在阅读此文之前,麻烦您点击一下“关注”,既方便您进行讨论和分享,又能给您带来不一样的参与感,感谢您的支持。

文 | 晓池扶玥
编辑 | 晓池扶玥
前言
使用自避免行走算法在立方晶格上 对龙卷风流中的超临界或吸力涡旋进行近似, 并探讨它们对龙卷风的产生和维持的贡献。延续了A. Chorin及其合作者在湍流方面的研究,将立方晶格上涡丝的统计平衡量近似当涉及能量和统计温度两个因素时。
结果证实了超临界(平滑的,“直线”状)涡旋具有最高的平均能量,并在该模型中对应于负温度。能量最低的结构在很大程度上被折叠和"弯曲"。研究结果支持A. Chorin的发现,即在龙卷风流中,高能涡旋在拉伸时需要折叠并将能量转移给周围的气流,从而有助于龙卷风的维持或导致其产生。

吸力涡旋行为
采用马尔可夫链蒙特卡洛方法进行计算,并使用局部转换的简单采样算法,使得结果在广泛的统计温度范围内都可靠, 不像最初使用的枢轴算法只在无穷大温度附近表现良好。 我们还讨论了计算熵的有效方法,并表明拥有超临界涡旋的系统将通过使这些涡旋折叠并将能量传递给周围的气流来增加熵。
在龙卷风形成阶段,常常会在龙卷风形成区域自发出现长而窄的涡旋,然后折叠并消散。这些涡旋也会在龙卷风存在的其他阶段出现。图1示意性地展示了强龙卷风中这类涡旋的例子。如图中所示,这类涡旋被称为吸力涡旋。

它们是笔直而窄的,局部集中了大量动能。它们的大小通常低于雷达甚至移动雷达的探测范围。这些涡旋是短暂的,往往在围绕主要龙卷风流一周内折叠并消散。在龙卷风视频或龙卷风过后的灾害调查中可以看到这些涡旋的痕迹。
在这些调查中,这些涡旋会在草坪上留下痕迹, 或是在农田中将植物从地面上拔起, 表明它们具有很高的能量密度(见图2),有时紧随其后的痕迹处还有碎片,这是由于涡旋的消散。这些强大而窄小的涡旋被称为超临界涡旋。

它们的形成与气旋动平衡的崩溃有关,这时压力梯度力占主导地位,涡旋折叠成了窄的丝状结构; 随着涡旋折叠,其能量密度增加,熵密度减小。 这反映了A. Chorin在湍流研究中所研究的负温度涡旋的行为。
负温度涡旋行为
负温度涡旋是笔直的,并且当它们将能量传递给周围流体时,它们会折叠并消散。研究的超临界涡旋的行为与Chorin研究的负温度涡旋的行为之间的相似性令人惊讶,并且是本文的动力之一。研究结果将支持和说明这一现象。

正如预期的那样,这些涡旋类似于负温度下的丝状涡旋,可以看到它们类似丝状的涡旋折叠并消散,这是该研究的主要观察结果之一。超临界或吸力涡旋在龙卷风的生成和维持中也起着重要作用。
关于这一概念的更深入讨论出现在中,并且在最先进的模拟中提供了数值证据。图3展示了 这些涡旋的模拟动态行为, 位于正在形成或已经形成的龙卷风右侧的强烈而窄小的垂直涡旋进入龙卷风形成或已形成的区域。

在模拟中,这些涡旋最终会折叠和消散,并将能量传递给周围的气流。由Doppler on Wheels移动雷达得到的2013年5月31日俄克拉荷马州埃尔雷*龙诺**卷风的雷达数据揭示了大气流中的多个强烈涡旋存在。对大气流中的这些较小且*力暴**的涡旋进行了分析和讨论。
能量和熵是任何热力学系统的基本描述符,广泛应用于物理学、大气科学、生物化学、生物物理学等领域。 甚至涉及到DNA基因突变的研究。 受到Chorin的研究结果的启发,目标是可靠地计算立方晶格上涡丝的能量和熵,并将这些知识应用于超临界吸力涡旋及其行为的背景下。

