去年8月,银监会向各银行下发《网络借贷资金存管业务指引(征求意见稿》),指出为网络借贷业务的出借人和借款人提供资金存管服务的银行业金融机构是存管人;存管银行不应外包或由合作机构承担,不得委托网贷机构和第三方机构*开代**出借人和借款人交易结算资金账户。征求意见稿的下发,意味着网贷平台所谓的“第三方支付存管、联合存管”等模式,已经在被禁止的行列。网贷平台存管业务重新洗牌成为必然。
2月23日下午,银监会官网正式对外公布《网络借贷资金存管业务指引》(以下简称《存管指引》)。据悉,《存管指引》已经国务院审批,全文内容共计五章29条。这意味着网贷行业迎来了继备案登记之后又一合规细则的最终落地。
与征求意见稿不同的地方主要是:第一,把之前的银行业金融机构明确为商业银行;第二,强化了存管人免责条款,不对借贷行为保证、担保,不承担借贷违约责任;第三,增加了非银行机构开展存管业务的处罚,整改期改为6个月;第四,将担保人相关资金纳入存管范围。
从2015年十部委联合出台《关于促进互联网金融健康发展的指导意见》明确要求网贷平台与银行合作上线资金存管系统,再到如今最新资金存管指引的出台,一再印证实现银行存管成为平台是否符合监管要求的重要标志。此次银监会最新资金存管指引的出台,关于资金存管的话题,再度引发热议。
为了深入探讨《存管指引》对网贷行业的影响,以及网贷公司如何应对挑战,上海新金融研究院(SFI)采访了几位行业代表,今天与大家见面的是宜信公司副总裁刘恬敏。明后天还会有其他专业人士与大家见面,敬请关注~
新指引有哪些考虑?
由于此前不少银行和金融机构对于网贷存管有所顾虑,担心网贷行业的风险影响到银行的声誉。为此,新的指引明确网待机构作为委托人,应符合《网络借贷信息中介机构业务活动暂行管理办法》及《网络借贷信息中介机构备案登记管理指引》有关规定,包括但不限于在工商管理部门完成注册登记并领取营业执照、在工商登记注册地方金融监管部门完成备案登记、按照通信主管部门的相关规定申请获得相应的电信增值业务经营许可证。
银监会有关负责人还表示,鉴于网贷行业目前正处于规范整顿期,为确保金融系统风险的有效隔离,防范商业银行声誉风险,指引在数据真实性和准确性、营销宣传、资金管理运用等方面设置了专门的条款,明确职责边界。
根据第三方不完全统计,截止2016年末,已有32家商业银行布局网贷资金存管业务,180多家网贷机构与银行签订存管协议,完成系统对接的机构有90多家,占网贷机构总数的4%。
至于存管机构需要满足哪些条件,新的指引中表示,商业银行作为存管人,应该具备责任部门、系统技术、业务制度、支付结算等方面的要求。目前,包括大型银行、股份制银行、城商行等在内的商业银行均具备开展网贷资金存管业务的条件和资质。银监会鼓励各商业银行根据各自差异化市场定位开展网贷资金存管指引,满足网贷资金存管市场的需求。
对于之前已经开展了网贷资金存管业务的机构,新的指引给出了六个月的过渡期,期限与网贷管理办法中整改的过渡期保持一致。
银监会还表示,指引充分吸收和采纳了国家有关部委、地方金融监管部门、银行业金融机构、网贷机构、自律组织的意见。
宜信解读网贷新政
一个办法和三个指引构成了网贷平台的现行监管框架。一个办法指的是《网络借贷信息中介机构业务管理暂行办法》;三个指引分别是《网络借贷信息中介备案登记管理指引》,《网络借贷资金存管业务指引》和尚未出台的信息披露指引。
SFI:您认为《网络借贷资金存管业务指引》的发布对网贷行业有什么意义?
刘恬敏:网贷平台如何有效防范风险一直是业内热议的话题。指引作为《网络借贷信息中介机构业务活动管理暂行办法》的重要配套政策,在落实网贷资金存管方面凸显了监管的智慧,对于规范行业健康发展有着积极的推动作用。对于金融消费者而言,也能有效识别平台。
SFI:可以和我们分享宜信现在的资金存管情况吗?您觉得指引的下发对公司有无影响?
刘恬敏:宜信是最早开始探索行业规范自律的互联网金融企业之一, 早在2015年宜信宜人贷就率先实现了与广发银行的合作资金存管落地。该创新资金存管模式遵循了目前全球最严格的网贷资金监督标准。广发银行对用户交易资金进行全面存管,每日进行出借端和借款端的匹配核对,以确保用户和交易的真实有效。通过宜信安享账户,能够实现用户资金与网贷平台的完全隔离,为广大用户的资金安全更添一份安心。宜信宜人贷率先实现的资金存管,为行业规范化、持续性发展起到标杆示范作用,为此次资金存管指引的出台,提供了业务实践参考。
另外,宜信惠民平台目前处于资金存管试运行状态,预计在今年五月一日之前所有交易都将纳入银行存管。
SFI:您认为《指引》发布后对于防范网贷行业的潜在风险将有哪些帮助?
刘恬敏:我们认为落实网贷平台资金存管能有效防范网贷平台的以下潜在风险。第一是降低平台跑路风险,存管实现了用户资金与网贷平台有效隔离,大大降低网贷平台卷款跑路的可能性;第二是银行为网贷平台建立用户自账户体系,同步核对借款信息的匹配度,并根据合同信息展开资金划转,有效防止网贷平台出现设立资金池的情况;第三是资金存管情况透明可查,银行将会监控核对从用户实名开户、合同签署备案,交易与合同的匹配审核、交易资金的划转的全部流程,并定期出具资金存管报告,用户可在网站上查询资金存管情况。
以宜信宜人贷与广发银行的存管合作为例,通过对于平台和借款人两端的监督,资金存管能彻底杜绝平台卷款跑路、设立资金池、非法集资等风险隐患。
SFI: 宜信宜人贷目前与银行开展资金存管合作的模式是什么?
刘恬敏:宜信宜人贷与广发银行开展了资金存管合作,主要是出于以下考虑:
第一,用户真实有效:用户在平台开立账户需要按照银行要求进行身份验证,并绑定本人银行卡,以确保用户的真实有效;
第二,资金隔离监督:平台在银行开立客户资金存管主账户和服务费账户,银行对平台的自有资金和用户资金进行隔离监督;
第三,用户单独建账:每个用户将单独开立账户,以确保用户资金清晰可查;
第四,银行合同核对:银行将对借款合同与交易资金进行信息核对,以确保资金交易的真实有效;
第五,资金结算监督:平台不能直接接触客户资金,而由银行根据借款合同对客户资金进行划拨。
银行有动力布局 网贷资金存管业务吗?
至于银行在选择与P2P 合作时的考量,业内人士透露,商业银行由于自身信誉好,在选择与P2P平台进行资金存管合作时,其门槛通常比较高,并设有一些“硬性条件”,由此筛选出业内优秀平台。而且,商业银行在与P2P公司签署合作后,也通常会派遣风控专员对P2P平台业务进行尽职调查,查看平台是否存在违规操作现象,以确保银行不会被风险绑架。
中国人民大学重阳金融研究院客座研究员董希淼曾撰文称,P2P网贷资金存管业务对银行来讲,属于“轻资本”的中间业务。在当前银行息差获利空间缩窄的环境下,银行应对这类能够带来非利息收入以及增量客户的业务敞开怀抱。不过,由于银行对监管要求的疑惑、对存管流程设计的远虑、对声誉风险的担忧,使得银行对网贷平台业务比较谨慎,会从很多方面对平台进行考量。即使网贷平台在银行存管的红利频发,但存管业务进展依然缓慢。
多位业内人士判断,《指引》的下发将是平台实力的又一次严苛检验,P2P行业将经历一次大规模的洗牌,符合国家监管方向的平台将得以更大发展机会,良币驱逐劣币的市场局面将逐渐形成。
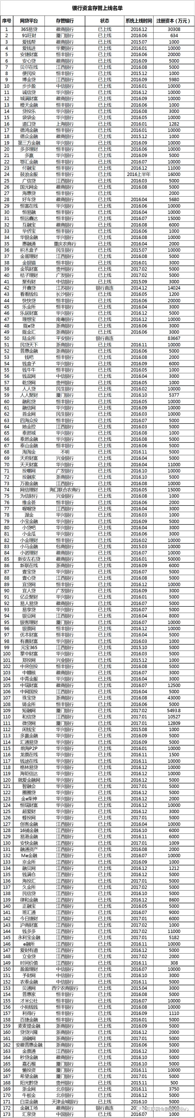
据互联网金融新闻中心不完全统计,截至2月22日,共有173家平台上线银行存管系统。华兴银行、江西银行、恒丰银行、浙商银行、民生银行等多家银行布局网贷资金存管业务。

点击文末“阅读原文” 可查看《网络借贷资金存管业务指引》全文
(本文参考来源:银监会官方网站;微信公众号互联网金融新闻中心;21世纪经济报道《银监会出台网贷存管指引 完成备案登记为前置条件》)
相关文章精选:(猛戳标题)
新金融评论
聚焦新金融,独家、专业,尽在新金融评论。
中国金融四十人论坛智库体系新金融系列——上海新金融研究院、北方新金融研究院、上海浦山新金融发展基金会,以及上海新金融研究院参与发起的北大互联网金融研究中心,强强联手,打造最专业的新金融平台。
小新欢迎您!长按二维码即可关注。