下面搜集了各科的一些考前注意事项
以及可以快速复习的基础知识点
记得也要花时间看看哦~
政治
01 选择题
①多背时政
②做题素养和习惯尽全力调整
02 分析题
①尽力背熟肖四分析题内容,理解的基础上多重复,把逻辑和关键词搞清楚;
②没见过的题目结合材料去整合
英语
01 单词
重点回顾高频单词的考义和短语
搭配
02 阅读
重点回顾阅读解题技巧, 不要尝试通读全文 !
①先简单浏览文章和题目,标记段落;
②看题干,画出重点信息(比如专有名词);
③拿着题干信息回原文定位处找答案,通过原词复现、同义替换等手段选出正确选项
④如果无法精准定位到某一句话,用排除法,带入选项去对比、推断。
【阅读各题型注意】
细节题 :有多处定位,先从最后一处开始找答案;
例证题 :定位到论据,则从段首处的论点中找答案;
主旨题 :先通过前4个题干判断是否能得出文章主旨,再回原文第一段或最后一段寻找关键信息;
态度题 :首先排除“冷漠、不确定、容忍、轻蔑、过于肯定或否定”的态度。
03 新题型
不管英语一还是英语二,新题型都不需要通读全文 。
英语一:有排序题、小标题、填空式阅读,主要 考察衔接 ;
英语二:有小标题、信息匹配题,主要考查 信息匹配 ;
①给段落标序号
②题干信息回原文定位(基本坚持题文同序原则),并且标注题号,注意可以多次出现,可以以指代形式出现
③粗略浏览选项,圈定可能的关键词
④逐个浏览41-45定位位置原文,通过原词复现匹配选项。
04 翻译
重点掌握翻译原则和技巧,记住考场上翻译只有10分钟,用“顺译法”,即按照原文顺序一字一句,尽可能多的翻译出原文信息;碰到定语/状语从句,of/about介词短语,需调整译文顺序。
05 写作
重点复习大、小作文行文结构及常用表达。
①小作文:主要有建议信、推荐信、道歉信、投诉信、邀请信、咨询信等;书信作文要格外注意格式,开篇称呼顶格写,结尾致词及写信人名字向右对齐;内容上写清写信目的、主要表达的内容、表示期待收到回复。
②大作文:英语一为图画作文,英语二为图表作文。图画/图表类作文描述图画或图表、阐明寓意、给出个人建议或评价。
③注意文章段落之间、句子之间的逻辑关系,习惯使用连接词,使行文更紧凑。
高数
01 常用等价无穷小

02 求导法则和求导公式

03 泰勒公式

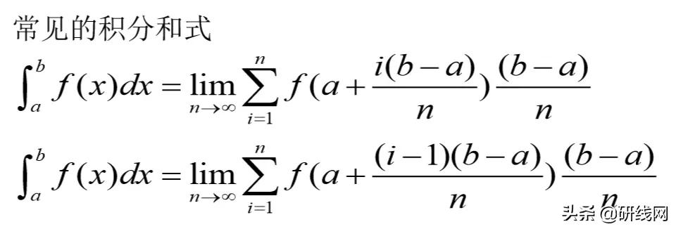
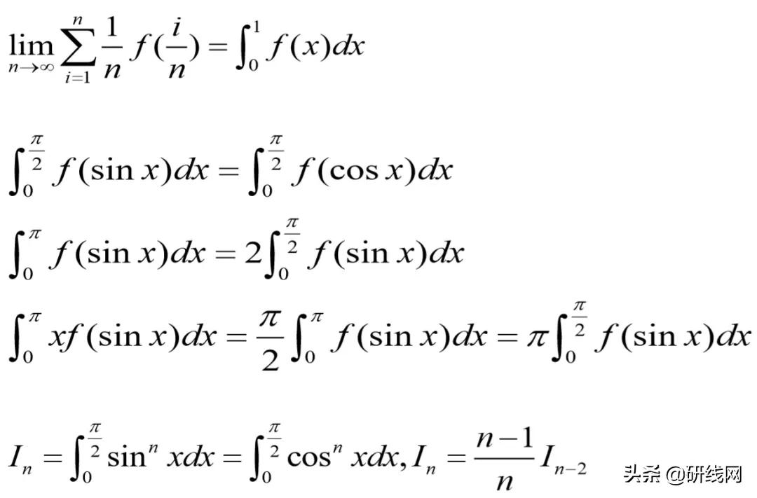
04 常见积分和式


05 常数项级数敛散性判定

06 级数求收敛域、求和、求展开式

07 几个重要级数

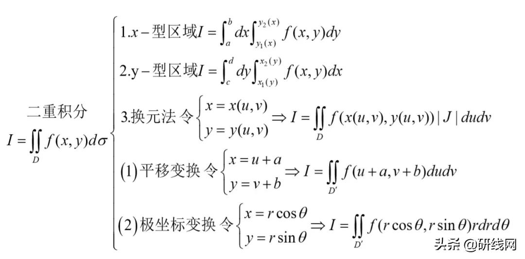
08 二重积分

线代
01 行列式


02 分块矩阵

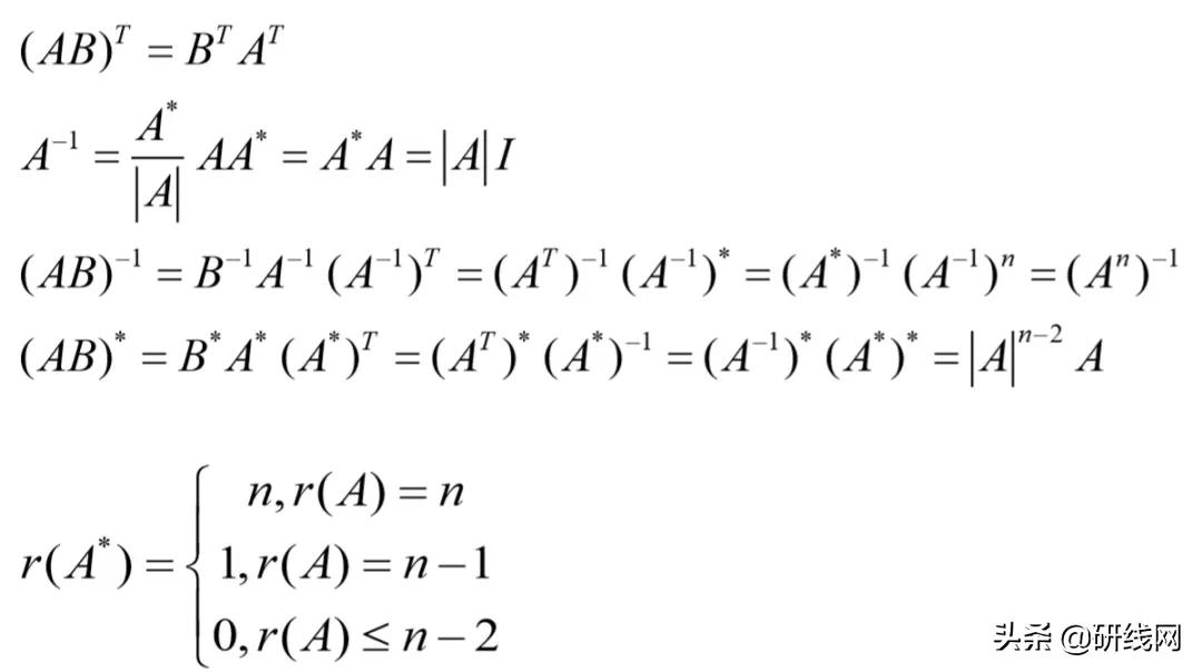
03 矩阵的运算

04 矩阵的秩

05 齐次方程组Ax=0

06 非齐次方程组Ax=b

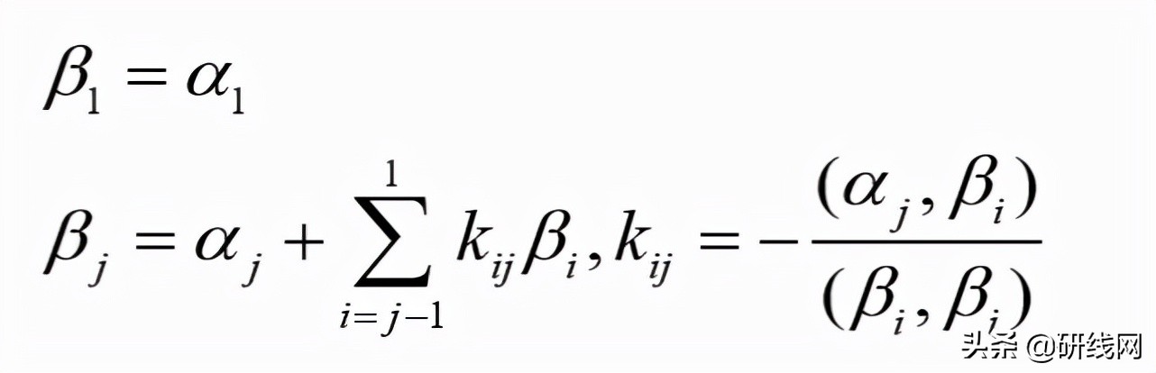
07 施密特正交化

