1、现金流量表
(1)基本结构: 经营活动产生的现金流量(CFO)、投资活动产生的流量(CFI)、筹资活动产生的流量(CFF)。
(2)作用 :①反映企业的现金流量,评价企业未来产生现金净流量的能力;②评价企业偿还债务、支付投资利润的能力,谨慎判断企业财务状况;③分析净收益与现金流量间的差异,并解释差异产生的原因;④全面了解企业财务状况;⑤有助于投资者估计今后企业的偿债能力、获取现金的能力创造现金流量的能力和支付股利的能力。
2、盈利能力比率
|
销售利润率 |
销售利润率=净利润总额/销售收入总额 |
|
资产收益率 |
资产收益率=净利润总额/总资产总额 |
|
净资产收益率 |
净资产收益率=净利润总额/所有者权益总额 |
3、杜邦恒等式
净资产收益率=销售利润率×总资产周转率×权益乘数
杜邦分析法的核心是净资产收益率,侧重分析单一报告期内企业的经营状况,是对历史数据、以往业绩的评价,但不能反映企业的实际市场价值与发展前景。
4、名义利率和实际利率
in=ir-p
ir为名义利率,in为实际利率,p为通货膨胀率。
5、终值、现值与贴现 (1)终值:货币的未来价值,公式FV=PV×(1+i)n,资金的时间价值一般都是按照复利方式进行计算的。FV表示终值,n表示年限,i表示年利率,PV表示本金或现值。(2)现值和贴现:将来货币金额的现在价值。公式PV=FV/(1+i)n,将未来某时点资金的价值折算为现在时点的价值称为贴现。
6、不同资本的清偿顺序: 债券持有者(最高索取权)>优先股>普通股,公司作为法人,应当以其全部资产承担清偿责任。
7、股票的特征: ①收益性;②风险性;③流动性;④永久性;⑤参与性。
8、可转换债券的基本要素: ①标的股票;②票面利率;③转换期限;④转换价格;⑤转换比例;⑥赎回条款;⑦回售条款。
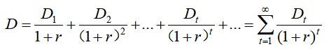
9、股利贴现模型(DDM)

D为股票的内在价值,Dt为第t期的股利,r为贴现率。贴现率是预期现金流量风险的函数。风险越大,现金流的贴现率越大;风险越小,贴现率越小。
10、投资债券的风险: ①信用风险(违约风险);②利率风险(债券的价格与利率呈反向变动关系);③通胀风险;④流动性风险;⑤再投资风险;⑥提前赎回风险(回购风险)。
11、债券当期收益率与到期收益率之间的关系 ①市价越接近面值,期限越长,当期收益率越接近到期收益率②市价越偏离面值,期限越短,当期收益率越偏离到期收益率
12、债券到期收益率的影响因素: ①票面利率;②债券市场价格;③计息方式;④再投资收益率。
13、货币市场工具的定义及特点 (1)定义:货币市场工具一般指短期的(1年之内)、具有高流动性的低风险证券,具体包括银行回购协议、定期存款、商业票据、银行承兑汇票、短期国债、中央银行票据等。(2)特点:①均是债务契约;②期限在1年以内(含1年);③流动性高;④大宗交易,主要由机构投资者参与,个人投资者很少有机会参与买卖;⑤本金安全性高,风险较低。
14、衍生工具 (1)定义:由另一种基础资产构成或衍生而来的交易合约,其价值取决于一种或多种基础资产。基础资产通常被称作合约标的资产。合约标的资产可以是金融资产,也可以是黄金、原油等大宗商品或贵金属。(2)特点:①跨期性;②杠杆性;③联动性;④不确定性或高风险性。
15、期货合约的基本功能: ① 风险管理;②价格发现;③投机。
16、远期合约、期货合约、期权合约和互换合约的区别
|
远期 |
期货 |
互换 |
期权 |
|
|
交易场所与合约 |
场外非标准化交易 |
交易所 |
场外非标准化交易 |
大部分在交易所 |
|
损益特征 |
双边合约 |
双边合约 |
双边合约,信用违约互换为单边合约 |
单边合约 |
|
信用风险 |
存在双方违约风险 |
买方有风险 |
||
|
执行方式 |
实物交割 |
对冲平仓 |
实物交割 |
行权或不行权 |
|
杠杆 |
没有杠杆 |
有杠杆 |
没有杠杆 |
有杠杆 |
17、另类投资的主要类型 (1)另类资产,如自然资源、大宗商品、房地产、基础设施、外汇和知识产权等。(2)另类投资策略,如长短仓、多元策略投资和结构性产品等。(3)私募股权,如风险投资、成长权益、并购投资和危机投资等,组织形式通常为合伙人、公司、信托契约等。(4)对冲基金,如全球宏观、事件驱动和管理期货对冲基金等。除了主流形式外,另类投资还包括黄金投资(本质上是大宗商品投资的一种)、碳排放权交易、艺术品和收藏品等投资方式。