这个模型还进一步扩展到具有布朗核心和分形横截面的涡旋结构,以及布朗半鞘线。另一个模型严格地研究了一组几乎平行的涡旋,但限制是涡旋丝不能折叠,这对于我们考虑折叠并消散的涡旋是不利的。Chorin使用的立方晶格SAW模型在统计温度范围上产生了一系列结果,这是 由于采用了适用于聚合物的马尔可夫链蒙特卡洛(MCMC)算法 (枢轴算法),但当不是这种情况时,该算法无法提供可靠的结果。
采用了一种更灵活的算法,这样可以减轻枢轴算法所遇到的大部分问题。这个算法允许计算均衡平均能量,当已知确切值时可以进行验证,目前没有任何迹象表明结果在一般情况下有明显偏差。在计算出看似可靠的能量后,还提出了一种高效的计算系统熵的方法,其准确性主要受到平均能量的计算精度的影响。

典型的大气流动
大气流动可以使用欧拉方程建模,这些方程关联了流体的速度、压力和质量密度以及外部体力。 典型的流动通常是不可压缩的, 因此速度场的散度为零。当出现以下两种情况之一时,等熵流动几乎是不可压缩的:流动速度或流速沿着流线的局部变化与介质中声速相比较小。对强龙卷风的可压缩和不可压缩等熵流动的数值研究显示结果之间几乎没有太大差异。
假设u是流体的速度,ρ是其质量密度,p是压力,b是外部体力,所有这些都是位置x∈R^3和时间t∈R的函数,对于不可压缩流体流动的控制方程是:Du/Dt = -1/ρ * ∇p + b,∇⋅u = 0,Dρ/Dt = 0. (1)其中Df/Dt = ∂f/∂t + (u⋅∇)f表示标量函数f的物质导数。当应用于矢量函数时,算子D/Dt会分量地应用。

速度场u的涡度场ξ由u的旋度给出,即ξ = ∇×u。将第一个方程在(1)中应用旋度运算,可以得到ξ的方程:∂ξ/∂t = ∇×(u×ξ) + 1/ρ^2 * ∇ρ×∇p + ∇×b.在这个方程中,右边的第一项对应于涡度的“温度梯度”产生(捕捉垂直涡度的平流、拉伸和倾斜),而第二项对应于“斜压”产生的涡度,即涡度由质量密度和压力梯度的不对齐而产生。外部体力通常是保守的(例如,由于重力),在这种情况下∇×b = 0。
接下来,我们将重点研究涡度仅支持在较大无旋流中嵌入的长而窄的涡旋管的流动。这些涡旋可能是斜压或等温的, 并且可以通过之前讨论的吸力涡旋来展现自己。 在上述表达中,最后一个表达式中的第一项对应于一个圆柱体与其他圆柱体的相互作用,并称为交互或交换能量,而第二项被称为自能量,它给出了由沿涡旋丝附近点之间的相互作用引起的动能贡献。

对于一个无限细的涡旋线,交换能量可以通过以下方式近似。假设涡旋由N个等长线段Ii组成,它们的中点用Mi表示。 由于涡度沿涡旋线是平行的, 让ξi表示线段Ii上的“涡度”向量,它指向Ii的方向并且其大小等于线段Ii的长度。交换能量可以近似表示为:E=18π∑i ∑j≠iξi⋅ξj|Mi−Mj|。
能量贡献
这种缩放对应于涡旋的环流等于1。在接下来的部分,我们将讨论立方晶格近似,其中个体线段Ii连接立方晶格上的两个最近邻点,因此只允许相邻线段之间的角为90度或180度。请注意,由于(3)中的点积,能量的最大贡献来自于朝着相同方向的附近线段,最小(负)贡献来自于朝着相反方向的附近线段,而正交线段对能量没有贡献。最大能量对应于直线涡旋,而最小能量可能对应于非常折叠的涡旋。

为了简化3D中线涡旋的所有可能配置集,我们只考虑受限于立方晶格Z3(晶格常数为1)的情况。涡旋丝将对应于在此晶格上的自避免随机行走(SAW),这是高分子和蛋白质领域极具兴趣的概念。 即使采用了这种简化假设, 研究各种涡旋配置的问题在精确解下是难以解决的,因为所有可能的N段SAW的数量似乎随N增加而指数级增长。
现在简要回顾统计力学中的相关概念。假设正整数N对应于在立方晶格上的自避免行走中线段的数量,用M来表示从原点出发的所有可能的自避免行走的总数。用xi(i=1,⋯,M)表示可能的自避免行走,或长度为N的涡旋配置。涡旋配置xi代表系统SN={xi:i=1,⋯,M}中的各个状态。

