私信“锂电”二字(不是评论),即可领取10.99G锂电行业精华版资料!
来源:锂电联盟会长
(一)锂离子电池正极材料的制备方法
三元材料的起源:
三元材料最早可以认为来自于20世纪90年代的掺杂研究,如对LiCoO2 ,LiNiO2等掺杂,在LiNiO2中通过掺杂Co的研究,形成LiNi1-xCoxO2系列正极材料,在20世纪90年代后期,有关学者进行了在LiNi1-xCoxO2中掺杂Mg,Al以及Mn的研究。法国Saft -LiNi1-x-yCoxAlyO2与LiNi1-x-yCoxMgyO2,但早期的Li(Ni,Co,Mn)O2没有阐明反应机理与采用合适的制备方法,21世纪初,日本Ohzuku与加拿大J.R. Dahn,利用氢氧化物共沉淀法制备出一系列Li(Ni,Co,Mn)O2化合物。其中,镍是主要的电化学活性元素,锰对材料的结构稳定和热稳定提供保证,钴在降低材料电化学极化和提高倍率特性方面具有不可替代的作用。三元材料具有高的比容量,良好的循环性能,稳定的结构,可靠的安全性以及适中的成本。在实验室的基础研究中,没有发现该材料的明显缺点。


从正极材料的发展路线图中也可以看出,三元材料的发展对整个动力电池能量密度的提升起到了重要的作用。
三元材料的合成方法:

先放出不同材料的热稳定性,从图中可以看出,随着镍含量的提高,整个正极材料的热稳定性是下降的,需要在性能以及安全方面找到一个平衡点,不能盲目的为了提高能量密度而去应用不安全的材料。



上几张图简单表明了三元材料的工艺流程以及中间的控制点,当然,一个好的三元材料的产生,其前驱体也是很重要的,下面将简单介绍一下前前驱体的合成工艺。

首先按照化学计量比配置一定浓度的金属离子混合溶液,同时配置一定浓度的氨碱混合溶液作为沉淀剂以及络合剂,连续通入氮气使反应釜气氛为氮气后进行反应,通过调节溶液pH值,生产复合沉淀物,经过过滤、洗涤、真空干燥后直接得到前驱体。涉及到沉淀剂的选择、络合剂的使用、加料方式的选择、反应气氛的控制等等。
锂源的选择:
工业化生产一般选择氢氧化锂和碳酸锂,但氢氧化锂含有结晶水,混合效果不好,所以碳酸锂用的多一些。最常见的含锂矿物质为锂辉石和卤水。


上图简单介绍了两种方法的流程,碳酸锂制备完成后,还需要经过一系列的检测才可使用。

混合设备:将前驱体和锂盐混合,有干法和湿法之分,干法混合应用较多。

煅烧设备:分为辊道窑和推板窑,性能上还是有所区别的。


作为三元材料制备中的一个比较重要的过程—煅烧,其温度、时间、气氛控制是其中比较重要的参数,煅烧温度高,煅烧时间可以适当缩短,镍含量高,煅烧温度也适当降低,不同的条件所制备出来的材料在电化学性能上也是有区别的。


破碎设备:根据产出的材料的大小,还需进行破碎以及粉磨。


分级、筛选、包装:产出的产品还需要根据粒径的大小筛选后进行包装,筛选设备如下:

除铁:这个过程贯穿于整个三元材料的制备过程,从原材料的筛选、烧结、过筛等等,每一步都需要除铁,设备一般有电磁除铁设备以及管道除铁设备。

性能检测:包括材料的物理指标以及电化学性能,在此之前已专门介绍过,在此不在详述。
小结:
本文主要介绍了三元材料的工业化生产方法和设备,至此,四大主材的基本性能介绍、检测方法、合成方法均告于段落。对于锂离子电池而言,需要四大主材相互配合,才能达到一个体系的平衡,发挥出材料本身的性能,这就需要在每一个环节上下功夫,追根究底,最终才能做成性能良好的锂离子电池,当然,这也需要格纹同仁们的一起努力。
(二)锂离子电池电解液的相关制备方法
作为锂离子电池的“血液”——电解液,它承担着传导锂离子的重任,是锂离子电池获得高能量密度、低阻抗的关键;本系列就从电解液的制作过程入手,开始逐步的展开,为大家介绍四大主材的制作过程。

