前言
指数分布族是一系列分布的统称,包含连续和离散的相关分布。例如,正态分布(Gaussian)、泊松分布(Poisson)、二项分布(Bernoulli)、指数分布(exponential)、Gamma分布、多项式分布(multivariate)等。指数分布族中的分布以及指数分布族的性质,经常用于机器学习(machine learning)模型的参数假设以及参数推理中。较为典型的模型是生成模型,例如主题模型(Topic Models)中经常使用到的共轭分布(multivariate和Dirichlet分布、Bernoulli和Beta分布、Poisson和gamma分布等)。指数分布族中的共轭经常用于参数推理、另外其统计特性经常用于变分推理。
指数族分布的一般表达式:

其中:
η:η为自然参数(natural parameter),可以是向量形式
T(x):T(x)为充分统计量(sufficient statistic)
A(η):A(η)为累计函数(cumulant function),作用是确保概率和为1
h(x):h(x)为underlying measure
典型指数族分布转化
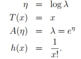
1、Poisson分布
泊松分布的标准形式为:

其对应的指数分布形式:

其中:

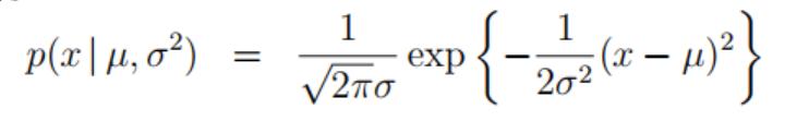
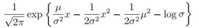
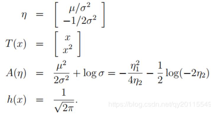
2、Gaussian分布
标准形式:

指数族分布形式:

其中:

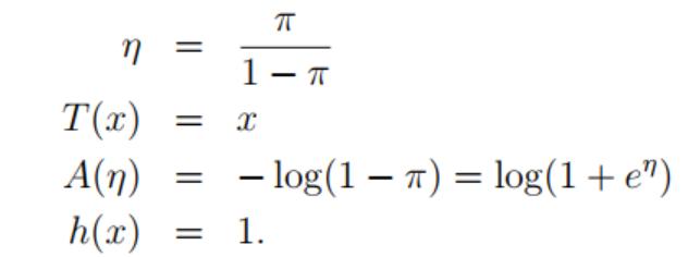
3、Bernoulli分布
标准形式:

其中:

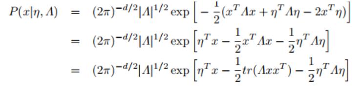
4、多元Gaussian分布
标准形式:

指数族形式:

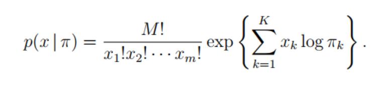
5、Multinomial分布
标准形式:

指数族形式:

总结
在很多机器学习算法中,指数族分布是一个很重要的概念,比如在LDA算法,因此了解机器学习就从指数族分布开始吧。
今天是三八妇女节,祝所有的妇女同胞们节日快乐!