对于复杂问题和现象行为的研究,尤其是他们之间还有复杂的交互影响(complex interplay)的时候,网络分析(备用名:psychological networks, network analysis or network psychometrics)是个备选的好方法,这个方法火了也没几年,感兴趣的同学可以去学学,而且,如果你再能把网络图做的美点,应该各个审稿人都愿意看的。今天尝试给大家做个网络分析的简单介绍。
举个例子,像physiological, psychological, social and environmental factors等等如何影响肥胖,很复杂,做个多元回归?做个结构方程模型?这些都缺乏系统性的视角,从整体上把握肥胖的影响因素之间的关系,找最重要的干预靶点推荐用网络分析。
像健康,行为,心理,认知功能等等,反正就是复杂系统的分析,想不到课题了,就可以考虑在方法上上网络分析
From a network perspective, health behaviours and outcomes can be conceptualised as emergent phenomena from a system of reciprocal interactions: network analysis offers a powerful methodological approach to investigate the complex patterns of such relationships.
比如一个文章,研究自杀的,原文贴在下面:
Bloch-Elkouby, S., Gorman, B., Schuck, A., Barzilay, S., Calati, R., Cohen, L. J., Begum, F., & Galynker, I. (2020). The suicide crisis syndrome: A network analysis. Journal of Counseling Psychology, 67(5), 595–607.
通过网络分析作者就回答了三个问题:一是自杀崩溃综合征中不同症状的关系是什么?二是这些症状有没有哪几个格外重要?三是这些症状有没有一些聚集性?三个问题每一个都很有价值,一个网络分析全给你解决了,感兴趣的同学*载下**去读读。
还有一个点很重要,网络分析可以帮助你识别复杂系统的干预点,这个其实是很有临床价值的
network analyses allow for the computation of centrality indices that provide information about the symptoms that are the most connected to the other symptoms included in the network and whose potential causal contribution to the other symptoms may thus deserve further investigation
如果你是搞人文社科的,由于其是一个针对复杂人文系统的作用关系,网络分析也是最容易帮助你提出原创理论假设的一项重要技术支撑。总体的意思就是想推动0到1的科研,这个方法必须要学。
网络分析基础
一个最简单的网络,像这样

有好些点叫做node,这些点被线连起来的,线叫做edge。
在网络图中点表示的是变量,线表示的是变量关系,注意这个线是没有箭头的(一般是偏相关系数),正向系数是绿线,负值系数是红线,线的粗细反应关系的强度,越粗越强。通过这么一个网络图,对于多变量间的复杂关系就可以有一个一目了然的呈现。
Psychological networks consist of nodes representing observed variables, connected by edges representing statistical relationships. This methodology has gained substantial footing and has been used in various different fields of psychology, such as clinical psychology, psychiatry, personality research, social psychology , and quality of life research
成图的基本步骤如下

