摘要:布鲁氏菌病作为严重危害人畜健康的传染性疾病,在我国一直没有得到很好的控制。流行病学调查是布病控制的重要措施之一。本文根据布鲁氏菌病的流行特点,分析了布鲁氏菌病流行病学调查中病例定义的准确性,不同流行病学调查目的的抽样策略,以及布鲁氏菌病流行病学调查中可能导致的偏倚,以期从布鲁氏菌病流行病学调查方面,为我国布鲁氏菌病防控提供技术支持和理论依据。
布鲁氏菌病(以下简称布病)是由布鲁氏菌引起的人兽共患传染病,牛、羊、猪对其易感,人也易感。动物患病后的主要临床症状为,生殖器官和胎膜发炎,母畜流产、不育,以及各种组织的局部病灶。布病被我国列为二类动物疫病,被世界动物卫生组织(OIE)列为须通报动物疫病。该病传染源主要是病畜的分泌物、排泄物、流产物及乳类。动物可通过接触污染物,经消化道、呼吸道、生殖系统黏膜及皮肤感染布鲁氏菌。我国畜间布病已流行多年,虽然每年疫病控制系统投入了大量的人力、财力,并出台了很多政策,但一直未得到很好的控制。本文通过探讨布病流行病学调查中的注意事项,从流行病学角度为我国布病控制提供依据。
病例定义
病例定义是指流行病学调查与监测中,用于判定被调查的流行病学单元(流行病学研究中的基本单位)是否“发病”的标准。它既可以以发病的临床特征,也可以将实验室诊断结果作为确定标准,还可以是多种标准的结合。它既是确定动物是否患病的一套标准,也是一切流行病学调查的基础。
病例分为个体水平和群体水平。个体水平上的病例可以是感染布鲁氏菌的动物,或感染后出现临床症状的动物,也可以是经实验室诊断确诊的动物。如进行布病流行率调查,可以设定以下一系列病例定义:(1)妊娠母畜从阴道流出恶臭分泌物,发生流产,产死胎或木乃伊胎,尤其是流产母畜为第1胎后的,流产后胎衣不下,有乳房炎症状,公畜出现*丸睾**或附睾肿大,有热痛反应,关节肿胀、疼痛,跛行等;(2)经细菌显微镜检查或者细菌培养分离确认;(3)经虎红平板凝集和试管凝集结合的垂直试验检测为阳性;(4)经iELISA或者cELISA检测为阳性。在作判断时,可以将上述第1条设定为对疑似病例的判定,辅助实验室诊断作为确诊的判定。值得注意的是,对于免疫群,实验室诊断的病例定义应选择免疫期在180d以上的动物,否则无法区分检出的阳性是免疫还是野毒感染产生的抗体,从而导致调查结果不准确。群体水平上的病例定义是指某动物群体内存在个体病例。如果需要了解某地羊布病群流行率而进行流行病学调查,就可以把1个养殖场、共用1个牧场的羊,甚至1个村看作1个群,只要群中有1只羊的个体水平病例定义判定为阳性,就判断该群为阳性。
病例定义还包括病例定义的敏感性和特异性两方面。敏感性是指目标群体中判定为阳性的动物数量占真实阳性动物数量的比例,而特异性是指目标群体中判定为阴性的动物数量占真实阴性动物数量的比例。在设计病例定义时,高敏感性的病例定义会增加布病阳性动物被准确判断的比例,但会包括很多其他疫病的病例,例如把有妊娠母畜流产、出现乳房炎症状、公畜*丸睾**或附睾肿大、关节肿胀,或者ELISA抗体检测阳性中,任何一条为阳性就判断为阳性作为布病病例定义;高度的特异性会提高非布病病例被准确判定的比例,但会排除真实病例。不同调查目的和调查时期的病例定义不同。例如在调查某地区布病流行情况时,可以将经虎红平板凝集试验检测为阳性的定义为疑似病例,疑似病例经ELISA或者PCR检测为阳性的,定义为确诊病例;或者开展暴发调查时,为防止疫情扩散,尽量提高病例定义的敏感性,如设计为有流产现象、*丸睾**炎症状、关节炎症状,或者经过虎红平板试验检测为阳性的动物,只要符合以上任何一点,就规定为阳性动物,从而保证每个阳性病例不会被漏算。当以扑杀补偿为目的时,尽量选择高特异性的病例定义,如经血清学诊断以及细菌培养均为阳性的动物作为确诊标准,以避免误杀而导致经济损失;在进行净化场或者无疫区认证时,初期流行率高,要选择高敏感性的病例定义,尽量淘汰阳性畜;末期要选择特异性高的病例定义,保证阴性病例都是非布病病例。
流行病学调查抽样
为了调查所需的信息,抽样是不可缺少的手段和步骤。根据调查目的不同,布病的流行病学调查主要分为估计流行率调查、无疫证明和暴发调查。
估计流行率的抽样
布病流行病学调查的一个最常见目的是调查某地区的布病流行情况,根据调查结果来制定相应的防治措施。这种情况就会涉及估计行率的抽样,而最基本的方法为简单随机抽样。抽样的原则是将被调查动物看作1个群体并编号,用随机数字发生器产生随机数字,然后抽取对应数字的动物。这种方式对于存栏较少的场群,比如1个场或者1个村,操作性很强。对于多个场的抽样,要采用多阶段抽样,即先随机抽场,再从被抽到的场内随机抽动物。对于1个省或者1个市的调查,由于区域广,被调查区域情况差别大,可以将被调查的区域先分割为市或者县的亚区域,对每1个区域再按照上边的方法来进行抽样。
如果被调查目标群很大(无限群),样本量的计算公式为:

