一、刚好不相撞
两物体最终速度相等或者接触时速度相等。
二、刚好不分离
两物体仍然接触、弹力为零,且速度和加速度相等。
三、刚好不滑动
1、转盘上“物体刚好发生滑动”:向心力为最大静摩擦力。
2、斜面上物体刚好不上(下)滑:静摩擦力为最大静摩擦力,物体平衡。
3、保持物体静止在斜面上的最小水平推力:静摩擦力为最大静摩擦力,物体平衡。
4、拉动物体的最小力:静摩擦力为最大静摩擦力,物体平衡。
四、运动到某一极端位置
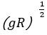
1、绳端物体刚好通过最高点(等效最高点):物体运动到最高点时重力(等效重力)等于向心力,速度大小为

2、杆端物体刚好通过最高点:物体运动到最高点时速度为零。
3、刚好运动到某一点:到达该点时速度为零。
4、物体刚好滑出(滑不出)小车:物体滑到小车一端时与小车速度刚好相等。
5、粒子刚好飞出(飞不出)两个极板间的匀强电场:粒子沿极板的边缘射出(粒子运动轨迹与极板相切)。
6、粒子刚好飞出(飞不出)磁场:粒子运动轨迹与磁场边界相切。
五、速度达到最大或最小时,物体所受的合外力为零,即加速度为零
1、机车启动过程中速度达最大匀速行驶:牵引力和阻力平衡。
2、导体棒在磁场中做切割运动时达稳定状态:感应电流产生的安培力和其他力的合力平衡。

六、某一量达到极大(小)值
1、两个物体距离最近(远):速度相等。
2、圆形磁场区的半径最小:磁场区是以公共弦为直径的圆。
3、使通电导线在倾斜导轨上静止的最小磁感应强度:安培力平行于斜面。
4、穿过圆形磁场区域时间最长:入射点和出射点分别为圆形直径两端点。
七、绳的临界问题
1、绳刚好被拉直:绳上拉力为零。
2、绳刚好被拉断:绳上的张力等于绳能承受的最大拉力
3、绳子突然绷紧:速度突变,沿绳子径向方向的速度减为零。
八、运动的突变
1、天车下悬挂重物水平运动,天车突停:重物从直线运动转为圆周运动,绳拉力增加。
2、绳系小球摆动,绳碰到(离开)钉子:圆周运动半径变化,拉力突变。
3、物体运动到曲面和水平面的交界处:对支持面的压力突变。
4、稳定轨道上运行的卫星突然加速或减速:卫星变轨,做离心运动或近心运动。

●NB物理创新课堂|串、并联电路中的电流规律
●NB物理创新课堂|熔化和凝固
●NB物理创新课堂|电路和电流
●NB物理创新课堂|声音的产生与传播
●邀请活动|邀请好友送1个月VIP还有NB定制送鼠标垫!!
●【帮助手册】有关产品使用问题汇总
更多关于NOBOOK的使用问题
老师们可关注公众号留言反馈~

公众号ID:nobook8
www.nobook.com

长按扫码关注