关于锥形弹簧的分析
1、锥形弹簧的刚度
设锥形弹簧两端作用轴拉力 F ,两端的半径分别为 r1,r2 ,总共 n 圈,轴向长度 L ,簧丝直径 d ,则轴向 x 处的弹簧半径:

dx 微段中的弹簧圈数:

记剪切模量 G ,则微段轴向刚度:

式(3)中直接利用了作者在另篇关于弹簧的回答中推导的柱形弹簧刚度公式,详见:
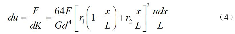
[ 为什么把铁条做成弹簧的样子,就会有很大的弹性? ]。 那么微段伸长:

积分得到总伸长:

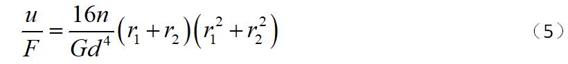
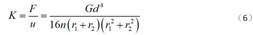
于是得到锥形弹簧轴向刚度公式:

它可用于锥形弹簧端部作用轴向集中力时的弹簧变形计算。
2、锥形弹簧的在自重作用下的伸长
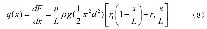
令锥形弹簧垂直悬挂,上端、下端定义为 x=0;x=L ,计算 dx 微元上的重力荷载:

得到分布力:

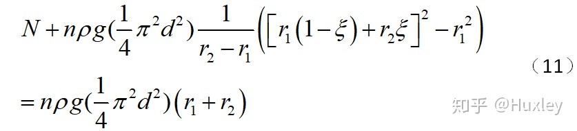
记弹簧轴力为 N(x) ,考虑弹簧的轴向平衡方程:

即:

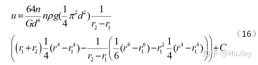
积分得到:

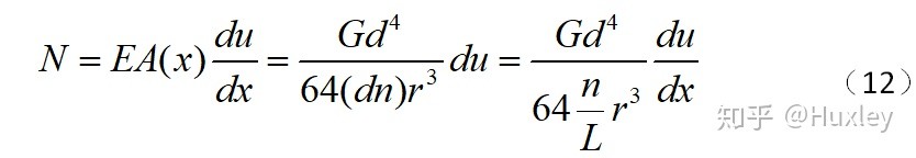
考虑截面本构:

得到:

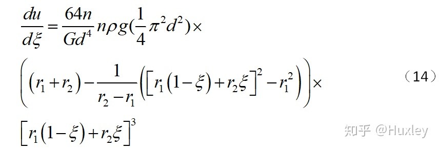
也即:

即:

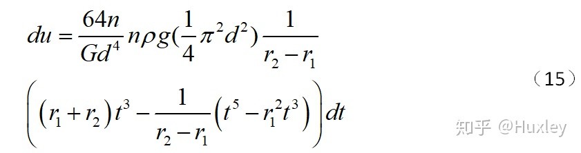
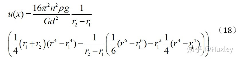
积分:

由于始端固定,故知:

于是得到自重作用下悬挂锥形弹簧的位移分布:

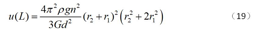
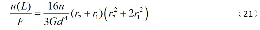
令 r=r2 ,进行化简,即得到自重作用下锥形弹簧的端部总伸长公式:

直观起见,记弹簧总重量:

则式(19)化为:

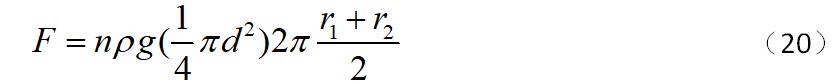
当锥形弹簧退化为柱形弹簧时,令 r1=r2=r ,则式(21)成为:

这是柱形弹簧在自重作用下的总伸长。如果把所有自重作为集中力加在弹簧端部,根据式(5)计算相应伸长为:

这说明对于柱形弹簧,实际自重产生的伸长,恰好是将自重作为集中力作用于弹簧端部所引起伸长的1半,这结论显然是正确的,同时也为式(21)的正确性提供了例证。