1,溶剂的制备:
EC、DEC、PC、DMC等环状或者链状的酯类,下面以EC为例简单的介绍一下溶剂的制作过程。

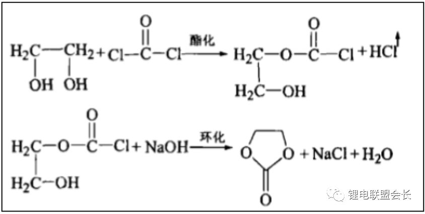
最早制备EC的方法是采用乙二醇以及*气光**反应,但是此工艺流程厂,收率低以及成本告,污染严重,已经被淘汰了。

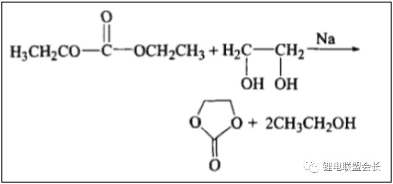
酯交换法反应制备EC,反应速度提高,产率也有所提高。


卤代醇法、乙烯与二氧化碳合成法都具有反应复杂、工艺繁琐等问题。

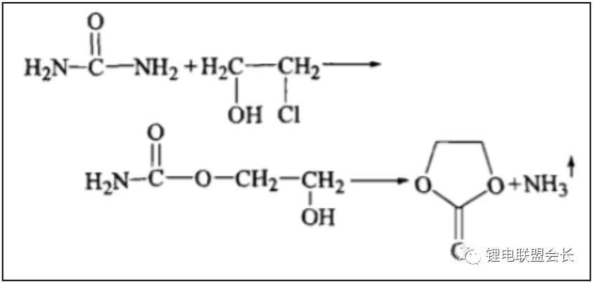
尿素醇解法:由于反应简单,原材料价格便宜,未反应的乙二醇可循环利用,经济性明显,具有很好的发展前景。
其他的化工原料制备方法与之类似,在此不在详述。
2,提纯:
对于使用的有机原料分别采取提纯处理已达到锂离子电池电解液使用的标准,在此,需要检验的项目有纯度、水含量以及主含量等等。

3,LiPF6:
目前主要有四种方法制备,分别是气-固相法、氟化氢溶剂法、有机溶剂法和离子交换法。

气-固相法产品纯度高,但原材料成本高,工序过多,连续生产困难。

氟化氢溶剂法反应速度快,效率高,但是有HF产生,对反应容器的耐腐蚀性有很高的要求。

有机溶剂法避免了HF的产生,操作相对安全,但PF5仍需制备,具有较强的腐蚀性。

离子交换法避免了使用PF6作为原料的缺点,但是使用的醇基锂和氨会发生反应,原材料价格较贵,难以实现工业化生产。
对于最终的使用的LiPF6,还需要精制,已达到电解液的纯度要求。
4,由于电解液的敏感性,所以对包装桶也需要经过预处理、水洗、氩气置换等工序,保证其的干燥和没有杂质。

5,下一代电解液展望
1)3C领域,由于手机、平板以及可穿戴设备的发展,小电池电解液强调高能量密度,向高电压发展;
2)大型领域,需要兼顾电导率、高低温、低成本以及长寿命的要求;
3)其他方面,由于能量密度的提升,要求负极材料的高压实,因此电解液的浸润性、成膜稳定性、循环稳定性都需要深入考虑;随着硅材料的广泛使用,相关适用于硅体系的电解液也逐渐成文研究的热点;基于安全的考虑,阻燃添加剂、高电压下正负极表面保护添加剂以及复合功能添加剂成文研究的热点。
小结:本文主要介绍了的电解液在工业上的生产方法,以及一些原材料的合成方法,需要说明的是,虽然电解液的制作过程看起来相对比较简单,但其中对环境、温湿度、杂质的控制是有严格要求的,在实际生产中往往有这种情况的发生,几个电解液的成分是完全一样的,但是电性能却差的很远,究其原因,很大一部分原因就是原材料纯度不纯或者电解液中含有一定量的杂质,所以在实际生产中,一定要生产过程中的环境控制。
来源:锂电联盟会长