
梧桐郡 楼盘评分
1、价格:90分
6000元/㎡上下的倒挂,在如今的市场上已经不多见,从前几次开盘的中签率和销售情况就能看得出来其热度。对于城西的客户来说,这个价格不论是刚需还是改善,都称得上友好,再加上绿城品牌加持,性价比很高。
2、交通:83分
最大的亮点是在建中的地铁3号线,通车后梧桐郡将成为正宗地铁盘,也将大大缓解购房者在城西出行时,拥堵的道路情况所带来的压力。
3、配套:86分
翡翠城比较成熟的底商+七分钟步行的西溪欢乐城+十分钟车程的西溪印象城,光从已交付的商业配套看,已经强于很多楼盘,后续周边规划也还不错。
4、户型:90分
这次推出的户型偏改善,得房率基本在80%以上,118㎡也设置成了四房两厅两卫,性价比很高了。对改善客户而言,这个盘一定会选到合适自己的房源。

梧桐郡
1
价格直击
▽上下滑动查看▽
1幢一房一价

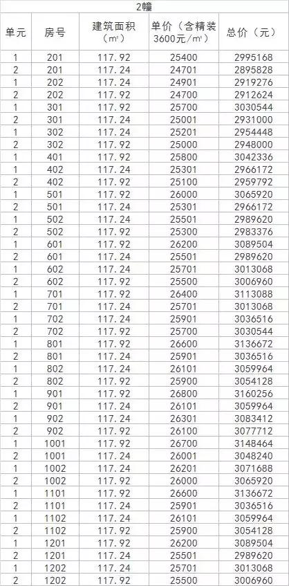
2幢一房一价

3幢一房一价

4幢一房一价

5幢一房一价

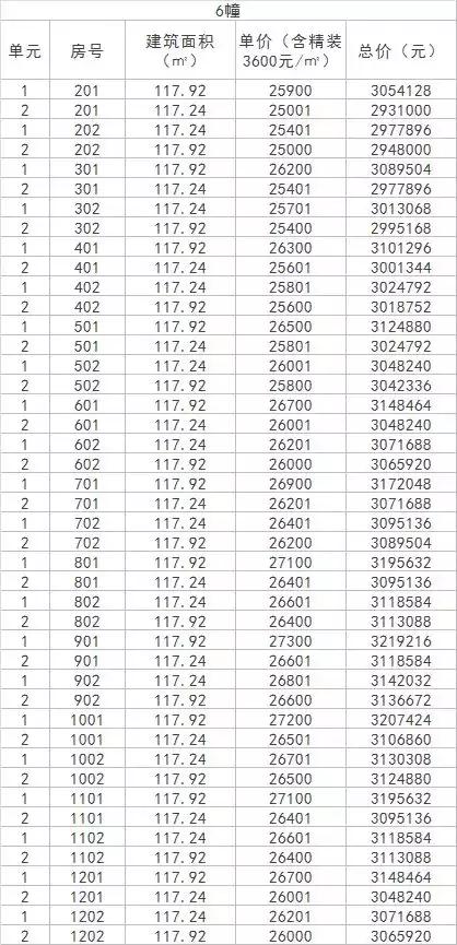
6幢一房一价

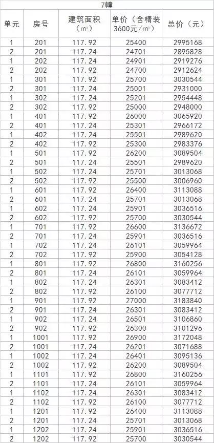
7幢一房一价

8幢一房一价

9幢一房一价




注:
一、以上数据均来源于钱江晚报购房宝、透明售房网,统计为近月来新房、二手房均价、待售楼盘楼面价;
二、在不同成交时期,成交的物业类型(别墅、排屋、公寓等)、精装与否、户型大小、楼层与楼幢位置的不同会造成价格变动;
三、有些二手房源为了减少税费,会稍微压低成交单价;而有些二手房为了增加银行*款贷**,也有可能稍微做高单价,具体房源信息建议去实地看看。
现场优惠情况

2
配套体验
- 交通:
目前正在建设中的地铁3号线,其高教路站就位于高教路和五常大道交叉口,距离梧桐郡仅200多米,预计2021年12月通车,也就是在该组团交付时就将是通车状态。而这最大的意义就在于,升级梧桐郡以及整个翡翠城的交通配套级别。

眼下,在公共交通方面,该项目周边的公交线路是不少的,记者乘坐586路公交车从武林小广场到项目附近,车程仅花了40分钟,但是这是一条每天只有四班发车的公交线路。

而剩下的公交线路中,即使是快速公交,从梧桐郡到武林门一带基本也要70~80分钟。如果是自驾出行,熟悉路况的人都知道,早晚高峰的天目山路是杭城一向来比较拥堵的几条主干道之一,尽管路程不算特别远,但是花费在路上的时间不会少。
- 教育:
已经交付使用的杭州绿城育华翡翠城学校,是一所从小学到初中的九年制的民办学校,与梧桐郡仅一墙之隔,对于考虑民办学校的业主,这会是一个理想的选择。公办的校区,最大可能会是闲林中心小学和睦校区,但这要等到楼盘交付后才能确定。而在小区内部,开发商将会配建一个绿城育华翡翠城幼儿园,这点加分不少。

- 医疗:
目前来看,该项目医疗资源相对一般,最近的是位于留和路上的西溪医院,车程在10分钟左右。但是接下去,浙一医院余杭分院已经在建,距离该楼盘约10~15分钟车程,并且在地铁3号线沿线,还算方便。

