导读:
认识零件的尺寸分布,有助于理解公差分析的三种计算方法:极值法、均方根法和蒙特卡洛法背后的逻辑,以及理解后续尺寸管控的必要性。
01
为什么要关注尺寸分布
这是一个零件的尺寸及其公差。

这说明该尺寸的名义值为20.0mm,允许的公差范围是+/-0.20mm。
零件在大批量生产时,由于材料、模具和工艺等的变异,每一个零件的寸的实际测量值与名义值都不相同,而是在一个范围内分布,该分布可能呈某种形态。
有的可能工程师会说:我不会去关注尺寸是如何分布的,我只要求供应商把尺寸做到规格范围之内就行。

对于单件、小批量生产,这种说法可能没有问题。每一个零件都做到百分百检测,只要尺寸超过公差范围,就判为不良品;这样就能确保不会因为尺寸不良而造成产品的功能、外观和可靠性等出现问题。
但是,对于大批量生产的产品,这就是一个严重的问题。因为大批量生产时,要做到百分百检测,这必将耗费大量的成本,这不是绝大多数的企业能够承担的。
因此,必须引入统计学的概念,对于零件实际加工制造的尺寸分布进行研究和管控。在不百分百检测的情况下,让产品发生问题的几率做到最小。

另外,公差分析的计算方法包括极值法、均方根法和蒙特卡洛法,每一种计算方法的逻辑和依据是什么?适合于什么场合?有什么优缺点?后续需要如何去管控尺寸?
这些都与尺寸链中的尺寸分布直接相关,学习公差分析必须认识零件的尺寸分布。
如果有人告诉我说:我做了公差分析,但是我不CARE尺寸分布,后续对于尺寸分布也没有做相应的管控。那么这样的公差分析可以说相当于没有做。
02
可能的分布形态?
常见的分布形态包括均匀分布、左偏态分布、右偏态分布、双峰分布和正态分布等。

▲均匀分布

▲左偏态分布

▲右偏态分布

▲双峰分布

▲正态分布
那么,零部件大批量生产时,其实际尺寸的分布形态,哪一种才是合理的?
03
尺寸分布符合正态分布
一般认为,零件在大批量生产时,其实际尺寸的分布符合正态分布:尺寸分布围绕一个中心对称,越往中心,尺寸分布越多;远离中心,尺寸分布越少。

▲正态分布
零件尺寸的正态分布是这样产生的
当零件加工完毕后,为了检验零件质量,从一批产品中任取100件检测,测得它们的实际尺寸如下:
19.90 19.96 19.94 20.02 20.05 19.98 19.99 20.02 20.07 19.95 20.01 20.03 20.04 20.08 20.05 20.03 20.06 20.00 20.11 20.05 20.00 19.99 20.01 19.96 19.98 19.91 20.16 20.03 20.00 19.98 19.97 20.04 19.93 20.06 20.00 20.09 19.94 20.02 20.10 19.97 19.95 19.92 20.05 20.00 19.87 20.03 20.14 19.99 20.05 20.03 20.00 20.03 20.04 20.01 20.13 19.97 19.98 19.84 20.04 20.00 19.96 20.02 19.99 20.06 19.98 19.95 19.91 19.94 20.00 19.96 20.01 19.92 19.98 20.02 20.00 19.93 19.97 20.01 20.09 19.95 20.07 19.94 19.90 19.99 19.96 20.06 19.89 20.00 19.97 19.93 20.00 19.95 20.01 19.97 20.07 19.99 20.02 20.07 19.98 19.99
把以上尺寸按照0.03mm的组距进行分组,并统计落在该区间的频数、频率,最后计算出频率/组距。

根据频率/组距,可绘制出100个零件尺寸的频率分布直方图

▲100个零件尺寸频率分布直方图
当200个零件时:

▲200个零件尺寸频率分布直方图
当样本数量无限大时:

▲样品数量无限大时的直方图
可以看出,当样本数量无限大,分组的组距无限缩小时,这个频率直方图上面的折线就会无限接近于一条光滑曲线---正态曲线。
04
正态分布及其关键参数
辅助阅读--伽尔顿板与正态分布
伽尔顿板是在一块竖直木板的上部规则地钉上铁钉,木板的下部用竖直隔板隔成等宽的狭槽,从顶部中央的漏斗形入口处可以投入小球。
实验结果发现:投入单个小球,小球与铁钉碰撞后落入哪个槽中完全是偶然的或者随机的。
当投入很多很多很多小球时,最终落入中间部位槽中的小球总是较多,而落入两侧槽中的小球总是较少。
而小球在凹槽上呈现一个明显有规律的分布:一条钟形曲线,这就是正态分布。


▲伽尔顿板

▲正态分布
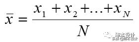
平均值
顾名思义,平均值x-为样本中所有尺寸的平均值。x-的计算公式为:

例如,10个零件的实际尺寸测量值19.90 19.96 19.94 20.02 20.05 19.98 19.99 20.02 20.07 19.95,那么其平均值为

注:为了简化,样本数简化为10个,实际生产管控时远大于10个。
x-显示了实际测量的尺寸平均值与设计值之间的偏移程度,只影响正态分布曲线的位置,不影响曲线的形状:

▲x-对正态分布曲线的影响
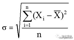
标准差σ
标准差σ是样本中各尺寸值偏离平均值距离的平均数。σ的计算公式为:

上例中的σ计算为:

σ显示制程的稳定性,σ越小,表示尺寸波动越小,加工精度越高。σ只影响曲线的形状,不影响曲线的位置:

▲σ-对正态分布曲线的影响
05
理想的尺寸分布和现实的尺寸分布
在产品设计时,我们期待的零部件尺寸分布是这样的:尺寸分布中心就是规格中心(即设计名义值,前提是采用双向对称公差标注),产品制程具备6σ能力。
而现实一定是骨感的,但产品实际生产加工后,实际测量的尺寸分布可能是这样:
1)实际尺寸分布中心远离规格中心,发生了偏移

▲尺寸分布中心远离设计名义值,发生了偏移
2)实际尺寸分布中心接近规格中心,但是分布很离散,达不到6σ能力。

▲尺寸分布中心远离设计名义值,发生了偏移
这给我们的启示是什么?
在公差分析时,所有公差设定都是一种假设和期望,公差分析的结果满足功能、外观、可靠性和可装配性等要求,并一定表示最后产品实际生产之后也满足;因为现实与期望一定是不一致的。
必须对公差分析中的零件尺寸进行制程管控,确保实际生产时的尺寸分布与公差分析时假设和期望的尺寸分布吻合时,我们才能保证后续实际生产的产品满足功能、外观、可靠性和可装配性等要求。
06
写在最后
公差分析如果仅仅是计算,这很简单。
要搞清楚计算背后的逻辑,却不是一简单的事情;但又是必须花精力去弄明白。否则,仅仅是会计算公差,这完全没有任何价值。
在后续的文章中,我会介绍三种公差分析的计算方法(极值法、均方根法和蒙特卡洛法),到时候大家会明白为什么我花了这么多精力来写尺寸分布,敬请关注。
07
扩展阅读
关于正态分布、SPC和6sigma等,以上仅仅是简单介绍,如需了解更多,请关注头条号并回复“正态分布”直接获取*载下**链接。

—END—
作者简介:钟元,著有书籍《面向成本的产品设计:降本设计之道》和《面向制造和装配的产品设计指南》
聚焦降本设计知识分享和方案提供,
助工程师能力提高和升职加薪,
助企业降本和利润提升。
长按二维码,关注降本设计,一起洞察降本本质

▲ 长按关注,洞察降本本质
如果您看完后觉得有价值,请记得随手转发一下。