其中p为被调查地区的预期流行率,z为调查置信度,e为可接受误差。
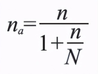
如果目标群较小,则要通过矫正公式确定需要抽取的样本量:

其中n为无限群抽样数量,N为抽样目标群个体数。
发现疫病或者证明无疫的抽样
发现疫病或者证明无疫也是流行病学调查的一个重要方面,其抽样的目的是确定某个地区的动物是否被感染。抽样时,如果研究群体很小,可以使用普查或者简单随机抽样方法;如果目标群很大,则可使用多阶段抽样,先抽场,再抽场内动物。
简单随机抽样或者多阶段抽样的场内动物样本量计算公式为:

其中n为抽样个数,CL为置信水平,D为群内个体数与预定流行率的乘积,即群中的阳性动物数,N为群内个体数,Se为检测方法的敏感性。
发现疫病或者证明无疫的抽样还可以选择以风险为基础的抽样。该抽样方式判定依据是只要检测出1头阳性动物,就可以确定发现疫病或者*翻推**无疫状态,所以这类抽样应该有意识地抽取更可能感染或感染时更容易产生阳性检测结果的抽样单元。这种样本量计算具有一定的灵活性,可以通过调整样本中不同风险群所占比例来调整样本量,从而达到节省资源的目的,但这种方式的抽样数量会低于代表性抽样的抽样数量。例如临床上有疑似症状的个体阳性检出概率很大,抽样时就应该故意选择近期发生流产的,有*丸睾**炎或者关节炎症状的家畜进行抽样,也可根据不同畜群感染布病的风险不同,尽量选择感染风险高的群体来进行抽样,例如使用公共牧场或者水源的畜群、未免疫的畜群、流产物随意处理的场户、近期有家畜调运或者交易的场户等。此外有历史病例,或者附近有人间布病病例的场群,也是容易发现阳性病例的地点。
暴发调查的抽样
为了确定暴发存在,布病暴发调查的抽样首先应该是疫点的抽样。抽样时根据暴发调查的病例定义进行有目标的抽样,通常采用发现疫病的抽样策略,条件允许的情况下,也可以进行针对疫点的全群抽样,这样做可以评估疫点动物的抗感染能力。在疫情确定之后,由于需要对疫情进一步调查,这时对疫区的抽样可以分为已进行布病免疫和未进行布病免疫两种情况。在已进行布病免疫的地区,抽样策略应采用测定流行率方式(此时的P值应为被调查地区的抗体合格率),目的是了解抗体水平,评估疫情扩散的可能。在未进行免疫的地区,应采用发现疫病的抽样策略,这样可以对调查区域内的动物状态进行调查,从而评估疫情形势。此外,布病的暴发调查还应结合疫点的现场信息进行追根溯源,开展有目的的采样,这样也可以更好地掌握疫情动态,从而达到控制目的。对于已经进行过布病免疫,且免疫期在6个月以上的群体,可用发现疫病的策略进行抽样。
偏倚控制
偏倚是在流行病学调查过程中,由于设计、操作或者条件因素的影响,导致调查结果和真实情况之间出现的误差。
布病流行病学调查中,最常见的偏倚是在对某布病净化区进行以发现布病为目的的调查中,如果选择了该地区生物安全较好的规模场进行抽样,忽略了规模小、生物安全条件差的小场或者散养户,或者抽样时避开了近期有流产或者*丸睾**炎的动物,就会导致未发现本来存在的疫病,造成结果不准确,这种偏倚称为检出症候偏倚。其次,在对某地区布病流行率调查中,如果抽样时没有遵照随机原则,而是刻意抽取了有临床症状,或者生物安全较低场户的动物,或者选择了生物安全水平高的场户,就会导致测得的流行率无法反映实际情况,造成入院率偏倚。还有一种布病流行病学调查中常见的偏倚,是测量偏倚。这种情况可发生在布病抽样后的血清学检测过程中。由于试验操作人员技术水平有差异,尤其是试管凝集试验判定时,样品与比浊管的对比受观测者主观因素影响较大,会出现系统误差,从而造成测量偏倚。
结语
自21世纪以来,我国人间和畜间布病疫情不断发生,这在一定程度上与对当前布病疫情形势认识不清、摸底不足有关。为更好地了解现阶段我国布病形势,布病流行病学调查工作是必不可少的。本文关注的是布病流行病学调查中的一些关键步骤,分析了病例定义、抽样方式和偏倚控制这3个会导致布病流行病学调查结果不理想的关键因素,以期为我国布病流行病学调查提供技术支持和帮助。