二、反趋势类指标
反趋势类指标是指将原本沿一定方向上下变动的价格走势通过一定的计算将其转换成仅围绕一水平轴做上下摆动运动,用以研判市场行情的技术分析方法。这些指标的代表有 :
- 乖离率(BIAS)
- 相对强弱指标(RSI)
- 威廉指标 (WR)
- 随机指标(KDJ)

(一)乖离率(BIAS)
乖离率(BIAS):是股价(或指数)偏离移动平均线的百分比 。
BIAS的测市原理:当股价偏离移动平均线太远时,无论股价在移动平均线之上还是之下,都会向移动平均线靠近,即股价有向心的趋向。
BIAS的计算方法及参数

当股价在MA之上时,BIAS为正,正值愈大,表示短期多头获利愈大,则获利回吐的可能性愈高;
当股价在MA之下时,BIAS为负,负值愈大,则空头回补的可能性也愈高;
而当股价与移动平均线一致时,BIAS为零。
一般来说,参数选的越大,则允许股价远离MA的程度就越大。
(二)相对强弱指标(RSI)
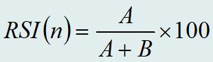
RSI是根据证券市场供求关系平衡的原理,通过比较一段时期内收盘价格(指数)的涨跌大小来测量多、空双方买卖力量的强弱程度,从而判断未来市场走势的一种技术指标。
RSI的计算方法
设连续N日内的收盘价格(或指数)分别为:C0,C1,C2,……Cn,其中C0为当日收盘价(或指数)。Cn为前第n日收盘价(指数)。
对上述数序求一次差分,得序列:ΔC0=C0-C1,ΔC1=C1-C2,……,ΔCn-1=Cn-1-Cn。
令 A=n个ΔC中的正数之和
B=n个ΔC中的负数之和的绝对值

RSI指标的基本运用
1、根据RSI值的大小及曲线形状判断行情
当40<RSI<60时,表示多空双方力量基本平衡;
当60<RSI<80时,表示多方占据优势,市场处于强势,应持股或买入;
当20<RSI<40时,表示空方占据优势,市场处于弱势,应卖出或空仓现望;
当RSI>80时,市场处于超买状态,是卖出信号;
当RSI<20时,市场处于超卖状态,是买入信号。
2、利用RSI指标与股价的背离信号来判断行情走势。
(三)威廉指标(WR)

WR表示当天的收盘价在过去一段时间内的全部价格变动范围内所处的相对位置。

%R的应用
当%R>80时,市场处于超买状态,行情可能见顶,应考虑伺机卖出;
当%R<20时,市场处于超卖状态,行情可能即将见底,应当考虑买入;
当%R从超卖区向上爬升时,表明行情趋势可能反转。一般情况下,当%R突破50中轴线时,市场由弱市转为强市,是买入信号;相反,则为卖出信号;
有时,市场在超买之后可能再超买,在超卖之后还可再超卖。因此,当%R进入超买或超卖区域时,行情并非一定立刻转向,只有确认%R线明显转向,跌破80或突破20时,方为正确的卖出或买入信号;
利用%R和实际股价走势的背离和撞顶及触底次数来研判买卖时机。
(四)随机指标(KDJ)
KDJ反映了当前收市价在近期价格区域中的相对位置,即偏向于最高或最低价格带的哪一边。
该指标在设计过程中主要研究高、低价位与收盘价的关系,同时也融合了威廉指标和移动平均线的一些优点。因此,它是一种中、短期的较为实用的测市工具。
指标的计算方法
计算出最近n日的“未成熟随机(RSV)”


KDJ指标的应用
超买、超卖区域的判断。
背离判断。
KD线交叉突破判断。
KD曲线形状的判断。
J值是反映K值和D值的最大乖离程度的,以便领先于KD值找出底部和头部。通常J值大于100时为超买,小于10为超卖。

三、能量类指标
在股票市场的每一个交易日都存在着多空双方的较量。能否正确地描述每个交易日多空双方力量的对比,是决定我们准确地预测股价未来变动方向的一个重要因素。
多空双方的力量强弱的划分必须要有一个标准。AR、BR、CR指标是以某一基点价格水平作为参照,从不同的角度来反映多、空双方争斗的力量大小及结果的。
如果股价在基点水平之上,说明多方处于优势,反映的是多方的力量;反之,股价若处于基点水平之下,则说明空方处于优势,反映的是空方的力量大小。
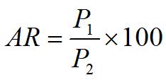
1、人气(AR)指标
AR指标称为人气指标或买卖气势指标,它是以每日的开盘价作为市场均衡价值,通过比较开盘价在一日价格中的高低,来反映市场买卖人气的技术指标。
这里多方力量体现在从开盘价到最高价的范围,空方力量则显示在开盘价至最低价的区域。
我们所说的高开高走、高开低走、低开高走、低开低走和平开高走(或低走)等都有是对这一天多空双方力量对比的反映。
P1=Σ(H-O)
P2=Σ(O-L)

