
你常感到与周围人的关系不和谐吗?
你常感到缺少伙伴吗?
你常感到没人可以信赖吗?
你常感到与任何人都不亲密了吗?
如果你对以上问题的回答都是“经常如此”,那么,你很有可能是孤独的。那么,是否有治愈孤独的良药呢?心理学家认为“智慧”可以成为其中一种。 这里的智慧是指使用知识,经验,洞察力和对他人的同理心进行思考和行动的能力(Sternberg 1990; Jeste, Lee, Palmer, et al. 2020)。根据已有研究,智慧是一种复杂的特质,包括亲社会行为的维度,如移情和同情、情绪调节、自我反思、接受不确定性和果断性之间的平衡,以及社会建议(Lee et al. 2019, 2020; Jeste, Di Somma, et al. 2020)。
值得注意的是,智慧始终与更好的健康和主观幸福感相关(Lee et al. 2019; Van Patten et al. 2019)。并且智慧和孤独在整个成年人的一生中呈反比关系,最新研究表明,孤独感与同情心和智慧的多个维度有关,孤独的人正是由于存在对自己和他人的负面偏见,从而导致避免社会交往(Morlett Paredes et al. 2020)。因此,虽然孤独和智慧虽然看似是不同的心理建构,但当一个人拥有智慧时,无论他是孤身一人,还是与其他人在一起,他都可能会对孤独感产生免疫力(Ardelt and Jeste 2018)。然而,迄今为止,尚无研究探讨过孤独与智慧在神经生理机制上的异同。而这也是一项最新发表的研究想要探究的问题。
2021年3月5日,在《大脑皮层》(Cerebral Cortex)发表的一项研究中,来自加州大学圣地亚哥医学院的研究人员发现,大脑的特定区域会对与孤独和智慧相关的情绪刺激做出相反的反应。该研究的资深作者Jyoti Mishra博士是加州大学圣地亚哥分校医学院的精神病学助理教授,他说“我们感兴趣的是孤独和智慧是如何与情绪偏向联系在一起的,也就是我们如何应对不同的积极和消极情绪。”
这项研究共有147名参与者,年龄在18岁到85岁之间。参与者完成了一项简单的认知任务,即在背景中呈现不同情绪的面孔时,判断箭头指向哪个方向。

图1a:情绪偏向任务范式;图1b:孤独和智慧显著负相关。
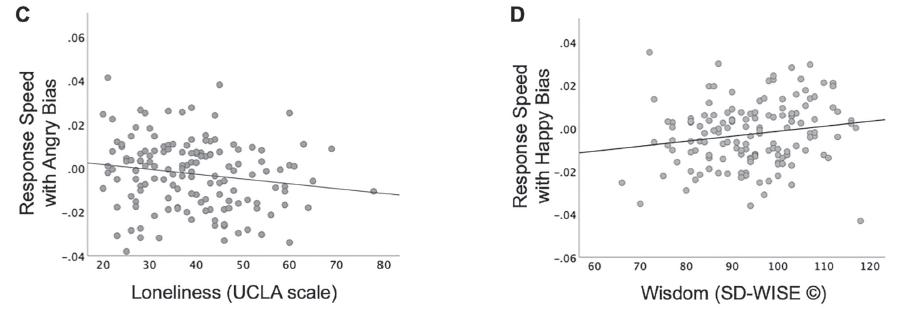
结果发现,当愤怒的表情被当作干扰物时,会显著减缓孤独个体的简单认知反应。这意味着孤独的人会更加注意威胁性刺激,比如愤怒的表情。另一方面,当看到快乐的面孔时,智慧则与反应速度有显著的正相关,特别是那些表现出智慧特征的人,比如移情水平高的人在看到快乐刺激时反应更快。

图1c:孤独与愤怒情绪偏向反应速度显著负相关;图1d:智慧与快乐偏向反应速度显著正相关
基于脑电图(EEG)的大脑记录显示,大脑中的颞顶叶连接(temporoparietaljunction, TPJ)在孤独的人和智慧的人身上的激活程度不同。TPJ对于心理理论(也就是移情和理解他人的能力)很重要。研究发现,孤独的人在面对愤怒情绪时大脑激活程度更高,而智慧的人在面对快乐情绪时大脑激活程度更高。

