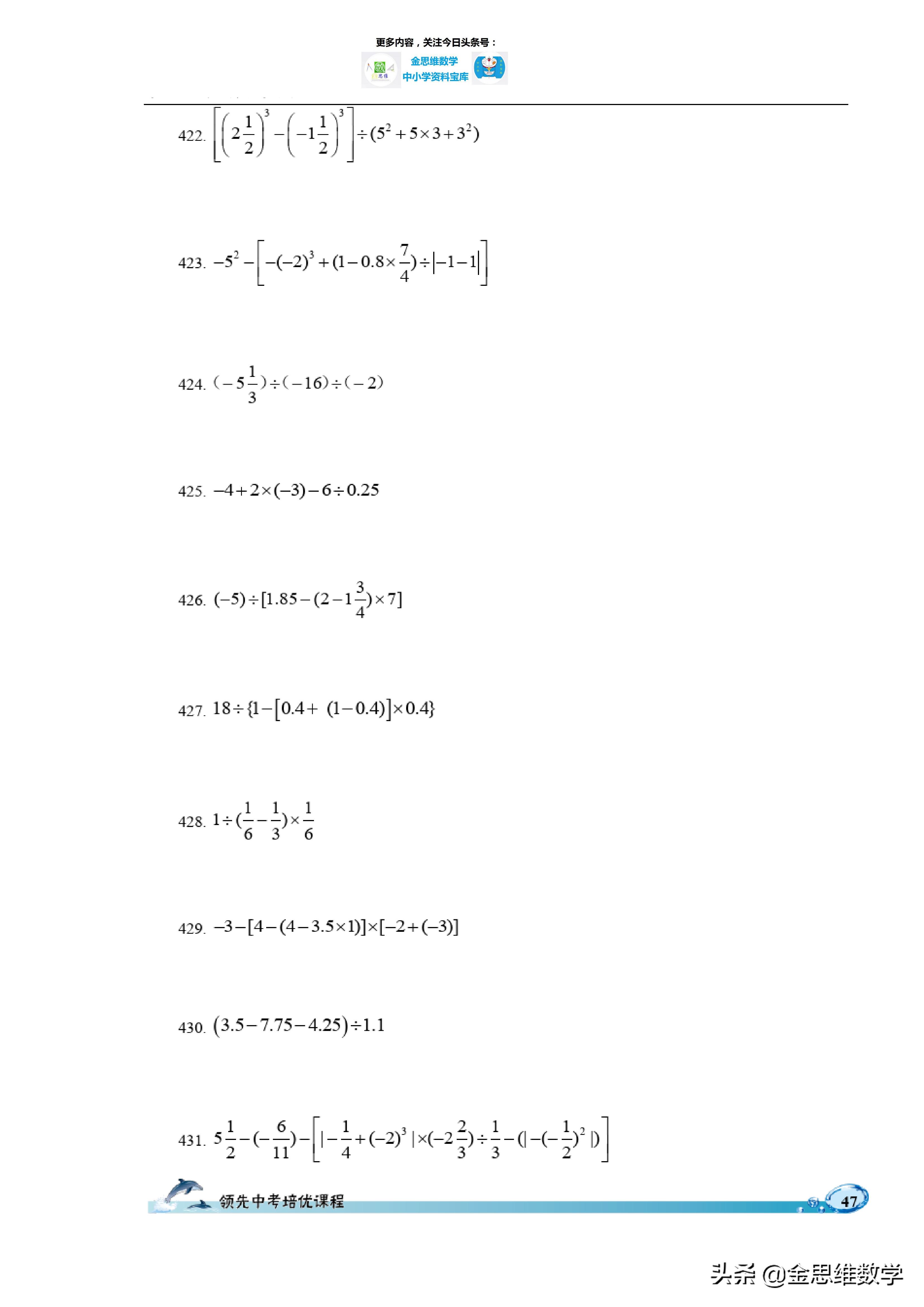
7年级数学计算700题集锦(中)
使用说明:本题集的制作初衷是为学员提供计算题目以便强化计算能力,建议每天做10-20道。
为什么初一数学的计算非常重要?
①初一第一次月考:80-90分(满分100分)与计算相关;
②初一第一次期中期末:7585分(满分100分)与计算相关。





























暂时分享这么多,每个题都有答案,做好可以找我对照一下哦,即将七年级的同学记得收藏。
使用说明:本题集的制作初衷是为学员提供计算题目以便强化计算能力,建议每天做10-20道。
为什么初一数学的计算非常重要?
①初一第一次月考:80-90分(满分100分)与计算相关;
②初一第一次期中期末:7585分(满分100分)与计算相关。





























暂时分享这么多,每个题都有答案,做好可以找我对照一下哦,即将七年级的同学记得收藏。