其中Z被称为(正则)配分函数,β=1/(k_BT)有时被称为“冷度”,因为它与(统计)温度T的倒数成比例。玻尔兹曼常数kB在后续计算中被假定为等于1,但在本节的一般结果中将使用它。请注意,当β=0时,所有状态是等可能的,即对于i=1,⋯,M,pi=1/M。这有时被称为聚合物情况,因为在模拟聚合物行为时,考虑等可能的配置。
注意关系β=1/(k_BT)也可用于定义温度T=1/(k_Bβ)。考虑β从负无穷到正无穷增加。当β从负无穷增加到0时, 对应于温度从0降低到负无穷; 当β从0增加到正无穷时,对应于温度从正无穷降低到0。综合起来当考虑温度T时,温度首先从T=0增加到T=正无穷;考虑β→0的单侧极限,可以将T=正无穷视为T=负无穷,并简单地写成T=无穷。

莫比乌斯变换的特殊情况
温度进一步增加,T从无穷通过负值变化到0。在这个意义上,负温度比正温度高。这个观念对应于通过将实数线转化为一个圆来获得一个圆,其中+∞和-∞被视为相等,无论对于β还是T;这种等同是复平面的一个莫比乌斯变换的特殊情况。负温度高于正温度的另一个解释是基于能量(和熵)的考虑。
利用玻尔兹曼分布(4),我们现在可以以标准方式定义在任何有限β下状态xi∈SN的任何函数的平均值。给定β(或温度T),系统SN的平均能量⟨E⟩由以下表达式给出: 现在简要回顾统计力学中的相关概念。 假设正整数N对应于在立方晶格上的自避免行走中线段的数量,用M来表示从原点出发的所有可能的自避免行走的总数。用xi(i=1,⋯,M)表示可能的自避免行走,或长度为N的涡旋配置。涡旋配置xi代表系统SN={xi:i=1,⋯,M}中的各个状态。

其中Z被称为(正则)配分函数,β=1/(k_BT)有时被称为“冷度”,因为它与(统计)温度T的倒数成比例。玻尔兹曼常数kB在后续计算中被假定为等于1,但在本节的一般结果中将使用它。请注意,当β=0时,所有状态是等可能的,即对于i=1,⋯,M,pi=1/M。这有时被称为聚合物情况,因为在模拟聚合物行为时,考虑等可能的配置。
注意关系β=1/(k_BT)也可用于定义温度T=1/(k_Bβ)。考虑β从负无穷到正无穷增加。当β从负无穷增加到0时, 对应于温度从0降低到负无穷; 当β从0增加到正无穷时,对应于温度从正无穷降低到0。当考虑温度T时,温度首先从T=0增加到T=正无穷;考虑β→0的单侧极限,可以将T=正无穷视为T=负无穷,并简单地写成T=无穷。温度进一步增加,T从无穷通过负值变化到0。

结语
在这个意义上,负温度比正温度高。这个观念对应于通过将实数线转化为一个圆来获得一个圆,其中+∞和-∞被视为相等,无论对于β还是T;这种等同是复平面的一个莫比乌斯变换的特殊情况。负温度高于正温度的另一个解释是基于能量(和熵)的考虑。
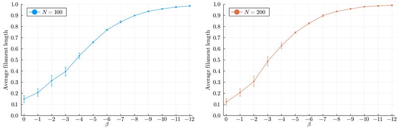
在这一部分,以N和β的函数形式呈现了计算平均能量⟨E⟩和熵S的数值结果。这些结果扩展了(以及其中的参考文献)中的结果, 涵盖了比之前更广泛的β值范围。 其中一个目标是展示结果的改进质量,而不是将其扩展到涡旋丝长度的最大可能值。
在各个子章节中,介绍并讨论了算法的验证情况,涡旋丝长度为N的平均能量(5)的结果,还讨论并计算了系统的熵,并介绍了一些与最小能量配置相关的观察结果,尽管这不是本文的主要重点。
参考文献
[1]Lerner, L.(2020)《一位科学家如何改变了我们对龙卷风的认识》
[2]Fujita, T.T.(1981)《龙卷风和下击暴风在广义行星尺度上的背景》《大气科学杂志》,38,1511-1534
[3]Fiedler, B.H. 和 Rotunno, R.(1986)《类似龙卷风涡旋中最大风速的理论》《大气科学杂志》,43,2328-2440
[4]Chorin, A.J.(1988)《涡旋晶格模型中的标度律》《数学物理通讯》,114,167-176
[5]Chorin, A.J.(1990)《湍流理论中的约束随机行走和涡旋丝》
《数学物理通讯》,132,519-536