
在数学中,有一个被称为自然常数(又叫欧拉数)的常数。之所以把这个数称之为自然常数,是因为自然界中的不少规律与该数有关。不过,这个数最初不是在自然界中发现的,而是与银行的复利有关。
想象一下,如果把钱存在年利率为100%的银行中,一年之后的钱将会增加为原来的(1+1)^1=2倍。假如银行不用这种方式来结算利息,而是换成六个月算一次,但半年的利率为之前年利率的一半,也就是50%,那么,一年后的钱将会增加为原来的(1+0.5)^2=2.25倍。同样的道理,如果换成每日,日利率为1/365,则一年后的钱将会增加为原来的(1+1/365)^365≈2.71倍。
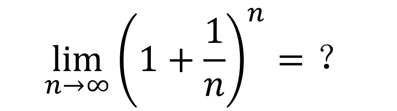
也就是说,随着结算时间的缩短,最终收益会越来越多。倘若结算时间无限短,那么,最终的收益会变成无穷多吗?这个问题等同于求解下面的这个极限:

经由严格的数学证明可知,上述极限是存在的,它不是无限的,而是一个常数,这个常数就是现在所说的自然常数e:

另据证明,自然常数e是一个无理数,所以它是一个无限不循环的小数,具体数值为2.71828……。
根据以e为底的指数函数的泰勒级数展开,还能推导出e的另一个表达式:

可以看到,自然数阶乘的倒数之和正是e,所以这能体现自然常数的“自然”之处。

在自然界中,有不少规律与e有关,例如,生物的生长、繁殖和衰变规律,这些过程都是无限连续的,类似于银行的无限复利。