AR运用
当AR=100,表明N日内多、空双方的总力量相等,不分高低;
AR值在33至300之间变动时,说明大盘处于常规性的上下浮动状态。AR值小于33,表明空方力量强大,大盘下跌过度,市场也显露超卖迹象。与之相反,当AR值大于300,表明多方力量强盛。
AR指标也可用于观察市场变化趋势。当AR曲线长期在100附近徘徊,表明市场处于无趋势状态。当AR曲线基本上位于100线之上,偶有跌破100线,不久又回升上超100线,表明市场处于上升趋势;当AR曲线基本上位于100线之下,偶有上穿100线,稍后便回落下穿100线,表明市场处于下跌趋势。
AR指标有领先股价达到顶峰和谷底的功能,因此可从AR与股价的背离方面观察市场趋势的演变。
2、意愿(BR)指标
意愿指标(BR)与人气指标(AR)属同类指标,也是反映市场买卖意愿的市场动力指标。它是将当日最高价与前收盘价之差作为多头买入意愿,将前收盘与当日最低价之差作为空方的卖出意愿。
BR指标值比AR指标值敏感。BR指标在极特殊的情况下可能出现负值,此时,一般是将负值以零值代替。

3、中间意愿指标CR
中间意愿指标CR与AR、BR的计算原理相同,其区别在于CR是以前日中间价作为多空双方的均衡点 。
PM为前日中间价 。CR值一般介于AR与BR之间,但更接近于BR。

四、成交量类指标(OBV)
能量潮(OBV)
以成交量作为分析对象
理论基础:市场价格的有效变动必须有成交量配合,量是价的先行指标。
一般而言,价格上升所需的市场动力——成交量总是很大;
反之,价格下跌,则意味着买力不足,即OBV下降。
当日OBV=前一日OBV±今日成交量
OBV的应用
OBV线缓慢上升时,表示买盘正逐渐加强,为买入信号。
OBV线由上升转为下降时,表示卖盘逐渐加强,为卖出信号;
OBV线急速上升时,表示买盘已全力涌进,市场动力即将力竭而衰,是卖出信号;
当价格走势上升(下降)而OBV线下降(或上升),这是背离现象,表明市场趋势可能要反转,值得投资者警觉。
在股价进入盘整区后,OBV曲线会率先显露出脱离盘整的信号,向上或向下突破。
六、腾落指数(ADL)和涨跌比率(ADR)
ADL和ADR指数都是以股票每天上涨或下跌的家数作为计算和观察的对象,借以反映市场大盘的强弱趋向,来研判股市未来动向的技术性指标。
ADL
今日ADL=(当天上涨家数—当天下跌家数)+昨日ADL
ADL的应用
ADL不能单独使用,一般要同股价指数线配合使用才能显现其作用。
ADL走势与指数走势同步上升(下降),创新高(低),则短期内大盘续涨(跌)的可能性较大。
股市处于多头(空头)市场时,ADL是上升(下降)趋势,其间如果突然出现急速下跌(上升)现象,接着又立即扭头向上(向下),创新高(低),则行情有可能再次上涨(下跌)。
当股价指数连涨数日,ADL都出现下跌,表示大势随时可能回档调整,此种背离是卖出信号。反之亦然。
形态理论和趋势线理论也适用于ADL曲线。
ADR
涨跌比率是由股票的上涨家数和下跌家数的比值来研判大盘走势强弱的技术指标。其理论基础是“钟摆原理”,即股市的供需有如钟摆的两个极端位置,当供给大于需求时,则会产生物极必反的效果,导致向需求方向摆动的拉力愈强,也愈急速;反之亦然。

ADR值在1附近变化,其下限为0,上限则无限制。
当ADR大于1,说明多方力量占优,如ADR大部分时间超1,则股市为牛市向上趋势;
ADR小于1,说明空方占优,如ADR总低于1,则股市实为熊市向下趋势;
若ADR在1附近走平,则显示多空双方总力量相当,大盘整理等待突破。