社区卫生服务中心
- 商业:
由于翡翠城是一个已经交付使用好几年的大盘了,因此翡翠城外围的社区底商已经十分成熟,除了常规的餐饮店、小超市之外,宠物店、美容店、理发店、干洗店等一应俱全。
而在梧桐郡的西南面不远处就是西溪欢乐城,步行不到10分钟就可以抵达,如果华丰路全部通车时间将更短。

在这座综合体里,物美超市和影院以及其它一些餐饮,已经基本可以满足日常生活所需,再加上车程在10分钟左右的西溪印象城,可以进一步地提升业主的生活、商业配套。
- 环境:
梧桐郡位于西溪湿地以西约两公里,有时间的业主是可以考虑步行到西溪湿地去散散步的,这也可以算是该楼盘的一个生活配套。
从翡翠城已交付的部分来看,小区内部的绿化等都做得不错,但是,因为周边工地较多并且项目距离留下高速出入口不远,来往大车频繁,扬起的灰尘很大。而且楼盘就在主干道旁,靠近马路的房源难免会有一些噪音。

3
户型解读
因户型差异不大,这次主要讲三个主力户型。
118㎡左右户型

销售在和我说这个户型的时候,说的是4房,目前市面上,这个面积段做成4房的很少。尔后,销售说,北向的阳台和设备平台届时会进行微调,到时候反正是精装交付。
在我的理解,应该就是所谓的改造。如果不收改造费,那这个利用率会很高。
即使是“3+1”:三个卧室加一个储藏室,也足以看见得房率之高,不过,其中一个卧室的尺度会相对小些。但对三口之家来说,这样的升级版90㎡对刚需来说,也是个不错选择。
130㎡左右、140㎡左右户型

这张图上涵盖了两个户型,130㎡左右为中间套,140㎡左右为边套。
两个户型整体格局差距不大,主要在于尺度。按照销售的说法,这次推出的户型,基本可以参考上一期推出的木槿苑。
从上一期的135㎡和143㎡户型对比来看,主要差别在于餐客厅一块的尺度,143㎡的户型厨房更大,整体看起来更阔绰。另外,边套的优势在于采光以及通透性,平时喜欢开窗,厕所一定要明卫的,选择143㎡。总体来说,两个户型区别不是很大,主要在于承价能力。
170㎡以上户型
这批户型占比不大,优势在于南向有三个卧室,尺度更大,价格更高,属于纯改善户型。
4
选房引导
购房初选择
在现场,我发现很多是老业主再购类型,也就是之前买过翡翠城的这批业主,因为老人方便照顾或其它因素,选择再周边再买套。
对于首次置业的购房者来说,这批房源显然是有门槛的。
以2幢1单元601室为例,总价309万元,首付三成,93万元,如果以*款贷**200万元为例,每月还款额达到1.2万元,对于普通的首次置业客户来讲,还是压力不小的。
但因为透明售房网上显示,其得到率接近82%,个人认为性价比还是挺高的。手头预算不多的可选择这个“最小”户型。

梧桐郡现状
不同人群的购房建议
- 刚需:
这个楼盘属于偏改善型,但总体而言,属于刚需客户能够攀得上的。如果手头资金很有限,又想有高品质物业保障,梧桐郡是个不错选择。因为118㎡户型集中在2、6、7号楼,都是12层的小高层,中间套和边套都是这个户型,因此,首选3-6楼边套,如果真的拿不出那么多钱,那可以从中间套118㎡低楼层开始选。
- 改善:
这次推出的户型基本属于改善面。但也可分为:初级改善和终极改善。初级改善基本可以选择118~130㎡,而终极改善,因家庭个人差异性而定,可以选择140~180㎡。
总体而言,得房率差异不大,反而是140㎡的得房率稍低些,但基本都在80%以上。
如果家里还没有孩子的小两口,建议选择130㎡来改善;如果有小孩,并准备二孩的,可以直接选择140㎡或者以上,前提是资金充裕。
- 投资:
梧桐郡是翡翠城的四期,目前,翡翠城这个大盘已经非常成熟,入住率也颇高。而翡翠城二手房现在基本都在3万元/㎡左右,这次推出的房源均价在2.6万元/㎡左右,有倒挂,但并不足以让你花上百元的钱来投资。即使是投资,我个人建议也是带自住概念的,毕竟这种大户型房源拿来做投资,有些可惜,而且未来出手也相对比较难。
如果真的要选,肯定是118㎡的户型,楼层低些也无妨。
5
楼盘名片
- 地块情况:
案名:梧桐郡(备案名翡翠城茹蕙苑,属于翡翠城其中一大组团)
开发商:绿城
项目位置:五常大道、高教路交汇处(西溪湿地以西2公里),独立于目前已经交付的翡翠城西南区、东北区
目前销售均价:26162元/㎡
车位售价:参考梧桐郡上一期开盘为21.8万元,预计出入不会太大

- 产品情况:
项目规划:翡翠城全盘总户数规划约8500户
建筑类别:高层、小高层
交房时间:2022年6月
小区物业:绿城物业
物业费:2.5元/㎡·月(参考翡翠城西南区高层公寓)
容积率:1.3(翡翠城全盘)
绿化率:40%
车位配比:1:1
得房率:80%左右
楼间距:40~60米
外立面:铝板、涂料、玻璃幕墙(和已交付的翡翠城外立面完全为不同风格,建议实地看看)

- 本期摇号信息:
摇号房源:1~9幢(本期开盘为梧桐郡第二期房源)
套数及价格:468套,均价26194元/㎡,含精装修标准3600元/㎡
117~118㎡131套,124~130㎡121套,135~137㎡25套,139~141㎡128套,170~174㎡57套,190~191㎡6套
无房户倾斜:30%
验资门槛:首套80万,二套160万
登记时间:11月29日早上9点至12月1日下午5点
- 历史摇号信息:
