身边很多朋友问我:每次买房都被销售算晕了,也不知道怎么算?也不清楚他们算的对不对?有没有计算房贷月供的简便公式?
有的!

房贷问题
我们按照房贷的还款方式来一一说明,首先,房贷的还款方式主要有两种:等额本金和等额本息。
所谓等额本息就是将借款人的本金和产生的总利息相加,然后平均分摊到每一个还款月中,借款人每月的月供是相同的,不同的是,还款前期*款贷**利息在月供中的占比较大,本金较少,随着用户每月还款,月供中的利息占比会越来越少,本金占比会越来越多。
等额本金就是指借款人每月还款的本金是相同的,但还款利息不同,还款初期欠款本金较多,所以产生的利息会多一些,每月月供也较高一些,随着用户的还款,每月还款本金不变,但还款利息会随*款贷**本金的减少而减少。

房屋*款贷**问题
1、等额本金还款方式
等额本金还款的计算公式,虽然比不算利息的要难一点,但毕竟是读过小学的,所以小编还是能够理解的。
等额本金是指,是在还款期内把*款贷**数总额等分,每月偿还同等数额的本金和剩余*款贷**在该月所产生的利息。
还是以买100万的房子为例,首付3成,*款贷**70万,还款期限为25年,那么每月月供额,就是本金和利息之和。
本金不变,每月还本金2333.33元;
利息是未还本金一个月所产生的利息。
假如按基准利率4.9%计算,月利息就是0.4083%,第一个月利息是2858.33元,第二个月未还本金的利息就是70万减掉2333.33元后的利息,是2848.81元……
细心的朋友想必已经发现了,每月月供的差额是固定的,就是2333.33元乘0.4083%,约等于9.52元。
2、等额本息还款方式
等额本息是在还款期内,每月偿还同等数额的*款贷**(包括本金和利息)。
这种方式还款看起来简便,毕竟每月还款固定金额,前期还款压力相对等额本金来说也较小。
但是!它的月供计算复杂呀!因为等额本息的房贷计算方式是按复利计算的。
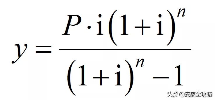
假设*款贷**金额是P,月供是y,还款月份数是n,月利率是r。
那么第一个月的利息就是y(1+r),第二个月的利息就是y(1+r)2,以此类推,第n个月的利息就是y(1+r)n。
最后,等额本息的月供计算公式,就变成了下面这个“庞然怪物”,不管你看没看懂,反正我呀,是没懂啦!

房贷利息怎么算?
y:表示月供,是月字的首个拼音字母;
P:表示本金,假如你*款贷**100万,25年,P就是1,000,000;
i:表示月息,假如你商业*款贷**基准(4.9%)上浮10%,i=4.9×(1+10%)÷12=0.449167;
n:表示月供的期数,假如你*款贷**25年,一年12个月,月供期数就是300。
详细推导过程如下:
我们假设S表示本金利息和(即本息),P表示本金,y代表按揭者每月要偿还的等额月供,那么根据复利公式,银行要获得的本息为:
S=P×(1+i)n
借款人每月要偿还的等额月供也要计息,每个月产生的月供及月供的复利利息为:
第1个月y×(1+i)n-1
第2个月y×(1+i)n—2
第3个月y×(1+i)n--3
第4个月y×(1+i)n--4
…
第n个月y×(1+i)0=y
这些月供、利息和也要等于银行的本息S
S= y×(1+i)n-1 + y×(1+i)n—2 + y×(1+i)n—3 +…+ y×(1+i)2 + y×(1+i)+ y
=

房贷计算公式
= P×(1+i)n
以上就是详细推导过程。
下面公布万能公式!
如果是9折基准利率,月供=*款贷**总额/200
如果是基准利率 ,月供=*款贷**总额/190
如果是1.1倍基准利率,月供=*款贷**总额/180
如果是1.2倍基准利率,月供=*款贷**总额/170
月供计算实例:
比如说利率上浮10%,*款贷**30年等额本息,月供就是100万除以180,每月还款5555.56元。
当然,如果你实在是不愿意算,还可以借助房贷计算器。
我国的房贷利率并不是固定不变的,而是经常变动的,房贷利率会随着楼市政策、各商业银行的自身条件进行调整,这个调整是参照央行公布的基准利率来进行调整的,另外借款人的个人资质也会影响到*款贷**利率,所以不同银行、不同借款人的房贷利率会有所不同,大部分地区的房贷利率都有上浮10%左右,具体*款贷**利率以实际利率为准。
当*款贷**人签订房贷合同时,如果房贷利率上浮10%,那么后期各银行的*款贷**利率无论怎么调整,借款人都要按照合同上的利率来执行,除非我国央行基准利率发生变化,已经办理*款贷**的房贷利率才可能跟着变化。