2019年第35届全国中学生数学决赛(CMO)在武汉的华中师范大学第一附属中学正式开赛,截至目前,已经完成第一天和第二天的考试,目*考前**试试卷也正式出炉,我们一起先睹为快。

第一天的考试题目共包括三道题,分别如下:

第二天考试的题目如今也已经出炉,分别如下:
第一题
A1 A2……An是圆周上n段圆弧(包括端点) 已知至少有1/2*Cn3个三元组(i,j,k)满足1≤i<j<k≤n Ai∩Aj∩Ak≠∅ 求最大的实数c 满足存在I⊆{1 2 3..n} |I|>cn ∪i∈I Ai≠∅
第二题
正整数数列 a1>1 a(n+1)=an+P(an) P(an)表示an的最大素因子 证明:{an}中有完全平方数
第三题
证明是否存在正实数a0 a1 a2……a19满足:
x^20+a19x^19+……+a1x+a0没有实根且对于任意0≤i<j≤19 交换x^i和x^j前系数 多项式都有实根
数学对于很多人来说,还是非常感兴趣,虽然很多人没有机会参加这种竞赛,但每年奥数竞赛题目出来后,对于题目的解答,往往会在网络上展开热烈的讨论,很多人已经尝试角度第一天的题目。
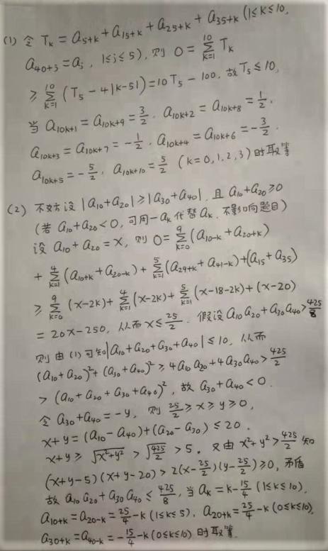
譬如下面就是一位网友在网上贴出的部分解答,仅供交流:

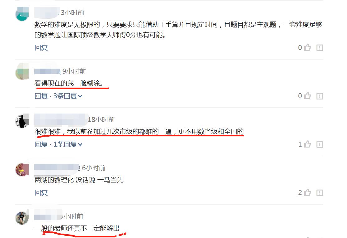
然而,由于奥数难度过大,虽然考试对象只是中学生,但已经远远超出中学生课本范畴。很多网友看完这些题目,直接就头皮发麻,两眼发蒙。很多已经通过高考,进入大学的学霸们,看完这些竞赛题,也是非常汗颜,直接认输。哪怕是一般的数学老师,看完也得汗颜,不一定能够搞定。

有兴趣的同学或朋友,可以挑战一下今年的全国奥数题目,在评论区里说说你的想法。
这边是考试刚结束,另一边则是清华大学、北京大学等名校已经摩拳擦掌,开始准备抢人了。从目前官方透出的消息来看,从26号开始,各大名校在华中师范大学附属一中连续三天安排了宣讲,他们对于奥数金牌选手已经虎视眈眈,恨不得全部抢到自己学校里来。

我们从上面的时间安排表来看,今年来抢人的全是名牌大学,包括清华大学、北京大学、浙江大学、中国科学技术大学、*京大南**学、上海交通大学、中国科学院大学、华中科技大学、天津大学、北京理工大学、复旦大学、电子科技大学、大连理工大学、四川大学、南开大学、同济大学、武汉大学、南方科技大学等,除了中国科学院大学和南方科技大学之外,全是清一色的985名校。

今年全国奥数竞赛到底最后金牌花落谁家,各大名校谁又能抢到最多的金牌选手,我们拭目以待。

根据规定,五大学科竞赛是可以有机会直接保送清华大学、北京大学等名校,这也是目前为数不多的保留的项目。因此,学科竞赛仍然非常受学生和家长欢迎。很多家长从小就开始给孩子培训奥数,经过系统化的训练,希望最后能有机会参加省、国家级竞赛,一旦在大赛中获奖,将获得直通名校的机会,这或许也是家长的一个心愿。

学习奥数,一直有争议,有的家长愿意从小培训孩子学奥数,不管结果如果,就当是一个学习的过程。有的家长却反对,觉得难度过大,容易适得其反。
对于学习奥数,个人觉得如果孩子不反感,尝试一下并没有什么坏处。有人说,数学是自然科学的皇冠,是学习一切自然科学的基础,数学好的人,学习物理非常容易,学化学或生物也不难。学习数学,不是简单的学会计算,更重要的是培养孩子逻辑思维能力,分析问题和解决问题的能力。

数学到底有多重要?举一个最现实的例子,杨振宁和李政道在1956年共同提出宇称不守恒定律而获得了诺贝尔物理学奖。而之后的63年里,李政道却并没有做出太多突出成就,但杨振宁却屡屡创造物理学上的奇迹,影响力最大的是杨-米尔斯理论以及几大方程,这是20世纪后半叶世界物理最伟大的成就之一。

为何李政道和杨振宁后来的差距这么大?最直接的原因就是数学基础不一样,杨振宁曾经说过:李政道是一个极其聪明的物理学家,工作也非常努力。可是洞察能力和数*运学**算能力上,还是略逊一筹,所以在1962年之后,虽然发表了很多论文,但并没有特别突出的。

很多杰出的物理学家,同时也是一位伟大的数学家,比如欧拉。杨振宁亦是如此,那么杨振宁数学为什么这么厉害?很多人知道,他父亲杨武之就是著名的群论数学家,杨振宁深受其影响。同时,杨振宁学习数学还受到了另一个人的影响,那就是民国时期著名的数学刘薰宇。刘薰宇是民国时期著名的数学家,最擅长的就是编写趣味科普著作,能够将枯燥的数学知识和理论用最有趣的语言描述出来,从来激发学生学习数学的兴趣。

杨振宁这样说:“有一位数学家,他叫刘薰宇,写过很多通俗易懂和极其有趣的数学方面的文章。我记得,我读过他写的善于智力测验的文章,才知道排列和奇偶排列这些极为重要的数学概念。”

刘薰宇曾经有过三本经典数学科普读物《数学趣味》、《马先生谈算学》和《数学的园地》。杨振宁正是读了这几本经典的数学著作,激发了他对数学的兴趣。这也是杨振宁先生至今都很推崇刘薰宇的原因之一。而刘薰宇最经典的三本数学著作,也成了现在很多中小学生课外必读的科普读物,很多家长对此赞不绝口。


如果你也希望激发自己孩子学习数学的兴趣,欢迎点击下面链接,直接购买。
刘薰宇数学【一套三本 】
¥69
购买