第一节 利率
一、基准利率及其特征
(一)含义
一定时期内利息与本金的比率,通常用百分比表示。
(二)特征
基准利率,具有普遍参照作用,其他利率水平或金融资产价格均可根据基准利率水平来确定。其具备以下特征:
(1)市场化;市场供求关系决定,不仅反映实际供求,还反映市场对未来供求的预期。
(2)基础性;其与其他金融市场利率或金融资产的价格具有较强关联性。
(3)传递性;其反映的市场信号,或央行通过其发生的调控信号,能有效传递到其他金融市场和金融产品价格上。
市场利率,无风险利率,风险溢价
二、利率的影响因素
利率 ᵅf=ᵅf*+ᵄ5ᵄ3=ᵅf*+ᵃcᵄ3+ᵃ7ᵄ5ᵄ3+ᵃfᵄ5ᵄ3+ᵄ0ᵄ5ᵄ3

r*——纯粹风险(pure risk);rate(利率)
风险溢价;risk premium
IP——通货膨胀溢价;inflation premium
DRP——违约风险溢价;default risk premium
流动性风险溢价;liquidity risk premium
MRP——期限(到期)风险溢价。Maturity risk premium
期限风险溢价指债券因面临存续期内市场利率上升导致价格下跌风险而给予债权人的补偿,因此也被称为“市场利率风险溢价”
纯粹利率与通货膨胀溢价之和,称为“名义无风险利率”,简称“无风险利率”
(名义)无风险利率=rRF=r*+IP
政府债券信誉很高,通常假设不存在违约风险, 其利率被视为名义无风险利率。
三、利率的期限结构
(一)无偏预期理论
该理论认为,利率期限结构完全取决于市场对未来利率的预期,即长期债券即期利率是短期债券预期利率的函数。也就是说长期即期利率是短期预期利率的无偏估计。
上斜收益率曲线:市场预期未来短期利率会上升;
下斜收益率曲线:市场预期未来短期利率会下降;
水平收益率曲线:市场预期未来短期利率保持稳定;
峰型收益率曲线:市场预期较近一段时期短期利率会上升,而在较远的将来,市场预期短期利率会下降。
(二)市场分割理论
由于法律、文化心理、投资偏好等不同,投资者比较固定投某一类债券。
各曲线形态与无偏相反。
(三)流动性溢价理论
其综合上述两种理论。长期即期利率是未来短期预期利率平均值加上一定的流动性风险溢价。
第二节 货币时间价值
一、概念
指货币经过一定时间的投资和再投资所增加的价值。
不同时间货币不宜直接比较,需折算到同一时点上,才能计算价值和进行比较。
理论上,货币时间价值率是没有风险和没有通胀下的社会平均利率率。实务中,通常以利率、报酬率等来代替货币时间价值率。
二、复利终值和现值
(一)复利终值,本金未来本利和。
F=P(1+i)n
(1+i)n称为终值系数,用(F/P,I,n)
(二)复利现值,未来来利和现在所需本金。
P=F(1+i)-n
F 在前为终值系数(final value)
P 在前为现值系数(present value)
(三)报价利率和有效年利率
复利计算期间按年折算,因此需明确三个概念:报价利率、计算期利率和有效年利率。
1、报价利率
如:金融机构报的年利率,称为报价利率,有时也称为名义利率。提供报价利率时,必须同时提供复利次数(或计息天数),否则意义不完整。
2、计息期利率
指对每1元本金每期支付的利息。可以是年利率,也可以是半年、季度、月度或每日利率。
计息期利率=报价利率/每年复利次数
3、有效年利率
按给定计息期利率和每年复利次数计算利息时,能产生相同结果的每年复利一次的年利率被称为有效年利率,或称为等价年利率。
有效年利率=(1+报价利率ᵅa)m-1

