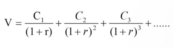
1. 现金流折现模型
股票的价格可看做未来现金流的折现,即

股票一般有两种现金流,其中一种为股利,另一种为资本利得,即由于股票价格变动带来的收益。

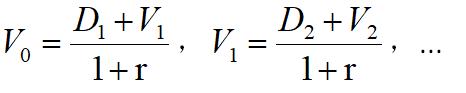
假设V0为股票期初的价格,V1为股票第一期初价格,D1为股票第一期股利,r为折现率。那么期初股票价格根据上述公式可由第一期初价格和股利折现表示,同理,第一期初股票价格也可以同样的由第二期相应的表示出来,依次类推第二期等等。这样,我们将上述公式代入表示就可得,期初股票价格为未来股利的折现。

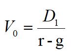
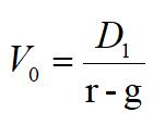
如果股利D按照g增长率稳定增长,则股票价格为

2. 市盈率模型
市盈率为股价除以每股收益。

公式中g可以表示为ROE*b,ROE为净资产回报率,b为盈利再投资率,相应的D1可以表示为E1*(1-b),E1为第一期盈利。代入上述公式可得,

因此,ROE越高,市盈率越高。如果一家公司,市盈率很高,但ROE很低,股价很有可能被高估了。