理论力学主要分为三块内容:静力学、运动学、动力学。
1研究对象 | 刚体、质点、质点系
刚体,指该物体在力作用下,内部任意两点之间的距离始终保持不变。质点,指具有一定质量,而几何形状和尺寸大小可以忽略不计的物体。质点系,由几个或者无限个相互有联系的质点所组成的系统。
以上三个力学模型,是完全不一样的,不过可以尝试统一起来,比如可认为质点是特殊的刚体,或者刚体是特殊的质点系,但其实这只是理论表达上的需要。从应用层面来说,读者却无需这样分类,只需知道,静力学的研究对象是刚体,运动学的研究对象是质点和刚体,动力学的研究对象是质点、质点系以及刚体。

2公理 | 静力学
公理,长期的经验总结,反复的实践验证,不需要证明的道理。表征力的三个要素是:力的作用点、力的大小、力的方向。
公理一:力的平行四边形法则,规定了合力和分力的关系。公理二:二力平衡条件,规定了二力怎么样才能平衡。公理三:加减平衡力系原理,规定了平衡力系的作用效果,就是没效果。公理四:作用与反作用定律,规定了作用力和反作用力的关系。公理五:刚化原理,规定了刚体力学模型的合理性。
其实这五个公理不言自明,笔者之所以在这里展示出来,是想表明理论体系就是公理+证明(逻辑)。只要公理不出问题,逻辑严密可靠,那么形成的理论体系必然能经得起考验,反之就是人类理性危机,十分可怕,超级打击。

3平衡 | 平面力系
平面汇交力系,各力的作用线都在一个平面内,并且汇交于同一点。平面任意力系,各力的作用线都在一个平面内,不要求汇交于同一点。
平面力系的平衡方程:

4平衡 | 空间力系
空间汇交力系,各力的作用线汇交于同一点。空间任意力系,不要求汇交于同一点。
空间力系的平衡方程:


5力矩 | 力偶
力矩,力对点的矩(多见于平面力系),力对轴的矩(多见于空间力系)。
力矩和力的关系是,力矩虽然来源于力,但和力已经不是一个物理量,各有各的特点和性质,就像父子可以拥有完全不一样的秉性。也像两个出身一样的人,假以时日,一个平步青云或沉沦堕落,这两人就是不一样了,如果执念于出身一样,所以永远一样,恐怕连苏秦的嫂子都不如了。因为我们知道这样一个故事,苏秦游说秦王失败,回家后,妻不下纴嫂不为炊。而功成名就后,父母郊迎嫂子跪谢。应该说,识时务者为俊杰。
力偶,作用在刚体上的两个力,大小相等,方向相反,但不共线。其最大特点是对所有点的力矩都一样,力偶矩不变。
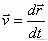
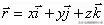
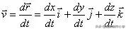
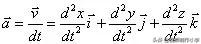
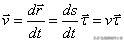
6表达 | 点的运动学
矢量表达(物理意义强):


直角坐标系表示(计算方便):



自然坐标系表示(直接直观):


7
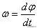
刚体 | 定轴转动
转角函数:

角速度:

角加速度:

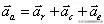
刚体上各位置的运动参数如下。
速度:

切线加速度:

法向加速度:

8(质) 点的合成运动 | 动系与定系
牵连运动,牵连速度,牵连加速度。相对运动,相对速度,相对加速度。绝对运动,绝对速度,绝对加速度。
速度合成定理是,绝对速度等于相对速度和牵连速度的矢量和。

加速度合成定理是,绝对加速度等于相对加速度、科氏加速度与牵连加速度的矢量和。

考察相对运动,可以发现,相对加速度只反应了动系中动点坐标的改变。而动系的单位矢量的方向也可能是改变的,称为科氏加速度。所以只要动系存在旋转运动,就存在科氏加速度。如由于地球自转的影响,北半球的河水向北流动时,河道右岸受力更大。不过马桶抽水为什么也是旋转的,与地球自转无关。

9平面运动 | 刚体
平面运动可取任何基点分解为平移和转动,其中平移的速度和加速度与基点选择有关,而绕基点转动的角速度和角加速度与基点的选择无关。
基点法求速度:刚体上任意位置的速度,等于基点的速度与该点绕基点转动速度的矢量和。速度瞬心法求速度:找出速度瞬心是关键。基点法求加速度:刚体上任意位置的加速度,等于基点的加速速度与该点绕基点转动的切向加速度和法向加速度的矢量和。
10动量定理 | 动量矩定理
质点的动量定理,质点系的动量定理。微分形式,积分形式。质点的动量矩定理:角加速度与转矩的关系。质点系的动量矩定理。

11虚功 | 虚位移原理
虚位移,约束允许的无限小位移。对于求平衡结构的支座反力,结构既然平衡了,就不允许有任何位移,所以必然需要解除某个约束,换成主动力,才能假设虚位移。而无限小的位移,则表明几何关系是不变的。