例:年利率8%,投资5年,按季度付息
有效年利率=(1+8%12÷3)4-1=8.24%

连续复利的有效年利率=e报价利率-1,e为自然常数。
三、年金终值和现值
年金指等额、定期的系列收支。
(一)普通年金
普通年金又称后付年金,指各期期末收付的年金。
1、普通年金终值
最后一次收付时的本利和,是每次收付的复利终值之和。
F=A1+ᵅ6ᵅb−1ᵅ6

1+ᵅ6ᵅb−1ᵅ6是普通年金终值系数,表示方法(F/A,I,n)

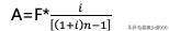
2、偿债基金
偿债基金系数和普通年金终值系数互为倒数
A=F*ᵅ61+ᵅ6ᵅb−1

表示方法(A/F,I,n)
有一种折旧方法,称为偿债基金法
3、普通 年金现值
指为在每期期末收付相等金额的款项,现在需要投入或收取的金额。
P=A* −ᵅb 1−1+i ᵅ6

表示方法(P/A,I,n)
其倒数为投资回收系数。
(二)预付年金终值和现值
1、预付年金终值
指每期期初收付的年金,又称即付年金或期初年金。
1+in+1−1i−1年金终值系数

表示方法:[(F/A,I,N+1)-1]
2、预付年金现值

(三)递延年金
(四)永续年金
无限期定额收付的年金,称为永续年金。现实中的存本取息,可视为永续年金的一个例子。
P=A*1ᵅ6

永续年金没有终止时间,因为没有终值,其现值可通过普通年金现值导出。
第三节 风险与报酬
一、风险含义
风险是预期结果的不确定性。不仅包括负面效应不确定性,还包括正面效应不确定性。
一项资产最佳的风险度量,是一项资产对投资组合风险的贡献程度。衡量该风险的指标被称为贝塔系数。
二、单项投资的风险与报酬
风险的衡量,一般应用概率和统计方法。
(一)概率
概率是用来表示随机事件发生可能性大小的数值。必然发生定为1,不可能定为0,一般随机事件概率介于0-1间。
(二)离散型分布和连续型分布
按照统计学理论,不论总体分布是正态还是非正态,当样本很大时,其样本平均数都呈正态分布。
(三)预期值
预期值K 平均值=Pi*Ki 求和,Pi 指第 i 种结果出现的概率,Ki,第 i 种结果的报酬率;N,所有可能结果的数目。
报酬率相同的项目,可能因离散程度不一样,决定其风险不同。这需要用到统计学中衡量概率分布离散程度的指标。
(四)离散程度
表示随机变量离散程度的量数,最常用的是方差和标准差。
方差是用来表示随机变量与期望值之间离散程度的一个量,这是离差平方的平均数。

总体方差:报酬率与平均报酬率之差平方求和再除样本数量;
样本方差:其他与总体方差一样,分母为样本数量减1;
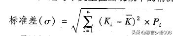
标准差:方差开平方。
n 表示样本容量(个数),(n-1)称为自由度。自由度反映分布或差异信息的个数。
之所以减1,是因为算出的平均值,有一个是必然与其本身是一样的,相减为0,因此需剔除其影响。
在已知每个变量值出现概率的情况下,标准差可以写作:

标准差是以均值为中心计算出来的,因而有时直接比较标准差是不准确的,需要剔除均值大小的影响,为解决此问题,引入了变异系数(离散系数)的概念。变异系数是标准差与均值的比,它是从相对角度观察的离异和离散程度,在比较相关事物的差异程度时较之直接比较标准差要好些。
变异系数=标准差/均值
三、投资组合的风险与报酬
投资组合理论认为,若干证明组成的组合,其收益是这些证券收益的加权平均数,但其风险不是这些证券风险的加权平均风险,投资组合能降低风险。
(一)证券组合的期望报酬率和标准差
1、期望报酬率
两种或两种以上证券组合,其期望报酬率:

2、标准差与相关性
(二)投资组合的风险计量
投资组合风险不是各证券标准差简单加权平均数
投资组合报酬概率分布的标准差是

协方差计算
协方差=两种相关证券预期相关系数*各对应标准差
本文由“寡言少语006”原创,欢迎关注,带你一起长知识!