怎样迅速提高学习成绩?向学霸进军特意整理出2022高三数学第一轮复习之历年高考数学17个必考题型,希望能够为广大考生和家长提供帮助。
17个必考题型
01
题型一
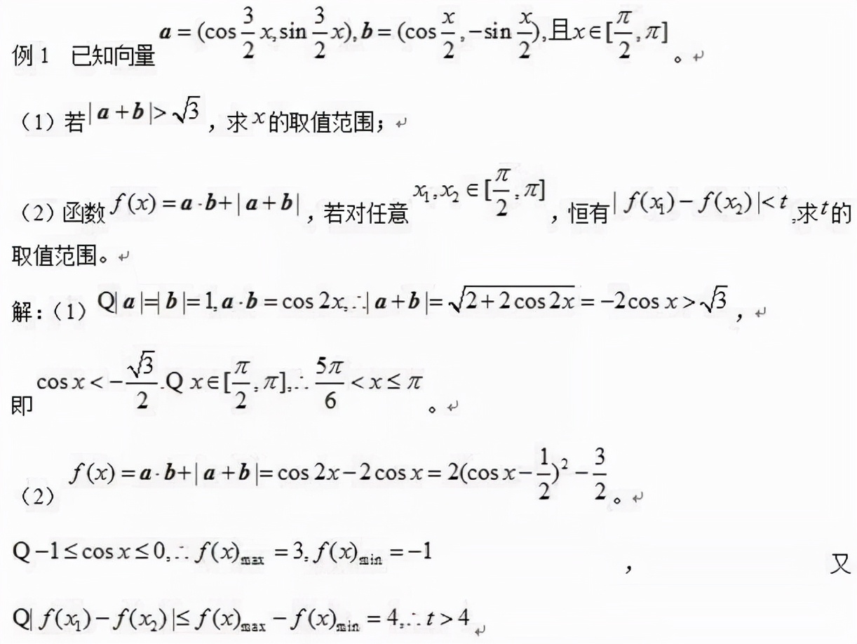
运用同三角函数关系、诱导公式、和、差、倍、半等公式进行化简求值类。

02
题型二
运用三角函数性质解题,通常考查正弦、余弦函数的单调性、周期性、最值、对称轴及对称中心。

03
题型三
解三角函数问题、判断三角形形状、正余弦定理的应用。

04
题型四
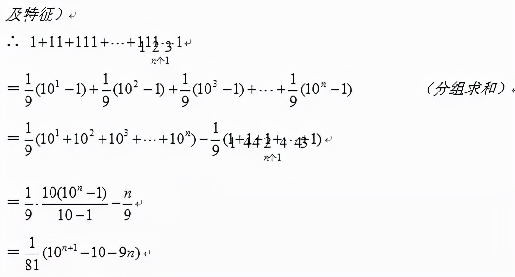
数列的通向公式的求法。





05
题型五
数列的前n项求和的求法。


06
题型六
利用导数研究函数的极值、最值。

07
题型七
利用导数几何意义求切线方程。


08
题型八
利用导数研究函数的单调性,极值、最值


09
题型九
利用导数研究函数的图像。


10
题型十
求参数取值范围、恒成立及存在性问题。



11
题型十一
数形结合确定直线和圆锥曲线的位置关系。

12
题型十二
焦点三角函数、焦半径、焦点弦问题。

13
题型十三
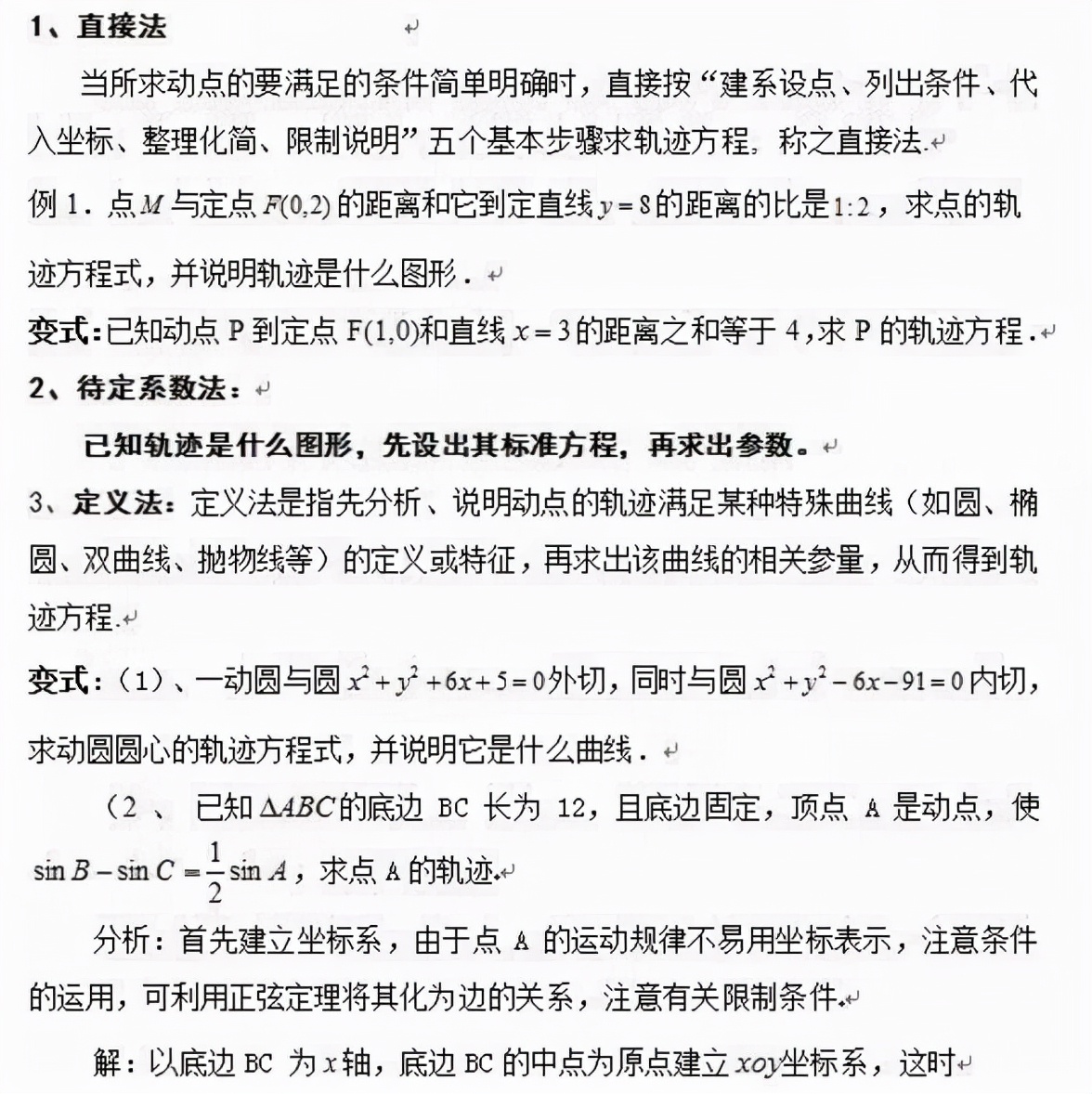
动点轨迹方程问题。





14
题型十四
共线问题。

15
题型十五
定点问题。

16
题型十六
存在性问题。
存在直线y=kx+m,存在实数,存在图形:三角形(等比、等腰、直角),四边形(矩形、菱形、正方形),圆
17
题型十七
最值问题。
本文由公众号《向学霸进军》整理编辑于网络