08 特征值和特征向量的性质

概率
01 概率计算六大公式


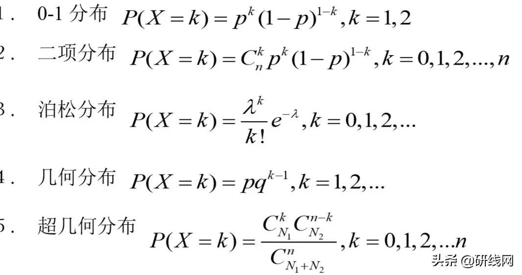
02 常见的离散型概率分布

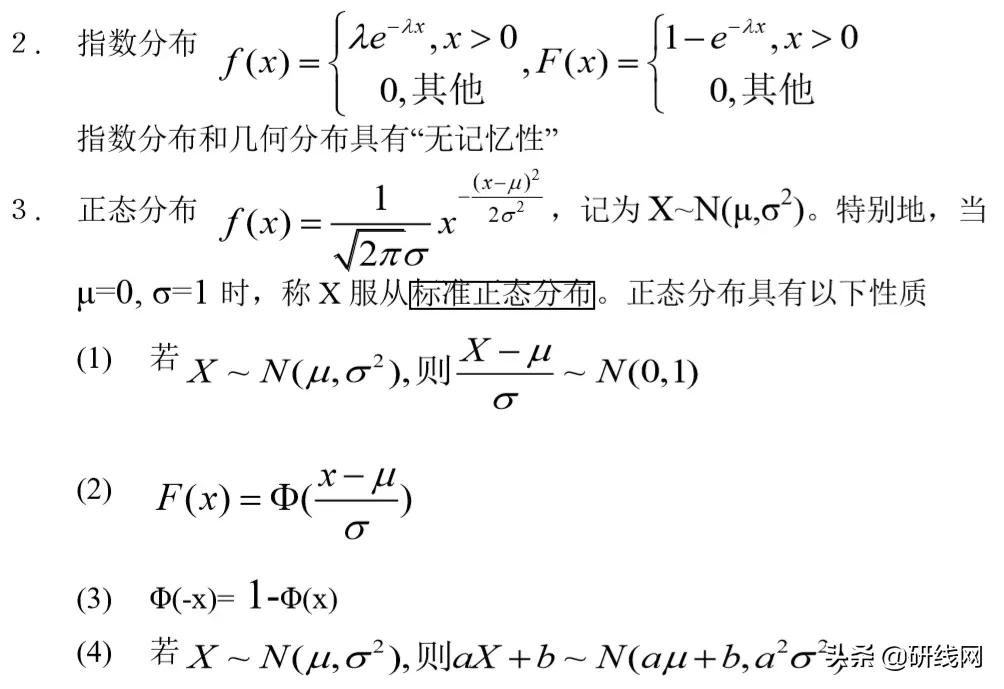
03 常见的连续型概率分布


04 二维随机变量的联合分布

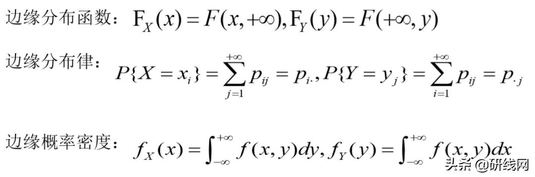
05 二维随机变量的边缘分布

06 二维随机变量的条件分布

07 数学期望

08 方差

09 协方差


10 最大似然估计