18、另类投资的优势和局限 (1)优势:提高收益、分散风险(与传统资产的低关联性)(2)局限性:①缺乏监管和信息透明度;②流动性较差,杠杆率偏高;③估值难度大,难以对资产价值进行准确评估。
19、 私募股权投资的战略形式:风险投资;成长权益;并购投资;危机投资;投资私募股权二级市场。
20、大宗商品投资的类型
|
能源类 |
原油、汽油、天然气、动力煤、甲醇等 |
|
基础原材料类 |
钢铁、铜、铝、铅、锌、镍、钨、橡胶、铁矿石等 |
|
贵金属类 |
黄金、白银、铂金等 |
|
农产品类 |
大豆、玉米、小麦的期货被称为三大农产品期货 |
21、个人投资者和机构投资者的特征
|
个人投资者 |
机构投资者 |
|
①投资需求受个人所处生命周期的不同阶段和个人境况的影响,差异化较大; ②可投资的资金量较小; ③风险承受能力较弱; ④投资相关的知识和经验较少,专业投资能力不足; ⑤常常需要借助基金销售服务机构进行投资。 |
①资本实力更为雄厚,投资规模相对较大; ②更高的风险承受能力; ③投资管理专业; ④投资行为规范。 |
22、投资管理部门设置和职能 (1)投资决策委员会:基金公司管理基金投资的最高决策机构,由各个基金公司自行设立,是非常设的议事机构;(2)投资部:根据投资决策委员会的原则和计划制定投资组合具体方案,向交易部下达投资指令;(3)研究部:基础部门,提供研究报告和投资计划建议;(4)交易部:根据投资部制定的投资组合具体执行交易,最严格保密要求。
23、最小方差前沿与有效前沿: 最小方差前沿的上部分就称为马科维茨有效前沿。有效前沿是能够达到最优的投资组合的集合,它位于所有资产和资产组合的左上方。相同收益率水平下,方差最小,风险最低。
24、总风险=系统性风险+非系统性风险。 非系统性风险可以通过构造资产组合分散掉,系统性风险不能通过构造投资组合分散。
25、资本市场理论的假设: ①所有的投资者都是风险厌恶者;②投资者可以以无风险利率任意地借入或贷出资金;③所有投资的期望相同;④所有投资者的投资期限都是相同的;⑤所有的投资都可以无限分割,投资数量随意;⑥无摩擦市场;⑦投资者是价格的接受者。总结:所有投资者是一样的,市场是无效的。
26、市场有效性的三个层次
|
股价包含的信息 |
||
|
弱有效市场 |
全部历史信息,含价格、成交量等 |
技术分析无效,内幕信息可获益 |
|
半强有效市场 |
历史信息、全部公开信息,含历史价量信息、宏观经济形势、行业与公司信息 |
技术分析和基本分析均无效 内幕信息可获益 |
|
强有效市场 |
全部信息,含历史价量信息、全部公开信息及私人和内部信息 |
技术分析和基本分析均无效 内幕信息无法获益 |
27、交易成本
|
显性成本 |
不包含在交易价格以内的费用支出,一般可以准确计量,也可以事先确定,又称为直接成本或价外成本。包括经纪商佣金、税费、交易所规费/结算所规费等。 经纪商佣金:对于不同的投资者往往会采用不同的交易佣金率。 交易所规费:向投资者收取证券交易经手费、监管费和印花税。 过户费:支付给证券登记结算机构的费用 |
|
隐性成本 |
买卖价差;市场冲击;对冲费用;机会成本。 |
28、市场风险的种类和管理措施
|
种类 |
管理措施 |
|
政策风险;利率风险;购买力风险;汇率风险;其他(经济周期性波动风险、购买力风险) |
①密切关注宏观经济指标和趋势,提出应对策略。②密切关注行业和个股的基本面变化,分散非系统性风险。③关注投资组合的风险调整后收益。④加强对场外交易的监控。⑤加强对重大投资的监测。⑥运用定量风险模型和优化技术,分析各投资组合市场风险的来源和暴露。 |
29、股票基金的管理方法: ①通过分散投资降低个股投资的非系统性风险;②设置个股最高比例来控制个股风险,实现风险分散化。
30、持有期收益率=资产回报率+收入回报率 资产回报:股票、债券、房地产等资产价格的增加/减少 资产回报率=(期末资产价格-期初资产价格)/期初资产价格×100% 收入回报:分红、利息、租金等。收入回报率=期间收入/期初资产价格×100%