首先得有数据间的统计模型,模型系数作为edge的权重,然后成图,然后评估模型。
具体来讲可以选择的统计模型多了: correlations, covariances, partial correlations, regression coefficients, odds ratios, factor loadings,一般我们都是选用偏相关系数作为边的权重。节点固定的情况下,网络可以画的很密的,为了增加interpretability and generalizability和网络的稳定性,需要用一些正则通常是LASSO来简化网络,就是把哪些意义不大的边搞掉,使得网络图更加的简洁好解释。成图之后就是评估模型了,主要的分析有两个edge stability analysis和centrality indices,以下简单介绍:
edge stability analysis
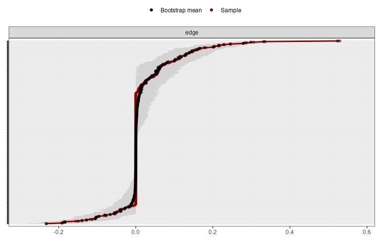
本身来讲网络分析就是比较复杂的,网络的随机性相对于别的分析就要大一些,而且本身来讲我们的科研逻辑就是用样本反映总体,如果你做出来的网络不稳定你能说你发现的比如肥胖比如自杀的网络是可信的?所以做完网络分析之后我们对于网络的稳健性我们是一定要报告的,逻辑就是进行反复的bootstrap抽样,反复的重新估计模型,反复的重新计算confidence intervals (e.g. 95% CI) for their edge estimates看看这些模型的差异从而评估模型的稳健性,通过edge stability analysis我们可以得到网络各个边的权重的置信区间,区间越窄,说明网络越稳定。做edge stability analysis的示例代码如下:
resboot1 <- bootnet(Data, default = c("EBICglasso"), tuning=.5,corMethod="cor_auto",
nBoots = 1000, nCores = 8, type = c("nonparametric"))
通常这一部分论文中也会以图的形式报告出来。
centrality indices
在网络分析中每个节点的重要性是不一样的,是不是存在某些节点相对于另外的节点更重要?对节点重要性的评估的指标就是centrality indices,这个指标又包含3个指数strength, closeness, and betweenness,三个指标的意思见下面:
strength, which shows how well a node is directly connected to other nodes, closeness, which shows how well a node is indirectly connected to other nodes, and betweenness, which quantifies the number of times a node acts as a bridge along the shortest path between two other nodes
简单的逻辑就是如果图中的一个点和另外的点连线多越强,那么这个点就重要,这个点也越应该放在图的中心;如果一个点和其他点的间接距离越近那么这个点越容易受到网络变动的影响;如果一个点平均来看总是在两两关系中起桥接作用,那么这个点对整个网络的构成就意义极大。
通常只报告strength就可以,因为其他两个指数都不太稳定。
实例操练
我们今天依照一篇2022年发表在American Journal of Public Health Research上的研究为参照进行做法复现,文章的名字叫Partial Relationships between Health and Fitness Measures in Adults: A Network Analysis
结果中作者报告了变量的两两相关的相关系数矩阵还有模型的network edge weights,见下表:

作者报告了网络图还有模型的centrality indices,都是以图的形式呈现的,见下图:

还有Bootstrapped edge weight estimates,也是一个图:

那么我们今天就来看下,这个论文的图如何用自己的数据复现出来。
比如我现在有数据如下,有2800个观测,26个变量,最后一个变量是性别,其余的25个变量是5个5条目的量表:

首先我要做的是拟合网络模型,拟合网络模型用到的核心函数是estimateNetwork,通常我们只用设置data和default参数便可以运行,我们要通过lasso来简化网络的话就设置default = "EBICglasso",将拟合好的网络模型对象喂给plot即可以出网络图。

比如我要对男性观测拟合网络模型,可以写出代码如下:
network_male <- estimateNetwork(df %>%
filter(gender == "Male") %>%
select(-gender),
default = "EBICglasso",
corMethod = "spearman")
运行完毕后,直接将模型对象喂给plot即可出图:

到这儿就基本算是完成了,但是要发表的话还是有点粗糙的,其实我们的数据中不同的字母(变量名)代表的是不同的量表,其实更好的方法是将各个量表的条目放一起,并且给出图例,使得其一目了然,所以接下来我们得对图形做一些调整。
比如我要对节点的整体布局做一个调整并且加上每个量表的图例,我就可以在代码中加上group参数,指明每个节点都是来自哪个量表的:

这样其实就好看多了,当然如果需要更细的图例,比如我想知道每个节点到底啥意思,我还可以用 nodeNames参数加上节点的图例:

这样就更好了,赞。
但是我们注意American Journal of Public Health Research上的这篇研究是给边加了标签的,我们要出这样的效果的话只需要设定edge.labels为真就可以了,因为节点比较多,加上标签其实效果就不太好了:

我们接着再看作者的另外的两个图的做法,一个是centrality indices的图,我们只需要将模型对象喂给centralityPlot即可出图:

另一个是边的权重估计的图,只需要将模型对象喂给bootnet,并且plot就可出来:

可以看到我们的图的效果其实是比原文好的。
到这儿,原文中所有的结果都给大家复现完了。
网络分析的协变量控制
本身来讲网络分析的输入数据其实是相关矩阵,这个时候我们想控制协变量比如年龄、性别、民族等等,可行的方法就是做回归取残差,以残差的相关矩阵作为模型的输入,同样的思想可以在结构方程中使用,比如你做个交叉滞后想控制协变量就可以用这个方法哈,中英文的发表文献引用证据都各给大家贴一个,做法上也都很好实现的:


小结
今天给大家写了网络分析的做法,其实还有一块就是网络分析的对比,解决的问题是几个网络是不是不一样,或者同一个网络的某两个边是不是不一样,这个以后有机会给大家写。
感谢大家耐心看完,自己的文章都写的很细,重要代码都在原文中,希望大家都可以自己做一做,请转发本文到朋友圈后私信回复“数据链接”获取所有数据和本人收集的学习资料。如果对您有用请先记得收藏,再点赞分享。
也欢迎大家的意见和建议,大家想了解什么统计方法都可以在文章下留言,说不定我看见了就会给你写教程哦,有疑问欢迎私信,有合作意向请直接滴滴我。
如果你是一个大学本科生或研究生,如果你正在因为你的统计作业、数据分析、模型构建,科研统计设计等发愁,如果你在使用SPSS, R,Mplus中遇到任何问题,都可以联系我。因为我可以给您提供最好的,最详细和耐心的数据分析服务。
如果你对Z检验,t检验,方差分析,多元方差分析,回归,卡方检验,相关,多水平模型,结构方程模型,中介调节,量表信效度等等统计技巧有任何问题,请私信我,获取详细和耐心的指导。
如果你或你的团队需要专业的科研数据清洗,建模服务,教学培训需求等等。请联系我。
If you are a student and you are worried about you statistical #Assignments, #Data #Analysis, #Thesis, #Reports, #Composing, #Quizzes, Exams.. And if you are facing problem in #SPSS, #R-Programming, #Excel, Mplus, then contact me. Because I could provide you the best services for your Data Analysis.
Are you confused with statistical Techniques like z-test, t-test, ANOVA, MANOVA, Regression, Logistic Regression, Chi-Square, Correlation, Association, SEM, multilevel model, mediation and moderation etc. for your Data Analysis...??
Then Contact Me. I will solve your Problem...
If You or Your Research Team Need Professional Scientific Data Cleaning, Model Building Services or Statistical Consulting... Please Contact Me.
往期精彩
R数据分析:用R建立预测模型
R数据分析:再写stargazer包,如何输出漂亮的表格
R数据分析:贝叶斯定理的R语言模拟
R数据分析:ROC曲线与模型评价实例
R数据分析:用R语言做潜类别分析LCA
R数据分析:什么是人群归因分数Population Attributable Fraction
R数据分析:样本量计算的底层逻辑与实操,pwr包
R数据分析:临床预测模型的样本量探讨及R实现
R数据分析:如何用R做验证性因子分析及画图,实例操练
R数据分析:有调节的中介
R文本挖掘:中文文本聚类
R文本挖掘:中文词云生成,以2021新年贺词为例
R数据分析:多分类逻辑回归
R数据分析:如何做数据的非线性关系,多项式回归的做法和解释
R数据分析:跟随top期刊手把手教你做一个临床预测模型
R数据分析:二分类因变量的混合效应,多水平logistics模型介绍
R机器学习:分类算法之logistics回归分类器的原理和实现
R数据分析:变量间的非线性关系,多项式,样条回归和可加模型
R数据分析:PLS结构方程模型介绍,论文报告方法和实际操作
R数据分析:如何给结构方程画路径图,tidySEM包详解
R数据分析:纵向数据如何做中介,交叉滞后中介模型介绍
R数据分析:临床预测模型实操,校准曲线和DCA曲线做法示例
R数据分析:结合APA格式作图*法大**讲讲ggplot2和ggsci,请收藏
R数据分析:嵌套数据分析为什么要用加随机效应?终于解释清楚了
R数据分析:Lasso回归筛选变量构建Cox模型并绘制列线图