近日,国际学术杂志Frontiers in Oncology在线发表 上海中医药大学李琦教授团队 牵头的多中心、随机、双盲、安慰剂对照临床研究结果:“Effect of PRM1201 Combined With Adjuvant Chemotherapy on Preventing Recurrence and Metastasis of Stage III Colon Cancer: A Randomized, Double-Blind, Placebo-Controlled Clinical Trial”,证实 中药复方可有效预防III期大肠癌术后复发转移, 提高患者无病生存期,改善生活质量,为中医药防治肿瘤的临床应用提供了坚实可靠的理论依据。

手术是大肠癌的首选治疗方法,但术后转移率高, 超过1/3患者在术后3年内出现复发转移, 一旦发生转移,预后极差。如何提高大肠癌的术后辅助化疗疗效,预防复发转移,延长生存期是临床亟待解决的重要问题。
临床上大肠癌手术根治后是否需要长期服用中药,一直存在争议, 中医药复方预防手术后大肠癌转移的缺乏高级别的循证医学证据。 针对这一问题,曙光医院肿瘤科李琦教授团队领衔开展多中心的随机、双盲、安慰剂对照临床试验研究,复旦大学附属肿瘤医院、陕西中医药大学附属医院、湖南中医药大学附属中西医结合医院、河南省肿瘤医院、江苏省中西医结合医院和上海长征医院协同完成。该研究在中国临床试验注册中心注册(No. ChiCTR-IOR-16007719)。
李琦教授领衔的研究团队在长期临床实践及前期基础研究中发现,通过补肾填精、解毒散结的治法能够有效抑制大肠癌转移,并提炼出中药复方PRM1201,该方由女贞子、肉苁蓉、野葡萄藤、山慈菇等7味中药组成。
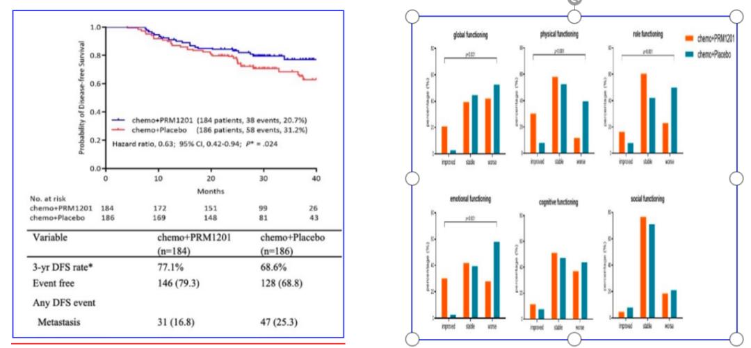
本研究共纳入370例III期大肠癌根治术接受辅助化疗患者,将患者按1:1比例随机分配至两组:服用中药组联合化疗组,和安慰剂联合化疗组。主要终点是无病生存期,次要终点是生活质量及安全性。 结果显示中药组无病生存率为77.1%,安慰剂组为68.6%,3年转移率明显低于对照组(22.9%vs31.4%)大肠癌术后转移风险降低37%( HR 0.63; 95% CI, 0.42-0.94;P=0.024)。同时,中药复方治疗显著提高患者的生活质量,改善生活状态。在整个试验过程中,未发现严重不良反应,中药复方可安全有效地减少大肠癌术后转移,降低术后复发的风险。

该研究以前期研究为基础,结合基础研究及临床应用实践,采用严谨科学的研究方法证实了中药复方在预防大肠癌复发转移方面的临床疗效,对中医药防治肿瘤的研究工作具有重要的指导意义,为中西医结合治疗大肠癌提供了科学依据。
该研究通讯作者李琦教授指出:“针对肿瘤治疗临床上面临的难题,将科学研究方法与中医药优势相结合,开展高级别的临床研究,获得循证依据,对于推动中医药防治肿瘤具有重要意义。”
李琦教授领衔团队 开展中西医结合防治大肠癌的基础研究及临床应用探索,先后发现外泌体通过激活成纤维细胞的大肠癌转移途径(Nat. Comm,2020);揭示肿瘤通过脂质代谢重新编程来抵抗抗血管新生药物抗药性的替代机制,提出抗血管新生药物与脂质代谢途径联合的抗肿瘤治疗新理念(Cell Metabolism,2018);同时,在国际上首次通过RCT研究证实中医药联合分子靶向药可显著提高晚期大肠癌的疗效(Frontiers in Pharmacology,2020)。

上述研究2019年参与制定《可切除的进展期结直肠癌围手术期治疗专家共识》、2020年《化疗药物导致的周围神经病变中西医结合防治专家共识》、2020年《新冠疫情期间恶性肿瘤中西医结合防护及康复专家共识》。
本研究得到国家自然科学基金重点项目、上海市科委重点项目、上海市中医药三年行动计划等基金资助。上海中医药大学附属曙光医院为第一完成单位,上海中医药大学附属曙光医院肿瘤科医生贾茹为第一作者,李琦教授为通讯作者,复旦大学附属肿瘤医院大肠外科、陕西中医药大学附属医院、湖南中医药大学附属中西医结合医院、河南省肿瘤医院、南京中医药大学附属中西医结合医院和上海长征医院等单位参与了本课题的研究。
(科技二处、肿瘤科)