图2a, b:愤怒情绪偏向大脑活动与孤独相关
研究人员还注意到,对于孤独的人来说,他们的左顶叶皮层(大脑中分配注意力的重要区域)对威胁刺激的活动更活跃,而智慧则与大脑左岛中由快乐情绪驱动的活动显著相关,该区域负责同理心等社会功能。

图2c,d:快乐情绪偏向大脑活动与智慧相关
总之,该研究通过揭示孤独和智慧在大脑中的生物标记可以帮助我们开发更为有效的治疗孤独的方法。如果有人要问“能让一个人变得不那么孤独吗?”
答案就是:“海纳百川,有容乃大;壁立千仞,无欲则刚。” 当你的心可以容得下更多的人,更多的事,不论你是孤身一人,还是身处人群之中,你都不会感到孤独。

你足够智慧吗?
下面描述了人们生活中面出现的一些感受,请选中符合你现状的条目;每个答案无所谓正确与错误。这里并没有对你不利的题目。请尽快作答,不要在每道题目上太多思考。
|
从不 |
很少 |
有 时 |
经常 |
|
|
1.我擅长感知他人的感受。 |
1 |
2 |
3 |
4 |
|
2.其他人希望我帮助他们做出选择。 |
1 |
2 |
3 |
4 |
|
3.其他人说我给了很好的建议。 |
1 |
2 |
3 |
4 |
|
4.当人们来找我时,我常常不知道该告诉他些什么。 |
4 |
3 |
2 |
1 |
|
5.我在做决定时遇到麻烦。 |
4 |
3 |
2 |
1 |
|
6.我通常会及时做出决定。 |
1 |
2 |
3 |
4 |
|
7.我会尽量推迟做出重大决定的期限。 |
4 |
3 |
2 |
1 |
|
8.如果我不确定,我希望其他人为我做出决定。 |
4 |
3 |
2 |
1 |
|
9.在烦恼时,我很难清楚地思考。 |
4 |
3 |
2 |
1 |
|
10.我在压力下保持镇定。 |
1 |
2 |
3 |
4 |
|
11.我能够从情绪压力中恢复过来。 |
1 |
2 |
3 |
4 |
|
12.我无法排除掉负面的情绪。 |
4 |
3 |
2 |
1 |
|
13.我花时间反思自己的想法。 |
1 |
2 |
3 |
4 |
|
14.我避免自我反省。 |
4 |
3 |
2 |
1 |
|
15.了解我采取行动的原因很重要。 |
1 |
2 |
3 |
4 |
|
16.我不会分析自己的行为。 |
4 |
3 |
2 |
1 |
|
17.我很难维持友谊。 |
4 |
3 |
2 |
1 |
|
18.我会尽力避免他人需要我帮忙的情况。 |
4 |
3 |
2 |
1 |
|
19.我会提醒陌生人掉了钱,并交还给他。 |
1 |
2 |
3 |
4 |
|
20.我以自己想被他人对待的方式对待他人。 |
1 |
2 |
3 |
4 |
|
21.我喜欢学习其他文化。 |
1 |
2 |
3 |
4 |
|
22.我接受其他人具有与我不同的道德和价值观。 |
1 |
2 |
3 |
4 |
|
23.我通常会从遇到过的每个人那里学到一些东西。 |
1 |
2 |
3 |
4 |
|
24.我喜欢接触各种各样的观点。 |
1 |
2 |
3 |
4 |
计分方式:将所有选项对应的数字加在一起,分数越高代表一个人的智慧程度越高。
参考文献
Gillian Grennan, Pragathi PriyadharsiniBalasubramani, Fahad Alim, Mariam Zafar-Khan, Ellen E Lee, Dilip V Jeste, JyotiMishra. Cognitiveand Neural Correlates of Loneliness and Wisdom during Emotional Bias.Cerebral Cortex, March 5, 2021;DOI: 10.1093/cercor/bhab012
University of California - San Diego.(2021, March 5). How does your brain process emotions? Answer could helpaddress loneliness epidemic: Study finds specific brain regions respondopposingly to emotions related to loneliness and wisdom. ScienceDaily. Retrieved March 9,2021 from www.sciencedaily.com/releases/2021/03/210305133713.htm